Farmeconomia. Health economics and therapeutic pathways 2022; 23(1): 85-95
https://doi.org/10.7175/fe.v23i1.1539
Original Research
Cost-effectiveness of Empagliflozin, in Addition to Metformin, in Patients with Type 2 Diabetes in Italy
Edoardo Mannucci 1, Gianni Ghetti 2
1 Diabetology, Careggi Hospital and University of Florence, Florence, Italy
2 AdRes HE&OR, Turin, Italy
Abstract
BACKGROUND: Cardiovascular diseases represent the main cause of mortality and morbidity in type 2 diabetes mellitus (T2DM) patients. Empagliflozin is used as a treatment for T2DM because of its association with reduced risk of hospitalization for heart failure (hHF). Recently oral semaglutide, in association with metformin, has shown better results. This study analyzes the cost-effectiveness of empagliflozin versus oral semaglutide, in addition to metformin, in patients with T2DM who are inadequately controlled on metformin alone in Italy.
METHODS: This analysis was conducted from the Italian National Health Service (SSN) perspective using the IQVIA Core Diabetes Model. For the base case analysis, a 50-year time horizon was chosen to capture the complications, their associated costs, and the final impact on life-years (LYs) and quality-adjusted life-years (QALYs) gained. Cohort baseline characteristics and efficacy data, were mainly sourced from the PIONEER 2 study. Health-state utilities and event disutilities were based on published sources. Drug acquisition and administration costs and patient management inputs were sourced from Italian-specific data. A sensitivity analysis and a range of scenario analyses were carried out.
RESULTS: In the base case analysis treatment cost of empagliflozin plus metformin were significantly lower compared to oral semaglutide plus metformin both including and excluding the effect of empagliflozin on hHF (€-13.371/€-13.580; LYs -0.004/0.109 and QALYs -0.037/0.038). The sensitivity analysis confirmed the robustness of the model with empagliflozin plus metformin that was dominant in 63% and in 42% of simulations considering and non-considering the treatment effect on hHF, respectively.
CONCLUSIONS: Empagliflozin 25 mg plus metformin is a cost-effective option versus oral semaglutide 14 mg plus metformin for patients with T2DM uncontrolled on metformin alone in Italy.
Keywords
Empagliflozin; Type 2 diabetes mellitus; Cost-effectiveness; Italy
Gianni Ghetti
Received: 28 October 2022
Accepted: 7 December 2022
Published: 23 December 2022
Introduction
Type 2 diabetes (T2DM) is a chronic disorder characterised by hyperglycaemia, impaired insulin secretion and insulin resistance, and it is associated with a relevant epidemiological and economic burden.
According to the latest dataset of the Global Burden of Disease, in 2017, globally, an estimated 462 million individuals were affected by T2DM, corresponding to 6.28% of the world’s population. In the same year, more than 1 million deaths were attributed to this condition alone, ranking it as the ninth leading cause of mortality [1]. Globally, the prevalence of diabetes is on the rise, with the number of affected individuals predicted to reach 700 million by 2045 [2]. According to the most recent ARNO Observatory data, related to over 11 million subjects, in 2018 the total prevalence of diabetes in Italy was 6.2% [3] and it has been estimated that it could reach 10.4% in the age group 20-79 years in 2030 [4]. T2DM is associated with a high risk of developing both macrovascular (atherosclerotic cardiovascular disease and heart failure) and microvascular (chronic kidney disease, and eye and nerve damages) complications [5,6]. In particular, cardiovascular diseases represent the main cause of mortality and morbidity in T2DM patients, with an increase of mortality of about 30-40% compared to non-diabetic population [7,8].
A recent Italian population-based study estimated an annual cost per patient of € 2,833 [9]. Considering 4 million affected people [3], diabetes care costs approximately € 11 billion per year to the Italian National Health Service (SSN), which corresponds to 10% of its annual budget (€ 111 billion in year 2018) [9]. The economic impact of diabetes is primarily due to the cost and duration of treatment and to secondary complications of diabetes, such as renal disease and cardiovascular disease, with their associated costs. Two different studies conducted in Italy [10,11] have calculated that hospitalizations (more than a third attributable to cardio- or cerebrovascular causes) are the main cost driver for the management of diabetes, representing approximately 50% of direct costs, while expenditure on drugs amounts to approximately 30%.
In recent years, several new classes of antidiabetic drugs with different mechanism of action have been introduced in the treatment of T2DM. Among new glucose-lowering agents, sodium-glucose co-transporter-2 (SGLT-2) inhibitors and glucagon-like peptide-1 (GLP-1) receptor agonists have been shown, beyond their glucose-lowering effects, to prevent the onset and progression of cardiovascular and renal complications of T2DM. Therefore, they have been approved for risk reduction of cardiovascular events in patients with T2DM along with established cardiovascular disease [12]. Furthermore, the 2019 updated guidelines from the American Diabetes Association (ADA) and the European Association for the Study of Diabetes (EASD) and the Standards of Medical Care in Diabetes 2021 stated that the decision to treat high-risk patients with a GLP-1 receptor agonist or SGLT-2 inhibitor, in addition to metformin, to reduce major adverse cardiovascular events, hospitalization for heart failure, cardiovascular death, or chronic kidney disease progression should be considered independently of baseline glycosylated haemoglobin (HbA1c) or individualized HbA1c target [13,14]. Such approach has been confirmed by the Italian guidelines on the treatment of type 2 diabetes [15], developed using the evidence-based GRADE method [16], recommending SGLT2 inhibitors and/or GLP1 receptor agonists in all patients failing to metformin monotherapy, unless contraindicated.
