Farmeconomia. Health economics and therapeutic pathways 2014; 15(4): 101-112
http://dx.doi.org/10.7175/fe.v15i4.971
Original Research
Cost-effectiveness analysis of apixaban versus other NOACs for the prevention of stroke in Italian atrial fibrillation patients
Lorenzo Pradelli 1, Mario Calandriello 2, Roberto Di Virgilio 3, Marco Bellone 1, Marco Tubaro 4
1 AdRes, Health Economics & Outcome Research, Turin, Italy
2 Bristol-Myers Squibb Italy, Rome, Italy
3 Pfizer Italy, Rome, Italy
4 ICCU, Cardiovascular Department, San Filippo Neri Hospital, Rome, Italy
Abstract
OBJECTIVES: The study evaluated the cost-effectiveness of apixaban in preventing thromboembolic events in non-valvular atrial fibrillation (NVAF) patients, as compared to other three available novel oral anticoagulant agents (NOACs), from the Italian Health System (SSN) perspective.
METHODS: A previously published lifetime Markov model was adapted for the Italian context. Baseline clinical risks were assigned based on the demographic and clinical features of the patients; effectiveness and safety parameters derived from adjusted indirect comparison using warfarin as link. The main clinical events considered in the model are ischemic and hemorrhagic stroke, systemic thromboembolism, bleeds (both major and clinically relevant minor) and cardiovascular hospitalizations, besides treatment discontinuations. Expected survival was projected beyond trial duration using national mortality data adjusted for clinical risks and weighted by published utilities. Unit costs were collected from published Italian sources and actualized to 2013. Costs and health gains occurring after the first year were discounted at an annual 3.5% rate. The primary outcome measure of the economic evaluation was the incremental cost effectiveness ratio (ICER), where effectiveness is measured in terms of life-years and quality adjusted life-years gained. Deterministic and probabilistic sensitivity analyses (DSA&PSA) were carried out.
RESULTS: In the short to medium term, apixaban was associated with marginal LYs and QALYs gains and slight savings, as compared to other NOACs. However, as apixaban extended expected survival versus dabigatran (110mg), dabigatran (150mg) and rivaroxaban (0.13, 0.08, and 0.06 LYs or 0.11, 0.07, and 0.05 QALYs), expected total lifetime costs exceeded those of these comparators (€ 319, € 282, and € 16). Corresponding ICERs were estimated in € 2,911, € 3,882 and € 327 per QALY gained. The most influential parameter according to DSA was daily costs of NOACs, but the corresponding ICERs remained well below commonly accepted WTP values. In PSA, the probabilities of apixaban being cost effective with a WTP threshold of 20,000 €/QALY gained were 99%, 92% and 93% for the same comparisons.
CONCLUSIONS: Apixaban is expected to be more effective than dabigatran and rivaroxaban in Italian NVAF population, and marginally more costly due to consume healthcare resources for a longer period of time. The ICERs have a high likelihood of being below conventional thresholds of WTP for health benefits of the SSN and suggest that apixaban is cost-effective compared with other three available NOACs.
Keywords
Apixaban; Novel oral anticoagulant agents; Atrial fibrillation
Disclosure
Study funded by Bristol-Myers Squibb and Pfizer
Introduction
Atrial fibrillation (AF) is the most prevalent form of arrhythmia, involving about 1-2% of the population in industrialized countries [1]. Its prevalence increases with age, reaching values above 5% in the over 65 years old, and of 9% in octogenarians [2].
In Italy, a prevalence of 1,000,000 AF patients was estimated for year 2010, and a further increase is expected due to the increasing age of the population and the improved survival of cardiovascular patients [3]. Stroke is the main complication of AF [4]: over 20% of ischemic strokes are linked to some form of arrhythmia [1], and in these patients, they tend to be more severe than in non-arrhythmic patients [5]. About 40% of stroke survivors presents moderate to severe disability; applying these rates to the prevalent population, it has been calculated that around 384,000 are not autonomous in Italy due to stroke, and this figure is expected to rise up to 440,000 by 2020 [6].
Therapeutic goals in the management of AF patients include symptom control, but also the prevention of thromboembolic complications, stroke in primis. This was traditionally pursued with the administration of vitamin K antagonists (VKAs), or with antiplatelet agents, mainly aspirin, in subjects intolerant or contraindicated to VKAs [7]. In the last years, however, the class of novel oral anticoagulant agents (NOACs) has been introduced, which is associated with a more favorable risk/benefit ratio than VKAs. Until recently, dabigatran, a direct thrombin inhibitor, and rivaroxaban, a direct and selective coagulation factor Xa inhibitor, were the only NOACs licensed for thromboembolic prevention in non-valvular AF (NVAF, about 70% of all AF cases). Apixaban, also a direct and selective coagulation factor Xa inhibitor [8], is facing the launch on the market for this indication, with the following reimbursement restrictions: NVAF with both CHA2DS2-VASc ≥ 11 and HAS-BLED > 32, or TTR < 70% or objective difficulties in measuring INR [9].
Aim of the present analysis is the comparative economic evaluation of the use of the three available NOACs in the prevention of thromboembolic events in the Italian population of patients with NVAF with official indication for their use, according to current regulations.
Methods
The analysis is conducted with a simulation study, performed through the adaptation and run of a previously published international model [10,11] executed with epidemiological, clinical practice and unit costs pertinent to the Italian setting. The model is designed to reproduce the experience of a cohort of NVAF patients of user defined features, alternatively treated with the available therapeutic options: for the present study, dabigatran at two dose levels (110 mg/bid for the over 80 years old, 150 mg/bid for younger NVAF patients), rivaroxaban (20 mg/uid), and apixaban (5 mg/bid). During the lifetime simulation, events and consumed resources from the Italian National Health System perspective are recorded by the model; main clinical outcomes monitored are ischemic and hemorrhagic stroke, systemic thromboembolism, bleeds (both major and clinically relevant minor), cardiovascular hospitalizations, and death. Summary effectiveness indicators are overall survival, expressed in life years (LYs), and expected quality-adjusted survival, expressed in quality-adjusted life years (QALYs).
Model structure
The model is designed as a decision tree with Markov chains as branches; the experience of a NVAF patient is discretized in 17 possible and mutually exclusive health states (Figure 1). Transitions among health states are determined by probability matrices derived from the relevant literature as detailed elsewhere [11].

Figure 1. Simplified structure of the Markov model
At the end of each 6 week cycle, patients can stay in the current health state, or experience a clinical event and transition to the corresponding state; some events only imply a resource consumption and a temporary change in the utility (quality of life index), whilst others – i.e. stroke, myocardial infarction (MI), and systemic embolism – also modify the chance of incurring in further events. Stroke survivors distribute among subsequent health states basing on the assigned severity distribution of the specific event. Following a major bleeding, patients may continue to receive the initial anticoagulant, or switch to a second line treatment, associated with specific clinical event risks.
Population
The simulation is run on two cohorts (Table I): the first (base-case) reproducing clinical and demographic features of the ARISTOTLE trial population [12], the second those of a non-experimental population of NVAF patients studied by Olesen et al. [13]. In this cohort study, Olesen et al. assessed the individual risk factors composing the CHADS2 and CHA2DS2-VASc score calculating the capability of the schemes to predict thromboembolism in a nationwide cohort of Danish real world patients.
|
Base-case – ARISTOTLE population [12] |
Alternative case – Real-world population [13] |
|
|
% males |
65 |
53 |
|
Mean age (years) |
70 |
77 |
|
CHADS2 score (%) |
||
|
0-1 |
34 |
53 |
|
2 |
36 |
23 |
|
> 2 |
30 |
24 |
Table I. Baseline characteristics of the simulated populations: base-case patient populations, from ARISTOTLE trial [12], and alternative-case population, from a nationwide cohort of real-world patients, registered in the Danish patient registry [13]
Clinical outcomes rates
In general, the model assigns baseline clinical risks basing on the demographic and clinical features of the patients; these risks evolve according to the time elapsed from the beginning of the simulation, to the risk-modifying clinical events experienced by the patient, and to the preventive regimen administered.
The effectiveness and safety profile of apixaban reflects event rates recorded in the ARISTOTLE trial [12] integrated with patient-level data made available by Dorian et al. [10], which showed that apixaban was associated with a reduction in the risk of stroke or systemic embolism, in bleeding, and in all-cause mortality in AF patients, as compared to warfarin. The choice of the ARISTOTLE trial, a randomised head-to-head clinical trial, is related to the comparator, warfarin, which is common to the pivotal trials in AF of the other NOACs. The baseline risk profile can be adjusted for different distributions in the simulated population vs. the ARISTOTLE population of the CHADS2 and the time in therapeutic range (TTR), for stroke and bleeding, respectively.
Dabigatran was compared to warfarin in AF patients in the RELY trial, in which it demonstrated similar efficacy in stroke and thromboembolic prevention and lower bleeding risk, at the 110 mg bid, and superior stroke and embolism prevention, with similar bleeding risk, at the 150 mg/bid dose [14].
Rivaroxaban was compared to warfarin in the ROCKET-AF trial, demonstrating non inferiority in the prevention of stroke and thromboembolism in NVAF patients, and similar bleeding risk [15].
Data from the VKA-suitable population of these trials (ARISTOTLE, RELY, and ROCKET-AF) were included in indirect treatment comparisons [11], using warfarin as common comparator, to obtain relative risks or hazard ratios of each of the NOACs vs. apixaban, for each evaluated outcome (Table II).