Among SGLT-2 inhibitors, empagliflozin showed to significantly reduce the risk of hospitalization for heart failure in patients with established cardiovascular disease in the clinical trial EMPA-REG OUTCOME [17]. This finding was confirmed in the real-world study EMPRISE (Empagliflozin Comparative Effectiveness and Safety) in which empagliflozin was associated with reduced risk of hospitalization for heart failure compared with both dipeptidyl peptidase 4 (DPP-4) and GLP-1 receptor agonists [18]. On the other hand, the Peptide Innovation for Early Diabetes Treatment 2 (PIONEER 2) trial, which compared oral semaglutide (a new formulation of the GLP-1 receptor agonist semaglutide developed for once-daily oral administration) added to metformin with empagliflozin, also added to metformin, in patients that were not controlled with metformin alone [19], showed that semaglutide was better than empagliflozin at reducing HbA1c both at week 26 and 52. Superior weight loss was not confirmed at week 26, but oral semaglutide was significantly better than empagliflozin at week 52 [19].
The aim of this study was to assess the cost-effectiveness of empagliflozin versus oral semaglutide, in addition to metformin, in patients with T2DM who are inadequately controlled on metformin alone in Italy.
Methods
The IQVIA Core Diabetes Model, a computer simulation model developed to predict long-term health outcomes of intervention in diabetes [20,21], was previously used to evaluate the long-term cost-effectiveness of timely initiation of treatment with empagliflozin 25 mg versus oral semaglutide 14 mg, in addition to metformin, for T2DM patients in the UK [22]. In this study, we used the same Core Diabetes Model to estimate long-term cost-effectiveness of empagliflozin vs oral semaglutide, in addition to metformin, from the Italian SSN perspective.
Projected outcomes included incidence of complications, rates of clinical events, per patient costs, life-years (LYs) gained and quality-adjusted life-years (QALYs) gained. Cost-effectiveness was described in terms of: the incremental cost-utility ratio (ICUR), which represents the ratio of the change in costs of a therapeutic intervention to the change in utility of the intervention and the net monetary benefit (NMB), which represents the value of an intervention in monetary terms when a willingness-to-pay (WTP) threshold (the maximum amount the decision maker is willing to pay per unit of increased effectiveness) is known. When NMB is positive and the ICUR is greater than the WTP threshold, the intervention can be considered cost-effective; whereas when an intervention is less costly and generates more health gains is defined dominant. For the base case analysis, a 50-year time horizon was chosen, deemed long enough (more than lifelong) to capture all the relevant outcomes such as complications, their associated costs, and the final impact on LYs and QALYs. An annual discount rate of 3.0% was applied for both costs and effects as recommended by national guidelines [23].
Clinical input
Cohort baseline characteristics were based on the reported weighted average of the baseline cohort in the phase III randomized, double-blind, active-controlled PIONEER 2 study [19] or in the cost-effectiveness analysis by Bain et al. [24]. For baseline values that were not reported in the clinical study report or in the cost-effectiveness analysis (i.e., cardiovascular disease and microvascular complications) characteristics from EMPA-REG H2H SU clinical trial [25], which enrolled a similar patient population, and CDM default value, which were based on published literature, were used (Supplementary material Table IS).
Efficacy data of the impact of empagliflozin and oral semaglutide on HbA1c, systolic blood pressure (SBP), diastolic blood pressure (DBP), total cholesterol, high density lipoprotein (HDL) cholesterol, and body mass index (BMI) were sourced from the PIONEER 2 study [19] (Table I). All analyses were conducted considering the treatment policy estimand, which evaluates the treatment effect for all randomized patients, regardless of trial product discontinuation or use of rescue medication (intention-to-treat principle). The only adverse event included was hypoglycemia and its rate was also extracted from PIONEER 2 study.
In addition, the potential treatment benefit of empagliflozin on hospitalization for heart failure (hHF), as showed in the EMPRISE study [18], was considered (Table I).
In the base case, all patients start the simulation by receiving either empagliflozin + metformin or oral semaglutide + metformin until the HbA1c threshold of 7.5% was exceeded. Patients then switched to a lifelong second-line therapy with a combination of insulin glargine and empagliflozin or oral semaglutide with metformin independently of HbA1c target [13,26]. Te treatment effects of the second-line treatment (HbA1c change from baseline and hypoglycemic events) were sourced from published literature [27,28].
After 1 year of treatment (PIONEER 2 study period), natural progression of HbA1c and blood pressure were modelled to follow the default CDM progression equation (UKPDS 68). Mortality was calculated using the UKPDS 82 combined mortality approach. The impact of BMI was assumed to be maintained as long as the patient stayed on treatment with empagliflozin or oral semaglutide.