|
Apixaban |
Dabigatran (110 mg) [11] |
Dabigatran (150 mg) [11] |
Rivaroxaban [11] |
Aspirin (2nd line) [10,11] |
|
|
IS* |
|||||
|
Rate/100 pts-yr |
0.98 |
3.456 |
|||
|
HR (95% CI) vs. apixaban |
1.20 (0.88-1.64) |
0.82 (0.59-1.14) |
0.98 (0.72-1.33) |
||
|
Pts distribution (%) |
|||||
|
53 |
35 |
35 |
49 |
365 |
|
21 |
28 |
22 |
18 |
385 |
|
8 |
10 |
8 |
6 |
155 |
|
18 |
27 |
35 |
27 |
115 |
|
ICH* |
|||||
|
Rate/100 pts-yr |
0.33 |
0.326 |
|||
|
HR (95% CI) vs. apixaban |
0.73 (0.43-1.26) |
1.02 (0.62-1.68) |
1.73 (1.08-2.77) |
||
|
Other ICH (%) |
23 |
36 |
59 |
43 |
455 |
|
Case Fatality Rates (%) |
133 |
132 |
132 |
132 |
135 |
|
Proportion of HS (%) |
77 |
64 |
41 |
57 |
555 |
|
23 |
35 |
35 |
49 |
75 |
|
32 |
28 |
22 |
18 |
205 |
|
10 |
10 |
8 |
6 |
275 |
|
35 |
27 |
35 |
27 |
465 |
|
Other MB* |
|||||
|
Rate/100 pts-yr |
1.79 |
0.896 |
|||
|
HR (95% CI) vs. apixaban |
1.21 (0.97-1.50) |
1.37 (1.10-1.70) |
1.44 (1.15-1.79) |
||
|
Case Fatality Rates |
23 |
22 |
22 |
22 |
25 |
|
Proportion of GI Bleeds |
38 |
41 |
49 |
45 |
395 |
|
CRNM* |
|||||
|
Rate/100 pts-yr |
2.08 |
2.946 |
|||
|
HR (95% CI) vs. apixaban |
1.16 (0.99-1.35) |
1.30 (1.11-1.53) |
1.49 (1.26-1.76) |
||
|
MI* |
|||||
|
Rate/100 pts-yr |
0.53 |
1.116 |
|||
|
HR (95% CI) vs. apixaban |
1.474 (0.96-2.27) |
1.46 (0.95-2.24) |
0.94 (0.64-1.38) |
||
|
SE |
|||||
|
Rate/100 pts-yr |
0.09 |
0.404 |
|||
|
HR (95% CI) vs. apixaban |
12 |
12 |
12 |
||
|
Other CV Hosp |
|||||
|
Rate/100 pts-yr |
10.461 |
13.576 |
|||
|
HR (95% CI) vs. apixaban |
12 |
12 |
12 |
||
|
Other Treat Disc |
|||||
|
Rate/100 pts-yr |
13.18 |
- |
|||
|
HR (95% CI) vs. apixaban |
1.45 (1.31-1.61) |
1.51 (1.36-1.67) |
1.18 (1.08-1.29) |
||
|
Background mortality° |
|||||
|
Rate/100 pts-yr |
3.08 |
- |
|||
|
HR (95% CI) vs. apixaban |
12 |
12 |
12 |
||
Table II. Summary of main clinical inputs used in the analysis
CRNM: Clinically Relevant non Major Bleeds; GI: Gastro-Intestinal Bleeds; HS: Hemorrhagic Stroke; ICH: IntraCranial Hemorrhages; IS: Ischemic Stroke; MI: Myocardial Infarction; Other CV Hosp: Other Cardio-Vascular Hospitalization; Other MB: other Major Bleeds; Other TreatDisc: Other Treatment Discontinuation; pts: patients; SE: Systemic Embolism; yr: year
1 Assume same rate as the apixaban’s rate observed among the VKA unsuitable population
2 Assume same risk as apixaban
3 Pooled sample percentages
4 Assume same rate as ASA first line observed in the VKA unsuitable population
5 Assume same distribution as ASA first line
6 Subgroup of patients who had VKA-unsuitability “demonstrated” (i.e., previously failed warfarin)
* Stroke, bleeds and MI risks are adjusted over time to take into account the increased risks with aging: HR for adjunctive decade of 1.4 [16], 1.97 [17], and 1.3 [20], respectively, are applied
° For the duration of the trial follow-up
For apixaban, the risk of incurring an ischemic stroke (IS) is directly extrapolated from ARISTOTLE in the base case analysis, and adjusted for the CHADS2 distribution in Olesen et al. for the alternative scenario; for the competing NOACs, the rate is calculated by applying the relevant HR to the apixaban hazard in both analyses. Increasing age is associated with higher IS risk; in the model, this is accounted for by applying a HR of 1.4 per decade [16]. Severity distribution of IS is classified according to the modified Rankin scale (mRS - mild 0-2; moderate 3-4; severe 5 and fatal 6) specific to the AC treatment and was derived from published literature (Table II).
As with IS, in the base-case analysis the absolute intracranial hemorrhage (ICH) hazard rate for apixaban is directly obtained from ARISTOTLE; specific HRs are applied to these rates to determine the hazard rates for dabigatran and rivaroxaban. The model accounts for age-related increase in ICH risk by applying a 1.97 HR per decade [17]. Hemorrhagic strokes (HS) are determined as a treatment-specific percentage of ICHs; similarly, their severity distribution, again expressed in terms of mRS, is treatment-specific.
IS and HS survivors are at risk of recurrence: this is modeled according to a real-life registry indicating a cumulative incidence of 4.1 and 3.0 per 100 patient-years, respectively [18]; the severity distribution of recurrent strokes for all alternatives is conditional on the severity of the first stroke, as observed in ARISTOTLE and AVERROES [19].
As with IS and ICH, the model accounts for increasing MI risk with advancing age of the cohort by applying an HR of 1.30 per decade [20]. MI case fatality rates applied in the simulation are specific for gender (10.8% in men and 15.6 for women), differently than for SE (9.4%) [21].
During the simulation, patients may discontinue treatment, either completely, or by switching to another AC regimen, as a consequence of clinical events incurred, or for other reasons as described in Lip et al. [11].
Besides the already described case fatality rates for stroke, bleeding, and MI, the population is subjected to a background mortality derived from ARISTOTLE for the duration of the trial follow-up; given the lack of sound comparative mortality rates, the same background mortality has been applied to all NOACs.