Finally, patient management inputs, which include the proportion of patients on preventive medication and undergoing routine screening for diabetic complications and the sensitivity and specificity of the screening tests performed, were sourced from Italian-specific data, where available [29-32].
|
Empagliflozin (SE) |
Oral semaglutide (SE) |
Source |
|
|
Change in baseline HbA1c (%) |
-0.90 (0.026) |
-1.30 (0.026) |
[19] |
|
Change from baseline |
|||
|
SBP (mmHg) |
-4.34 (0.63 |
-4.85 (0.65) |
[24] |
|
DBP (mmHg) |
-2.67 (0.44) |
-2.27 (0.45) |
|
|
T-Chol (mg/dl) |
4.74 (1.57) |
-5.08 (1.62) |
|
|
HDL Chol (mg/dl) |
3.11 (0.34) |
0.73 (0.35) |
|
|
BMI (kg/m2) |
-1.294 (0.028) |
-1.357 (0.028) |
Elaborated from [19] |
|
Effect on HF |
0.63 (NA) |
1 (NA) |
[18] |
|
Adverse events rate (/100 pt. yrs) |
|||
|
NSHE |
9.535 |
10.976 |
[19] |
|
SHE1 |
0.244 |
0.244 |
Elaborated from [19] |
|
SHE2 |
0 |
0 |
[19] |
Table I. Clinical input
BMI = body mass index; DBP = diastolic blood pressure; HDL Chol = high density lipoprotein cholesterol; HF = heart failure; NA = not applicable; NSHE = non-severe hypoglycaemia rate; SBP = systolic blood pressure; SE = standard error; SHE1 = severe hypoglycaemia rate (not requiring medical assistance); SHE2 = severe hypoglycaemia rate (requiring medical assistance); T-Chol = total cholesterol
Utilities
Health-state utilities and event disutilities were based on published sources [26,33-35] as reported in the study of Ramos et al. [22].
QALYs were assessed using the additive “Core Default Method”, which means taking the lowest state utility associated with existing co-morbidities and then adding event disutilities for events that occur in that year resulting in an annual utility score for each simulated patient [21]. In addition to estimating cost per life year, a key outcome of the model is the incremental cost per QALY gain expected through introduction of the modelled comparator. The model therefore requires input of a comprehensive set of utility weights for each model state.
Quality of life values are then calculated for every patient in each year of the simulation and used to estimate the average quality-adjusted life expectancy. Utilities are assessed on a scale from 0 to 1, where 0 represents death (no quality of life) and 1 indicates a healthy person without complications. Following an event, patients change state and the new state is associated with different state utilities. A minimum approach is applied to estimation of utilities – in the case of multiple events, the lower utility is applied for that period.
BMI and the disutility associated with BMI gain is a core component of the progression of diabetes complications over time and an important measure of the impact of treatment on patients. BMI impact on utility is estimated through inclusion of disutility based on Bagust 2005 [36], assigning a disutility of - 0.0061 per unit gain BMI over a BMI of 25 kg/m2 (a conservative assessment of the potential disutility of weight gain).
Cost input
This analysis was conducted from the perspective of the Italian SSN, therefore only direct medical costs, which include drug acquisition and administration costs, management costs (screening test, concomitant medication) and the costs of T2DM complications (cardiovascular disease complications, renal complications, acute events, eye disease, neuropathy, foot ulcer and amputation) were considered.
Treatment costs
The treatment doses used in this analysis were 25 mg for empagliflozin and 14 mg for oral semaglutide, as reported in the PIONEER 2 study. Metformin was included as background therapy in both treatment arms at the dose of 1500 mg/day. Insulin dose is assumed to be 0.7 IU/kg and 0.9 IU/kg, respectively in second- and in third-line for an average weight of 91.6 kg. For patient treated with insulin, also needle cost and glucose monitoring cost were taken into account, as reported in Table II.
Empagliflozin and oral semaglutide are both included in class-A with PHT [37] therefore ex-factory prices net of mandatory discounts (-5% for empagliflozin, -5%/-5% for oral semaglutide) were considered [38,39]. Insuline glargine is also included in class-A with PHT [37] and thus ex-factory price net of mandatory discounts was considered. Metformin is in class-A drug, therefore public price was used [37]. For metformin and insulin glargine, the lowest price per unit (mg or IU) was chosen. Table II summarize the annual treatment costs.
|
Annual Cost (€) |
Sources |
|
|
Treatment costs |
||
|
Empagliflozin – 28 tablets 25 mg (1 tablet/day) |
492,36 |
[38] |
|
Oral semaglutide – 30 tablets 14 mg (1 tablet/day) |
1,457.57 |
[39] |
|
Metformin – 50 tablets 500 mg (3 tablet/day) |
43.14 |
[37] |
|
Insulin glargine – 2L 0.7 IU/kg |
910.631 |
|
|
Insulin glargine – 3L 0.9 IU/kg |
1,074.561 |
|
|
Administration costs (only for insulin glargine) |
||
|
Needles (1/day) |
38.33 |
[40]; Assumption |
|
SMBG testing (40/month) |
298.56 |
[41-42] |
Table II. Annual treatment cost
1 including administration costs
SMBG = self-monitoring blood glucose
Complications costs
For chronic complications, a distinction was made between costs arising in the first year after disease onset and subsequent years. It is expected that some complications would be characterized by higher costs in the first year as a consequence of high initial hospitalization costs incurred during the acute phase. Follow-up costs are accounted for every year until the resolution of the particular complication. Broadly, costs associated with preventive interventions of diabetes complications (management costs), costs of cardiovascular (CV) complications, costs of renal complications, costs of acute events, costs associated with diabetic retinopathy, costs associated with diabetic neuropathy, foot ulcer and amputation costs were collected and adapted to the Italian context (Supplementary material Table IIS).
Sensitivity analysis
The Core Diabetes Model uses Monte Carlo simulations with a non-parametric bootstrapping approach to capture parameter uncertainty through the model. This process involves the simulation of progression of diabetes in 1,000 patients each run through the model 1,000 times. Cohort baseline values (age, duration of diabetes and baseline physiological parameter levels), the treatment effects on physiological parameter levels, transition probabilities for CV events, health state utilities and event disutilities, and direct costs are subject to random sampling. The PSA results are presented as an incremental cost-effectiveness plane and cost-effectiveness acceptability curve.
Scenario analysis
A range of scenario analyses were carried out to test the robustness of base-case results. Specifically:
Results
Base-case analysis
Direct medical costs
Treatment cost of empagliflozin plus metformin were significantly lower compared to oral semaglutide plus metformin both including and excluding the effect of empagliflozin on hHF (Table III).
|
Direct medical costs (€) |
Including hHF impact |
Excluding hHF impact |
Oral semaglutide |
|
Empagliflozin |
Empagliflozin |
||
|
Total |
78,182 |
78,391 |
91,762 |
|
Treatment |
20,436 |
20,277 |
34,162 |
|
Management |
7,085 |
7,022 |
7,042 |
|
CVD |
28,760 |
29,598 |
29,663 |
|
Renal |
1,361 |
1,299 |
1,214 |
|
Ulcer/Amputation/Neuropathy |
9,193 |
9,057 |
8,880 |
|
Eye |
10,943 |
10,737 |
10,424 |
|
NSHE |
326 |
323 |
303 |
|
SHE1 |
6 |
6 |
6 |
|
SHE2 |
72 |
71 |
67 |
Table III. Direct medical costs (base case analysis)
hHF = hospitalization for heart failure; NSHE = non-severe hypoglycaemia rate; SHE1 = severe hypoglycaemia rate (not requiring medical assistance); SHE2 = severe hypoglycaemia rate (requiring medical assistance)
Cost-effectiveness
Excluding the impact of empagliflozin on hHF, empagliflozin plus metformin was less costly (€-13.371) compared to oral semaglutide plus metformin and resulted in slightly less LYs (-0.004) and QALYs (-0.037). The estimated ICER was 3,342,635 €/LY gained and the estimated ICUR was 361,366 €/QALY gained. Finally, assuming a WTP threshold of € 30,000 per QALY gained, empagliflozin plus metformin resulted in an NMB of € 12,244. With positive NMB and ICUR greater than the WTP threshold, empagliflozin plus metformin can be considered cost-effective compared to oral semaglutide plus metformin, when the effect of treatment on hHF was not taken into account (Table IV).
When the effect of empagliflozin on hHF was taken into account, empagliflozin plus metformin provided both additional LYs (0.109) and additional QALYs (0.038) and less costs (€-13.580) compared to oral semaglutide plus metformin. This resulted in an NMB of € 14,713 at the WTP threshold of 30,000 €/QALY gained and showed that in patients who underwent treatment intensification with empagliflozin or oral semaglutide upon exceeding HbA1c levels at a threshold of 7.5%, empagliflozin wass both less costly and results in better health outcomes than oral semaglutide, thus was dominant to oral semaglutide, when the effect of treatment on hHF was taken into account (Table IV).
|
With hHF impact |
Without hHF impact |
|||
|
Empagliflozin + metformin |
Oral semaglutide + metformin |
Empagliflozin + metformin |
Oral semaglutide + metformin |
|
|
LYs (years) |
14.79 |
14.68 |
14.68 |
14.68 |
|
QALYs (years) |
9.77 |
9.74 |
9.70 |
9.74 |
|
Total cost (€) |
78,182 |
91,762 |
78,391 |
91,762 |
|
Incremental analysis empagliflozin vs oral semaglutide |
||||
|
Incremental LYs |
0.109 |
-0.004 |
||
|
Incremental QALYs |
0.038 |
-0.037 |
||
|
Incremental costs (€) |
-13,580 |
-13,371 |
||
|
ICER (€/LY gained) |
Dominant |
3,342,635 |
||
|
ICUR (€/QALY gained) |
Dominant |
361,366 |
||
|
NMB1 |
14,713 |
12,244 |
||
Table IV. Cost-effectiveness results of base case analysis
1 Assuming a willingness to pay/accept threshold of € 30,000 per QALY gained
hHF = hospitalization for heart failure; ICER = incremental cost-effectiveness ratio; ICUR = incremental cost-utility ratio; LYs = life years; NMB = net monetary benefit; QALYs = quality-adjusted life years
Scenario analysis
Table V reports the result of the scenario analyses carried out to test robustness of the base-case.