Beyond the trial duration, mortality is projected based on Gompertz distributions fitted on Italian age- and gender specific population rates [22], corrected for the HRs associated to AF, MI, stroke, and SE, as shown in Table III.
|
Health condition |
NVAF [23] |
Stroke [24-26] |
MI [27] |
SE* |
|||
|
Mild |
Moderate |
Severe |
Female |
Male |
|||
|
HR |
1.34 |
3.18 |
5.84 |
15.75 |
4.16 |
2.56 |
1.34 |
Table III. Death hazard ratios according to the health condition of the simulated patient
* Assumption
Utility
Baseline utility assigned to the simulated population derives from a preference study conducted on AF patients [28]. The model accounts for reduced preference for ASA administration, as reported in Gage et al. 1996 [29]; temporary disutilities are assigned to patients experiencing clinical events, as shown in Table IV.
|
Condition |
Mean utility [28] |
Disutility |
|
Atrial fibrillation (Baseline) |
0.7270 |
|
|
Ischemic stroke |
||
|
Mild |
0.6151 |
|
|
Moderate |
0.5646 |
|
|
Severe |
0.5142 |
|
|
Hemorrhagic stroke |
||
|
Mild |
0.6151 |
|
|
Moderate |
0.5646 |
|
|
Severe |
0.5142 |
|
|
Myocardial infarction |
0.6098 |
|
|
Systemic embolism |
0.6265 |
|
|
Other intracranial hemorrhages |
-0.1511 [28] (6 weeks [10,11]) |
|
|
Other major bleeding |
-0.1511 [28] (14 days)* |
|
|
Clinical relevant, |
-0.0582 [28] (2 days)* |
|
|
Other CV hospitalizations |
-0.1276 [28] (6 days [10,11]) |
|
|
Drug utilization |
||
|
Aspirin |
-0.0020 [29] |
|
|
Warfarin |
-0.0120 [29] |
|
Table IV. Utilities and disutilities used in the simulation
* Assumption based on Freeman, 2011 [18] and reported on Dorian, 2014 [10] and Lip, 2014 [11]
Drug | Daily dose (mg/die) | Daily cost (€) |
Aspirin | 100 | 0.04 |
Apixaban | 10 | 1.90 |
Dabigatran (110 mg) | 220 | 1.90 |
Dabigatran (150 mg) | 300 | 1.90 |
Rivaroxaban | 20 | 1.80 |
Table V. Drug acquisition costs, at negotiated net prices [30]
Costs
The analyses are performed taking the perspective of the National Health System (SSN); accordingly, only direct health care costs are considered:
|
Unit cost (€) |
Unit |
Duration |
Source |
|
|
Routine visit |
15.37 |
per visit |
N/A |
Lucioni et al. [31] |
|
Ischemic Stroke |
||||
|
Mild |
||||
|
4,663.06 |
per episode |
2 weeks |
Fattore et al. [32] |
|
81.76 |
per month |
Lifetime |
Fattore et al. [32] |
|
Moderate |
||||
|
6,137.96 |
per episode |
2 weeks |
Fattore et al. [32] |
|
139.04 |
per month |
Lifetime |
Fattore et al. [32] |
|
Severe |
||||
|
10,311.34 |
per episode |
2 weeks |
Fattore et al. [32] |
|
327.95 |
per month |
Lifetime |
Fattore et al. [32] |
|
Fatal |
3,891.00 |
per episode |
N/A |
DRG 14 [33] |
|
Hemorrhagic stroke |
||||
|
Mild |
||||
|
6,321.14 |
per episode |
2 weeks |
Fattore et al. [32] |
|
118.11 |
per month |
Lifetime |
Fattore et al. [32] |
|
Moderate |
||||
|
10,073.43 |
per episode |
2 weeks |
Fattore et al. [32] |
|
200.86 |
per month |
Lifetime |
Fattore et al. [32] |
|
Severe |
||||
|
20,932.42 |
per episode |
2 weeks |
Fattore et al. [32] |
|
473.77 |
per month |
Lifetime |
Fattore et al. [32] |
|
Fatal |
3,891 |
per episode |
N/A |
DRG 14 [33] |
|
Other ICH |
25,812 |
per episode |
N/A |
DRG 528 [33] |
|
Other major bleeding |
3,317 |
per episode |
N/A |
DRG 174 [33] |
|
CRNMB |
2,091 |
per episode |
N/A |
DRG 175 [33] |
|
IM |
||||
|
6,275.21 |
per episode |
N/A |
Mantovani et al. [34] |
|
157.97 |
per month |
Lifetime |
Mantovani et al. [34] |
|
SE |
||||
|
4,663.06 |
per episode |
2 weeks |
Assumption |
|
81.76 |
per month |
Lifetime |
Assumption |
|
Other CV hospitalization |
4,742 |
per episode |
N/A |
DRG 479 [33] |
Table VI. Cost inputs
Stroke management costs have been elaborated based on data reported in an observational study conducted on 411 Italian stroke survivors, followed up for 12 months [32]: for each severity category within ischemic and hemorrhagic strokes, the mean long-term maintenance cost has been approximated to the monthly cost recorded in the second semester; the costs for the acute phase correspond to the sum of the corresponding DRG tariff [33] and the difference between the costs accrued in the first and second follow-up semester.
For acute and long-term MI management, cost data are elaborated basing on three-year follow-up data reported for Italian MI survivors [34]. The costs attributed to the other clinical events considered are equaled to the corresponding DRG-based tariff [33] paid to the hospitals by the SSN.
Other AC related costs considered are related to dyspepsia management (€ 71.46/year [35], rates of dyspepsia from ARISTOTLE for apixaban and warfarin, from adjusted indirect comparison for dabigatran, and assumed equal to apixaban for rivaroxaban) and to renal function monitoring for dabigatran treated patients at risk (19.4%, according to RELY data), equaled to the corresponding tariff of € 8.16 [33].