|
With hHF impact |
Without hHF impact |
|
|
Base-case |
Treatment intensification at HbA1c threshold of 7.5%. Second-line therapy with empagliflozin or oral semaglutide in addition to insulin glargine 50-year time horizon |
|
|
Incremental LYs |
0.109 |
-0.004 |
|
Incremental QALYs |
0.038 |
-0.037 |
|
Incremental costs (€) |
-13,580 |
-13,371 |
|
ICUR (€/QALYs gained) |
Dominant |
361,366 |
|
Time horizon |
Treatment intensification at HbA1c threshold of 7.5% Second-line therapy with empagliflozin or oral semaglutide in addition to insulin glargine 15-year time horizon |
|
|
Incremental LYs |
0.019 |
-0.003 |
|
Incremental QALYs |
-0.016 |
-0.033 |
|
Incremental costs (€) |
-9.833 |
-9,446 |
|
ICUR (€/QALYs gained) |
610,765 |
282,821 |
|
Treatment intensification |
Treatment intensification at HbA1c threshold of 8.0%. Second-line therapy with empagliflozin or oral semaglutide in addition to insulin glargine 50-year time horizon |
|
|
Incremental LYs |
0.102 |
0.100 |
|
Incremental QALYs |
0.032 |
0.030 |
|
Incremental costs (€) |
-13,762 |
-13,496 |
|
ICUR (€/QALYs gained) |
Dominant |
Dominant |
|
Further treatment intensification |
Treatment intensification at HbA1c threshold of 7.5%. Third-line therapy high-dose insulin glargine alone 50-year time horizon |
|
|
Incremental LYs |
0.021 |
0.001 |
|
Incremental QALYs |
-0.021 |
-0.035 |
|
Incremental costs (€) |
-4,679 |
-4,470 |
|
ICUR (€/QALYs gained) |
229,383 |
129,570 |
Table V. Scenario analysis results
hHF = hospitalization for heart failure; ICER = incremental cost-effectiveness ratio; ICUR = incremental cost-utility ratio; LYs = life years; NMB = net monetary benefit; QALYs = quality-adjusted life years
Sensitivity analysis
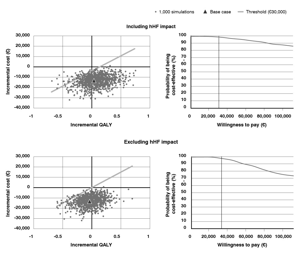
When the effect of empagliflozin on hHF was taken into account, the sensitivity analysis confirmed the robustness of the model with empagliflozin plus metformin that was dominant (less costly and generated more health gains) in 63% of simulations, and a probability of being cost-effective compared with oral semaglutide plus metformin at the Italian WTP threshold of € 30,000 €/QALY gained [43] of 98,10% (Figure 1a).
In the probabilistic sensitivity analysis that did not consider the treatment effect on hHF, empagliflozin plus metformin was dominant in 42% of simulations, and the probability of being cost-effective compared with oral semaglutide plus metformin at the Italian WTP threshold of € 30,000 €/QALY gained was 97.5% (Figure 1b).

Figure 1. Sensitivity analysis a) including and b) excluding the hHF impact
Discussion
Using the impact on risk factors from the PIONEER 2 study combined with the impact of empagliflozin on heart failure measured in the EMPRISE study, the current health economic analysis evaluates the long-term economic and clinical outcomes of empagliflozin plus metformin compared to oral semaglutide plus metformin in T2DM patients who are inadequately controlled on metformin alone.
In the base case analysis, when the possible impact of empagliflozin on hHF was not taken into account, empagliflozin plus metformin was less costly compared to oral semaglutide plus metformin but also resulted in slightly less LYs and QALY. Nevertheless, with a positive NMB and an ICUR greater than the WTP threshold of 30,000 €/QALY gained, empagliflozin plus metformin can be considered cost-effective compared to oral semaglutide plus metformin. Adding the possible impact of empagliflozin on hHF, empagliflozin plus metformin provided additional LYs and QALYs, with less cost compared to oral semaglutide plus metformin and became dominant.
Scenario analyses confirmed the robustness of the cost-effectiveness results.
This study has some limitations. First of all, the PIONEER 2 study reported two sets of analyses: the treatment policy estimand (intention-to-treat approach) and the trial product estimand (more a per protocol analyses). We have chosen the former for all the analyses conducted, as it represents data closer to real-life by not excluding discontinuation of the drug nor rescue medication. It should be noted that the use of rescue medication and other diabetes medication was not significantly different between the two arms.
In the cost-effectiveness analysis by Ramos et al. [22] the treatment policy product estimand was used while in the cost-effectiveness analysis by Bain et al. [24] the trial product estimand was used. They wanted to match the annual cycle length of the model, and to avoid the confounding impact of additional anti-diabetic medications on clinical and cost outcomes. They did however a scenario analysis using the treatment policy estimand which increased the ICER with 10%.