All historical cost data have been actualized to 2013 values using official indices [22].
Incremental cost/effectiveness
Lifetime results from the simulation are presented as incremental cost/effectiveness and incremental cost/utility ratios, i.e. as the ratio of the difference in costs over the difference in life years and quality-adjusted life years, respectively.
The effect of parameter uncertainty on the results is assessed by probabilistic sensitivity analyses (PSA), in which the model is re-evaluated with 2000 sets of parameter values sampled from appropriate distributions. The influence of single parameters on the results is evaluated with a series of one-way deterministic sensitivity analyses (DSA), in which the model is re-calculated using extreme parameter values, corresponding to the lower and upper limits of the 95% confidence interval; when this was unavailable from the original data, it has been calculated assuming a SEM equaling 25% of the mean.
Costs and benefits accruing after the first year are discounted at a 3.5% annual rate.
Results
In Table VII, main results of the simulation for all alternatives at 1,2, and 3 years. Looking at the evolution of total costs associated to the use of the available NOACs, it can be seen that apixaban results less expensive than the comparators in the first years. Nevertheless, from Table VIII where lifetime ICER results are presented, it can be seen that total lifetime costs associated with apixaban treatment are expected to exceed those of the comparators. This can be easily explained with a well-known paradox in health economic analyses: life-extending therapies increase cost, simply because they prolong the survival of patients that continue to consume healthcare resources for a longer period of time.
|
Year 1 |
Year 2 |
Year 3 |
|||||||
|
Total cost (€) |
QALY |
LY |
Total cost (€) |
QALY |
LY |
Total cost (€) |
QALY |
LY |
|
|
Apixaban |
1,425 |
0.65 |
0.90 |
2,961 |
1.36 |
1.88 |
4,436 |
2.04 |
2.83 |
|
Dabigatran (110 mg) |
1,449 |
0.65 |
0.90 |
2,992 |
1.36 |
1.88 |
4,461 |
2.04 |
2.82 |
|
Dabigatran (150 mg) |
1,459 |
0.65 |
0.90 |
3,007 |
1.36 |
1.88 |
4,476 |
2.04 |
2.82 |
|
Rivaroxaban |
1,459 |
0.65 |
0.90 |
3,020 |
1.36 |
1.88 |
4,511 |
2.04 |
2.82 |
Table VII. Base-case – main simulation results
|
Total cost (€) |
Incremental cost (€) |
LY |
Incremental LY |
Cost per LY gained (€) |
QALY |
Incremental QALY |
Cost per QALY gained (€) |
|
|
Apixaban |
14,028 |
9.12 |
6.48 |
|||||
|
Dabigatran (110mg) |
13,709 |
319 |
8.99 |
0.13 |
2,496 |
6.37 |
0.11 |
2,911 |
|
Dabigatran (150mg) |
13,746 |
282 |
9.04 |
0.08 |
3,318 |
6.41 |
0.07 |
3,882 |
|
Rivaroxaban |
14,012 |
16 |
9.06 |
0.06 |
262 |
6.43 |
0.05 |
327 |
Table VIII. Base-case CEA results (results are presented as apixaban vs. comparator)

Figure 2. Tornado chart illustrating results from DSA for the ICER (€/QALY gained) of apixaban vs. dabigatran 110 mg/bid. The extreme values tested for each parameter are reported on the same line of the corresponding – results in parenthesis indicate negative ICERs, i.e., dominance of apixaban

Figure 3. Tornado chart illustrating results from DSA for the ICER (€/QALY gained) of apixaban vs. dabigatran 150 mg/bid. The extreme values tested for each parameter are reported on the same line of the corresponding – results in parenthesis indicate negative ICERs, i.e., dominance of apixaban

Figure 4. Tornado chart illustrating results from DSA for the ICER (€/QALY gained) of apixaban vs. rivaroxaban. The extreme values tested for each parameter are reported on the same line of the corresponding – results in parenthesis indicate negative ICERs, i.e., dominance of apixaban

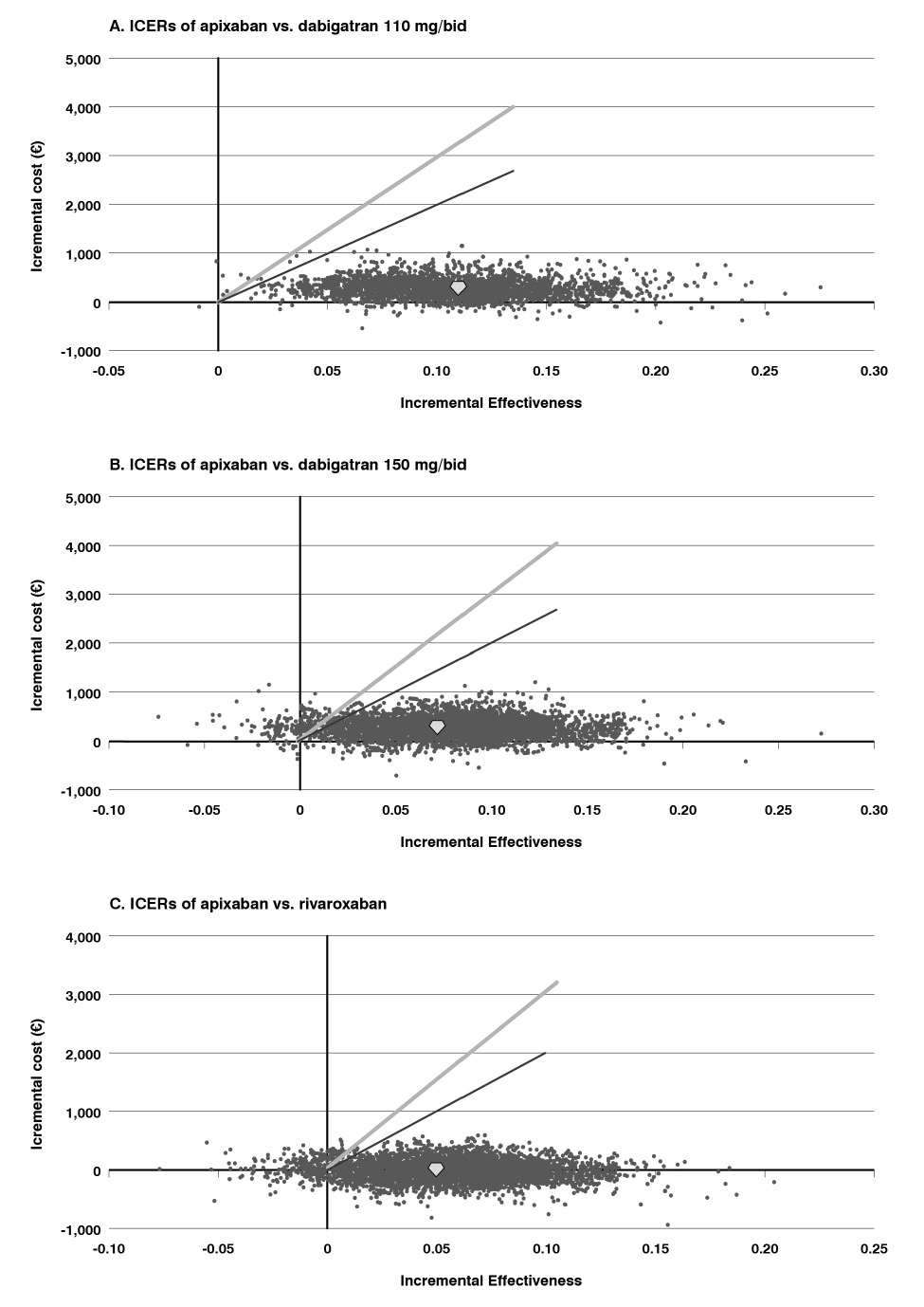
Figure 5. PSA: scatterplots of ICERs of apixaban vs. dabigatran 110 mg/bid (panel A), dabigatran 150 mg/bid (panel B), and rivaroxaban (panel C). The two lines represent WTP thresholds: 20,000 and 30,000 €/QALY gained (lower and upper, respectively). The diamond indicate the base case ICER
Incremental cost/effectiveness and cost/utility ratios are calculated taking apixaban as reference, consistently with its expected best effectiveness profile, and are presented in Table VIII. The ICERs calculated for the comparison with the other alternatives indicate a favorable pharmacoeconomic profile, being quite lower than any usual threshold of the willingness to pay for health benefits of the SSN, or of any other third party payer in industrialized countries.
DSA for the analyses are represented as tornado diagrams in Figure 2, Figure 3, and Figure 4, showing the impact of single parameters on the estimated ICERs in order of decreasing magnitude of effect. The most influential parameters are the daily costs of the compared molecules, but the corresponding ICERs remain well below commonly accepted WTP values.
Probabilistic sensitivity analysis also substantially confirms the findings of the main analysis, as shown in Figure 5, representing the distribution of the 2000 ICER estimates of the PSA.
PSA results are also displayed as cost/effectiveness acceptability curves (Figure 6), in which the estimated probability of being the most cost/effective treatment is shown for every regimen at increasing willingness to pay (WTP) thresholds: apixaban is expected to be the best choice for any WTP above about 5,000 €/QALY gained. Apixaban has 99% and 100% expected probabilities of being cost-effective in the head-to-head comparison with dabigatran 110 mg, for the conventional WTP thresholds of 20,000 and 30,000 €/QALY gained, respectively. Corresponding percentages for the comparison with dabigatran 150 mg and rivaroxaban are 92% and 94%, and 93% and 94%, for the same conventional WTP thresholds, respectively.
Main results of the simulation run on a non-experimental population of NVAF patients [13] for all alternatives at 1,2, and 3 years, as well as in a lifetime horizon, are presented in Table IX.
Alternative scenario results (Table X) are even more favorable for apixaban: when compared with dabigatran (both 110 mg and 150 mg), the estimated ICERs are around 3,000 €/QALY gained ; in the comparison with rivaroxaban, apixaban is expected to dominate, being associated to lower costs and better effectiveness.