Another item of discussion can be the use of an impact on heart failure with empagliflozin compared to oral semaglutide. The PIONEER 2 study was not a cardiovascular outcomes trial so no data on heart failure was collected. The EMPRISE study compared empagliflozin with DPP-4 inhibitors and GLP-1 receptor agonists. However, since this was a real-life study only the GLP-1 receptor agonists on the market were included. This means that oral semaglutide was not. All analyses were also conducted not including this advantage on heart failure. Empagliflozin was no longer dominant, however, only very few QALY are lost but savings are strong, so the net monetary benefit remains positive.
In our analysis, in line with recommendations of ADA/EASD that SGLT-2 and GLP-1 use is not depending on the HbA1c, insulin glargine is added when the HbA1c threshold of 7.5% is reached, meaning that empagliflozin and oral semaglutide are continued for lifetime in the base case. We also investigated a scenario where we had three lines of therapy. At the moment 7.5% of HbA1c is reached again with second-line, patients stop oral semaglutide or empagliflozin and are treated with insulin glargine alone (at higher dose). In that case therapy with empagliflozin and oral semaglutide lasted 5 and 6 years respectively. Empagliflozin continued to have a net monetary benefit higher than 0, thus cost-effective, although to a lower extend.
Finally, this analysis did not take into account the association empagliflozin + oral semaglutide, which is authorized and reimbursed from July 2021 [39] and may represent a new opportunity to improve the clinical and economic outcomes of patients with T2DM in Italy. In fact, following current national guidelines [15], in case of insufficient glycemic control with a combination of either metformin and a SGLT2 inhibitor or metformin and a GLP1 receptor agonist, a triple combination of metformin, SGLT2 inhibitor and GLP1 receptor agonist is recommended. In addition, other alternatives to insulin can be considered (e.g., pioglitazone, acarbose, or, in patients failing to SGLT2 inhibitors, DPP4 inhibitors).
It should also be considered that treatment response to different drugs varies across individual patients. The pharmacoeconomic evaluation reported in this paper refers to the average effect of the drugs analyzed, which could be different from their actual effect in single individuals.
Conclusions
Thanks to significantly lower treatment costs, empagliflozin 25 mg plus metformin is a cost-effective option versus oral semaglutide 14 mg plus metformin for patients with T2DM uncontrolled on metformin alone in Italy.
Funding
This article was realized with an unconditional contribution by Boehringer Ingelheim Italia S.p.A. and Eli Lilly Italia.
Conflicts of interests
E.M. received consultancy fees from Boehringer Ingelheim and Eli Lilly.
G.G. is an employee of AdRes, which has received project funding from Boehringer Ingelheim Italia S.p.A. for the development of this research.
References
1. Khan MAB, Hashim MJ, King JK, Govender RD, Mustafa H, Al Kaabi J. Epidemiology of Type 2 Diabetes - Global Burden of Disease and Forecasted Trends. J Epidemiol Glob Health. 2020;10(1):107-111; https://doi.org/10.2991/jegh.k.191028.001
2. Saeedi P, Petersohn I, Salpea P, et al. Global and regional diabetes prevalence estimates for 2019 and projections for 2030 and 2045: Results from the International Diabetes Federation Diabetes Atlas, 9th edition. Diabetes Res Clin Pract. 2019;157:107843; https://doi.org/10.1016/j.diabres.2019.107843
3. Osservatorio ARNO diabete. Il profilo assistenziale della popolazione con diabete. Rapporto 2019. Collana Rapporti ARNO. Volume XXXI. Available at https://www.siditalia.it/clinica/linee-guida-societari/send/80-linee-guida-documenti-societari/5025-rapporto-arno-diabete-2019 (las accessed December 2021)
4. Shaw JE, Sicree RA, Zimmet PZ. Global estimates of the prevalence of diabetes for 2010 and 2030. Diabetes Res Clin Pract. 2010;87(1):4-14; https://doi.org/10.1016/j.diabres.2009.10.007
5. Handelsman Y. Rationale for the Early Use of Sodium-Glucose Cotransporter-2 Inhibitors in Patients with Type 2 Diabetes. Adv Ther. 2019;36(10):2567-2586; https://doi.org/10.1007/s12325-019-01054-w
6. Verma S, McMurray JJV. The Serendipitous Story of SGLT2 Inhibitors in Heart Failure. Circulation. 2019;139(22):2537-2541; https://doi.org/10.1161/CIRCULATIONAHA.119.040514