Figure 6. Probability of being the most cost-effectiveness treatment choice
|
Year 1 |
Year 2 |
Year 3 |
Lifetime |
|||||||||
|
Total cost (€) |
QALY |
LY |
Total cost (€) |
QALY |
LY |
Total cost (€) |
QALY |
LY |
Total cost (€) |
QALY |
LY |
|
|
Apixaban |
1,419 |
0.65 |
0.90 |
2,942 |
1.36 |
1.88 |
4,366 |
2.02 |
2.80 |
10,861 |
5.10 |
7.12 |
|
Dabigatran (110 mg) |
1,441 |
0.65 |
0.90 |
2,971 |
1.36 |
1.88 |
4,385 |
2.02 |
2.79 |
10,624 |
5.02 |
7.02 |
|
Dabigatran (150 mg) |
1,454 |
0.65 |
0.90 |
2,992 |
1.36 |
1.88 |
4,413 |
2.02 |
2.79 |
10,687 |
5.04 |
7.05 |
|
Rivaroxaban |
1,453 |
0.65 |
0.90 |
3,004 |
1.36 |
1.88 |
4,445 |
2.02 |
2.80 |
10,896 |
5.06 |
7.07 |
Table IX. Alternative population – main simulation results
|
Comparator |
Incremental cost (€) |
Incremental QALY |
Cost per QALY gained (€) |
Incremental LY |
Cost per LY gained (€) |
|
Dabigatran (110 mg) |
237 |
0.08 |
2,971 |
0.10 |
2,470 |
|
Dabigatran (150 mg) |
174 |
0.05 |
3,230 |
0.06 |
2,706 |
|
Rivaroxaban |
-35 |
0.03 |
Dominant |
0.04 |
Dominant |
Table X. Lifetime CEA results on a non-experimental cohort [13] – results are presented as apixaban vs. comparator
Conclusions
The expected economic differences among NOACs stem from the different safety and effectiveness profile of the NOACs emerging from the adjusted indirect comparison.
Dabigatran, at the 110 mg BID dose, appears associated with a lower ICH risk than apixaban, but this should be traded off with an apparent inferior protection against ischemic strokes; the latter can be mitigated with the higher dabigatran dose (150 mg BID) or with the use of rivaroxaban, but at the expense of much higher bleeding risks. However, from an economical point of view, neither trade-off is expected to be efficient.
In conclusion, analyses using the demonstrated relative effectiveness and safety profiles indicate that the different balance between ischemic protection and increased bleeding risk is more favourable from a health economics perspective with apixaban than with the other NOACs: the pharmacoeconomic analyses performed and the findings presented in this paper clearly support the economic value of apixaban in Italian NVAF patients. Since cost effectiveness results appeared to be even more prominent when the model was simulated using real world data, it appears that our base-case may be conservative.
References
1. European Heart Rhythm Association, European Association for Cardio-Thoracic Surgery, Camm AJ, et al. Guidelines for the management of atrial fibrillation: the Task Force for the Management of Atrial Fibrillation of the European Society of Cardiology (ESC). Eur Heart J 2010; 31: 2369-429; http://dx.doi.org/10.1093/eurheartj/ehq278
2. Kannel WB, Benjamin EJ. Status of the epidemiology of atrial fibrillation. Med Clin North Am 2008; 92: 17-40; http://dx.doi.org/10.1016/j.mcna.2007.09.002
3. Wolf CD, Rudd AG. The Burden of Stroke White paper: Raising awareness of the global toll of stroke-related disability and death
4. Wolf PA, Abbott RD, Kannel WB. Atrial fibrillation as an independent risk factor for stroke: the Framingham Study. Stroke 1991; 22: 983-8; http://dx.doi.org/10.1161/01.STR.22.8.983
5. Lamassa M, Di Carlo A, Pracucci G, et al. Characteristics, outcome, and care of stroke associated with atrial fibrillation in Europe: data from a multicenter multinational hospital-based registry (The European Community Stroke Project). Stroke 2001; 32: 392-8; http://dx.doi.org/10.1161/01.STR.32.2.392
6. Sacchetti MA, Spandonaro F, Finzi G, et al. Prevenzione dell’ictus in Italia – diversità regionali ed assetti. Sole 24 Ore sanità Allegato al n.10 del 15-21 Marzo 2011
7. National Institute for Health and Care Excellence. Atrial fibrillation: the management of atrial fibrillation. NICE Clinical guideline 36. NHS, 2006
8. Summary of Product Characteristics [SPC] of apixaban
9. AIFA. Piano Terapeutico Eliquis® (apixaban)
10. Dorian P, Kongnakorn T, Phatak H, et al. Cost-effectiveness of apixaban vs. current standard of care for stroke prevention in patients with atrial Fibrillation. Eur Heart J 2014; 35: 1897-906; http://dx.doi.org/10.1093/eurheartj/ehu006
11. Lip GYH, Kongnakorn T, Phatak H, et al. Cost-Effectiveness of Apixaban Versus Other New Oral Anticoagulants for Stroke Prevention in Atrial Fibrillation. Clin Ther 2014; 36: 192-210; http://dx.doi.org/10.1016/j.clinthera.2013.12.011
12. Granger CB, Alexander JH, McMurray JJ, et al. Apixaban versus warfarin in patients with atrial fibrillation. N Engl J Med 2011; 365: 981-92; http://dx.doi.org/10.1056/NEJMoa1107039
13. Olesen JB, Lip GY, Hansen ML, et al. Validation of risk stratification schemes for predicting stroke and thromboembolism in patients with atrial fibrillation: nationwide cohort study. BMJ 2011; 342: d124; http://dx.doi.org/10.1136/bmj.d124
14. Connolly SJ, Ezekowitz MD, Yusuf S, et al. Dabigatran versus warfarin in patients with atrial fibrillation. N Engl J Med 2009; 361: 1139-51; http://dx.doi.org/10.1056/NEJMoa0905561