7. Bruno G, Merletti F, Boffetta P, et al. Impact of glycaemic control, hypertension and insulin treatment on general and cause-specific mortality: an Italian population-based cohort of type II (non-insulin-dependent) diabetes mellitus. Diabetologia. 1999;42(3):297-301; https://doi.org/10.1007/s001250051154
8. Brun E, Nelson RG, Bennett PH, et al. Diabetes duration and cause-specific mortality in the Verona Diabetes Study. Diabetes Care. 2000;23(8):1119-1123; https://doi.org/10.2337/diacare.23.8.1119
9. Bonora E, Cataudella S, Marchesini G, et al. Clinical burden of diabetes in Italy in 2018: a look at a systemic disease from the ARNO Diabetes Observatory. BMJ Open Diabetes Res Care. 2020;8(1):e001191; https://doi.org/10.1136/bmjdrc-2020-001191
10. Scalone L, Cesana G, Furneri G, et al. Burden of diabetes mellitus estimated with a longitudinal population-based study using administrative databases. PLoS One. 2014;9(12):e113741; https://doi.org/10.1371/journal.pone.0113741
11. Marchesini G, Forlani G, Rossi E, Berti A, De Rosa M; ARNO Working Group. The direct economic cost of pharmacologically-treated diabetes in Italy-2006. The ARNO observatory. Nutr Metab Cardiovasc Dis. 2011;21(5):339-346; https://doi.org/10.1016/j.numecd.2009.10.009
12. Pozo L, Bello F, Suarez A, et al. Novel pharmacological therapy in type 2 diabetes mellitus with established cardiovascular disease: Current evidence. World J Diabetes. 2019;10(5):291-303; https://doi.org/10.4239/wjd.v10.i5.291
13. Buse JB, Wexler DJ, Tsapas A, et al. 2019 Update to: Management of Hyperglycemia in Type 2 Diabetes, 2018. A Consensus Report by the American Diabetes Association (ADA) and the European Association for the Study of Diabetes (EASD). Diabetes Care. 2020;43(2):487-493; https://doi.org/10.2337/dci19-0066
14. American Diabetes Association. 9. Pharmacologic Approaches to Glycemic Treatment: Standards of Medical Care in Diabetes-2021. Diabetes Care. 2021;44(Suppl 1):S111-S124; https://doi.org/10.2337/dc21-S009
15. Mannucci E, Candido R, Monache LD, et al. Italian guidelines for the treatment of type 2 diabetes. Acta Diabetol. 2022;59(5):579-622; https://doi.org/10.1007/s00592-022-01857-4
16. Andrews JC, Schünemann HJ, Oxman AD, et al. GRADE guidelines: 15. Going from evidence to recommendation-determinants of a recommendation’s direction and strength. J Clin Epidemiol. 2013 Jul;66(7):726-35; https://doi.org/10.1016/j.jclinepi.2013.02.003
17. Zinman B, Wanner C, Lachin JM, et al. Empagliflozin, Cardiovascular Outcomes, and Mortality in Type 2 Diabetes. N Engl J Med. 2015;373(22):2117-2128; https://doi.org/10.1056/NEJMoa1504720
18. Patorno E, Pawar A, Franklin JM, et al. Empagliflozin and the Risk of Heart Failure Hospitalization in Routine Clinical Care. Circulation. 2019;139(25):2822-2830; https://doi.org/10.1161/CIRCULATIONAHA.118.039177
19. Rodbard HW, Rosenstock J, Canani LH, et al. Oral Semaglutide Versus Empagliflozin in Patients With Type 2 Diabetes Uncontrolled on Metformin: The PIONEER 2 Trial. Diabetes Care. 2019;42(12):2272-2281; https://doi.org/10.2337/dc19-0883
20. Palmer AJ, Roze S, Valentine WJ, et al. The CORE Diabetes Model: Projecting long-term clinical outcomes, costs and cost-effectiveness of interventions in diabetes mellitus (types 1 and 2) to support clinical and reimbursement decision-making. Curr Med Res Opin. 2004;20 Suppl 1:S5-S26; https://doi.org/10.1185/030079904X1980
21. McEwan P, Foos V, Palmer JL, Lamotte M, Lloyd A, Grant D. Validation of the IMS CORE Diabetes Model. Value Health. 2014;17(6):714-724; https://doi.org/10.1016/j.jval.2014.07.007
22. Ramos M, Cummings MH, Ustyugova A, Raza SI, de Silva SU, Lamotte M. Long-Term Cost-Effectiveness Analyses of Empagliflozin Versus Oral Semaglutide, in Addition to Metformin, for the Treatment of Type 2 Diabetes in the UK. Diabetes Ther. 2020;11(9):2041-2055; https://doi.org/10.1007/s13300-020-00883-1
23. Capri S, Ceci A, Terranova L, et al. Guidelines for economic evaluations in Italy: Recommendations from the Italian group of pharmacoeconomic studies. Drug Information Journal. 2001;35(1):189-201
24. Bain SC, Hansen BB, Malkin SJP, et al. Oral Semaglutide Versus Empagliflozin, Sitagliptin and Liraglutide in the UK: Long-Term Cost-Effectiveness Analyses Based on the PIONEER Clinical Trial Programme. Diabetes Ther. 2020;11(1):259-277; https://doi.org/10.1007/s13300-019-00736-6
25. Ridderstråle M, Rosenstock J, Andersen KR, Woerle HJ, Salsali A; EMPA-REG H2H-SU trial investigators. Empagliflozin compared with glimepiride in metformin-treated patients with type 2 diabetes: 208-week data from a masked randomized controlled trial. Diabetes Obes Metab. 2018;20(12):2768-2777; https://doi.org/10.1111/dom.13457
26. National Institute for Health and Care Excellence (NICE). Type 2 diabetes in adults: management. NICE guideline [NG28]. 2019. Available from: https://www.nice.org.uk/guidance/ng28 (Last accessed November 2020)
27. Willis M, Asseburg C, Nilsson A, Johnsson K, Kartman B. Multivariate Prediction Equations for HbA1c Lowering, Weight Change, and Hypoglycemic Events Associated with Insulin Rescue Medication in Type 2 Diabetes Mellitus: Informing Economic Modeling. Value Health. 2017;20(3):357-371; https://doi.org/10.1016/j.jval.2016.10.004
28. Fonseca V, Gill J, Zhou R, Leahy J. An analysis of early insulin glargine added to metformin with or without sulfonylurea: impact on glycaemic control and hypoglycaemia. Diabetes Obes Metab. 2011;13(9):814-822; https://doi.org/10.1111/j.1463-1326.2011.01412.x
29. Kotseva K, Wood D, De Backer G, et al. EUROASPIRE III: a survey on the lifestyle, risk factors and use of cardioprotective drug therapies in coronary patients from 22 European countries. Eur J Cardiovasc Prev Rehabil. 2009;16(2):121-137; https://doi.org/10.1097/HJR.0b013e3283294b1d
30. Associazione Medici Diabetologi (AMD). Diabete di tipo 2. Annali AMD 2020. Available from: https://aemmedi.it/wp-content/uploads/2020/10/Annali-nuova-versione-2020_3ok.pdf (Last accessed November 2020)
31. Lopez-Bastida J, Cabrera-Lopez F, Serrano-Aguilar P. Sensitivity and specificity of digital retinal imaging for screening diabetic retinopathy. Diabet Med. 2007;24(4):403-407; https://doi.org/10.1111/j.1464-5491.2007.02074.x
32. Cortés-Sanabria L, Martínez-Ramírez HR, Hernández JL, Rojas-Campos E, Canales-Muñoz JL, Cueto-Manzano AM. Utility of the Dipstick Micraltest II in the screening of microalbuminuria of diabetes mellitus type 2 and essential hypertension. Rev Invest Clin. 2006;58(3):190-197
33. Beaudet A, Clegg J, Thuresson PO, Lloyd A, McEwan P. Review of utility values for economic modeling in type 2 diabetes. Value Health. 2014;17(4):462-470; https://doi.org/10.1016/j.jval.2014.03.003
34. Lauridsen JT, Lønborg J, Gundgaard J, Jensen HH. Diminishing marginal disutility of hypoglycaemic events: results from a time trade-off survey in five countries. Qual Life Res. 2014;23(9):2645-2650; https://doi.org/10.1007/s11136-014-0712-x
35. Foos V, McEwan P. Conversion of hypoglycemia utility decrements from categorical units reflecting event history into event specific disutility scores applicable to diabetes decision models. Value Health. 2018;21:S223; https://doi.org/10.1016/j.jval.2018.04.1506
36. Bagust A, Beale S. Modelling EuroQol health-related utility values for diabetic complications from CODE-2 data. Health Econ. 2005;14(3):217-230; https://doi.org/10.1002/hec.910
37. Agenzia Italiana del Farmaco (AIFA). Elenco dei farmaci di Fascia A per principio attivo. Aggiornamento del 15/06/2020. Available from: https://www.aifa.gov.it/liste-farmaci-a-h (Last accessed November 2020)
38. Agenzia Italiana del Farmaco (AIFA). DETERMINA 3 aprile 2015. Riclassificazione del medicinale per uso umano «Jardiance» ai sensi dell’art. 8, comma 10, della legge 24 dicembre 1993, n. 537. (Determina n. 382/2015). (15A02841) (GU Serie Generale n.93 del 22-04-2015)
39. Agenzia Italiana del Farmaco (AIFA). DETERMINA 15 luglio 2021. Riclassificazione del medicinale per uso umano «Rybelsus», ai sensi dell’art. 8, comma 10, della legge 24 dicembre 1993, n. 537. (Determina n. DG/862/2021). (21A04518) (GU Serie Generale n.179 del 28-07-2021)
40. Società Italiana di Diabetologia (SID). Indagine della Società Italiana di Diabetologia (SID) sulle differenze regionali nell’accesso a farmaci, presidi e servizi per la persona con diabete. 2019. Available from: https://www.siditalia.it/clinica/linee-guida-societari/send/80-linee-guida-documenti-societari/4717-indagine-sid-differenze-regionali (Last accessed November 2020)
41. Mannucci E, Torre E, Berto P. Dapagliflozin in add-on a metformina: network metanalisi e analisi di impatto di budget. Global & Regional Health Technology Assessment 2015;2:125-134; https://doi.org/10.5301/GRHTA.5000203
42. Associazione Medici Diabetologi (AMD) - Società Italiana di Diabetologia (SID). Consensus Autocontrollo. Raccomandazioni per l’autocontrollo della glicemia nel paziente diabetico. SID-AMD Rev 22/12/2012. Disponibile online su: http://www.aemmedi.it/files/Linee-guida_Raccomandazioni/2013/RACCOMANDAZIONI%20%20PER%20L’AUTOCONTROLLO-signed.pdf (Last accessed November 2020)
43. Fattore, G. Proposta di linee guida per la valutazione economica degli interventi sanitari in Italia. Pharmacoeconomics-Ital-Res-Articles 2009;11:83-93; https://doi.org/10.1007/BF03320660