15. Patel MR, Mahaffey KW, Garg J, et al. Rivaroxaban versus warfarin in nonvalvular atrial fibrillation. N Engl J Med 2011; 365: 883-91; http://dx.doi.org/10.1056/NEJMoa1009638
16. [No author listed]. Risk factors for stroke and efficacy of antithrombotic therapy in atrial fibrillation. Analysis of pooled data from five randomized controlled trials. Arch Intern Med 1994; 154: 1449-57; http://dx.doi.org/10.1001/archinte.1994.00420130036007
17. Ariesen M, Claus S, Rinkel G, et al. Risk factors for intracerebral hemorrhage in the general population: a systematic review. Stroke 2003; 34: 2060-5; http://dx.doi.org/10.1161/01.STR.0000080678.09344.8D
18. Mohan KM, Crichton SL, Grieve AP, et al. Frequency and predictors for the risk of stroke recurrence up to 10 years after stroke: the South London Stroke Register. J Neurol Neurosurg Psychiatry 2009; 80: 1012-8; http://dx.doi.org/10.1136/jnnp.2008.170456
19. Connolly S, Eikelboom J, Joyner C, et al. Apixaban in patients with atrial fibrillation. N Engl J Med 2011; 364: 806-17; http://dx.doi.org/10.1056/NEJMoa1007432
20. Freeman JV, Zhu RP, Owens DK, et al. Cost-effectiveness of dabigatran compared with warfarin for stroke prevention in atrial fibrillation. Ann Intern Med 2011; 154: 1-11; http://dx.doi.org/10.7326/0003-4819-154-1-201101040-00289
21. Scarborough P, Bhatnagar P. Coronary Heart Disease statistics 2010 edition; British Health Foundation Health Promotion research group, Department of Public Health, University of Oxford
22. ISTAT. Available at: www.ISTAT.it (last accessed February 2014)
23. Friberg L, Hammar N, Pettersson H, et al. Increased mortality in paroxysmal atrial fibrillation: report from the Stockholm Cohort-Study of Atrial Fibrillation (SCAF). Eur Heart J 2007; 28: 2346-53; http://dx.doi.org/10.1093/eurheartj/ehm308
24. Brønnum-Hansen H, Davidsen M, Thorvaldsen P. Long-Term Survival and Causes of Death After Stroke. Stroke 2001; 32: 2131-6; http://dx.doi.org/10.1161/hs0901.094253
25. Henriksson K, Farahmand B, Johansson S, et al. Survival after stroke - The impact of CHADS2 score and AF. Int J Cardiol 2010; 141: 18-23; http://dx.doi.org/10.1016/j.ijcard.2008.11.122
26. Huybrechts K, Caro J, Xenakis J. The prognostic value of the modified rankin scale score for long-term survival after first-ever stroke. Cerebrovasc Dis 2008; 26: 381-7; http://dx.doi.org/10.1159/000151678
27. Brønnum-Hansen H, Jorgensen T, Davidsen M, et al. Survival and cause of death after myocardial infarction: the Danish MONICA study. J Clin Epidemiol 2001; 54: 1244-50; http://dx.doi.org/10.1016/S0895-4356(01)00405-X
28. Sullivan P, Slejko J, Sculpher M, et al. Catalogue of EQ-5D scores for the United Kingdom. Med Decis Making 2011; 31: 800-4; http://dx.doi.org/10.1177/0272989X11401031
29. Gage BF, Cardinalli AB, Owens DK. The effect of stroke and stroke prophylaxis with aspirin or warfarin on quality of life. Arch Intern Med 1996; 156: 1829-36
30. Informatore Farmaceutico on-line. Available at: http://www.codifa.it/ (last accessed February 2014)
31. Lucioni C, Garancini MP, Massi-Benedetti M, et al. The costs of type 2 diabetes mellitus in Italy: a CODE-2 sub-study. Treat Endocrinol 2003; 2: 121-33; http://dx.doi.org/10.2165/00024677-200302020-00005
32. Fattore G, Torbica A, Susi A, et al. The social and economic burden of stroke survivors in Italy: a prospective, incidence-based, multi-centre cost of illness study. BMC Neurology 2012; 12: 137; http://dx.doi.org/10.1186/1471-2377-12-137
33. Remunerazione prestazioni di assistenza ospedaliera per acuti, assistenza ospedaliera di riabilitazione e di lungodegenza post acuzie e di assistenza specialistica ambulatoriale. DM 10/2012 on Gazzetta Ufficiale n. 23 of 1/28/2013
34. Mantovani LG, Fornari C, Madotto F, et al. Burden of acute myocardial infarction. Int J Cardiol 2011; 150: 111-2; http://dx.doi.org/10.1016/j.ijcard.2011.04.030
35. Colombo GL, Caruggi M, Vinci M, et al. Costo sociale annuo della dispepsia funzionale dopo l’eradicazione dell’Helicobacter pylori. PharmacoEconomics – Italian Research Articles 2005; 7: 27-42; http://dx.doi.org/10.1007/BF03320533
1 Calculates stroke risk for patients with atrial fibrillation, possibly better than the CHADS2 score. It is composed of 7 domains: age (1 point for ages 65-74, 2 points for > 74); gender (female, 1 point); congestive heart failure history (yes, 1 point); hypertension history (yes, 1 point); stroke/TIA/thromboembolism history (yes, 2 points), vascular disease history (yes, 1 point), and diabetes mellitus (yes, 1 point)
2 HAS-BLED is an acronym for: Hypertension, Abnormal Liver/Renal Function, Stroke History, Bleeding Predisposition, Labile INR, Elderly (age > 65), Drugs/Alcohol Usage, with each of the domains scored 1 point if present, to be added up to obtain total score, which correlates with the risk of major bleeding. Estimates risk of major bleeding for patients on anticoagulation to assess risk-benefit in atrial fibrillation care.