Return to Article Details A pharmacoeconomic analysis of the use of single MMC instillation in low risk NMIBC in Italy
Farmeco 2013;14(1)27-32.html

Farmeconomia. Health economics and therapeutic pathways 2013; 14(1): 27-32

Original research

A pharmacoeconomic analysis of the use of single MMC instillation in low risk NMIBC in Italy

Renzo Colombo 1, Federico Pellucchi 1, Lorenzo Rocchini 1, Carmen Maccagnano 1, Pablo Katz 2, Valeria Pegoraro 2

1 Department of Urology, University Vita-Salute, San Raffaele Hospital, Milan, Italy

2 CSD Medical Research S.r.l. Milan, Italy

Abstract

BACKGROUND: Bladder cancer accounts for 5-10% of all cancers in Europe and up to 85% patients presents a noninvasive tumor, whose treatment of choice is the transurethral bladder resection (TURB) paired with adjuvant intravesical chemotherapy or immunotherapy. Despite several clinical trials showed that this treatment is safe and decreases recurrences by 17% to 44% this practice is limited for many reasons. The study objective is to analyze the economical advantages of the single immediate post operative Mitomycin C instillation in Non Muscle-invasive Bladder Cancer (NMIBC) low-risk patients.

METHODS: A cost-benefit analysis was performed evaluating the economical gain that would raised from a scenario with a single immediate post operative mitomycin C instillation in each low-risk NMIBC patient who underwent to TURB. Net present value and cost-benefit ratio were calculated and sensitivity analyses were performed. Base case analysis was performed considering tumor recurrence rate reduction of 11.7% and a TURB costs of 2,167.0 €, while sensitivity analyses were performed using a recurrence rate reduction of 19.2% and 15.0% and a TURB cost of 2,472.93 €. The discount rate was 2%.

RESULTS: The single immediate post operative instillation of mitomycin C resulted to be cost-beneficial with a cost-benefit ratio that goes from 0.48 to 0.79 when compared to TURB alone raising a Net Present Value that goes from 660,284.39 € to 2,650,530.79 €.

CONCLUSION: This study demonstrates that even assuming conservative parameters for recurrence rates reduction, a single immediate post operative mitomycin C instillation in low risk NMIBC patients would lower not only the recurrence rate but also the caring cost for bladder cancer.

Keywords

Low risk NMIBC; TURB; Mitomycin C; Cost-benefit analysis; Single dose instillation

Corresponding author

Pablo Katz

pablo.katz@cegedim.com

Disclosure

This study was funded by ProStrakan Italia s.r.l. and Kyowa Hakko Kirin group

Introduction

Bladder cancer is the fourth most common malignancy among men in the Western world (after prostate, lung, and colon cancers) [1] and accounts for approximately 5–10% of all cancers in Europe and the United States [2]. The incidence of bladder cancer increases with age [2] and is up to 3-fold more common in men than in women [3]. In general, bladder cancer is confined to one of two categories: noninvasive (Ta, Tis, T1) or invasive (T2-T4).

Up to 85% of patients with bladder cancer presents with disease confined to the mucosa (stage Ta and Tis) or submucosa (stage T1). These non-muscle-invasive tumors are treated totally differently from muscle-invasive ones. In non-muscle-invasive disease, transurethral resection of bladder (TURB) paired with adjuvant intravesical chemotherapy or immunotherapy is the treatment of choice; in muscle-invasive disease, cystectomy is the most appropriate curative option [4].

Non-muscle-invasive bladder cancer (NMIBC) can be divided into three groups. The first group consists of a minority of patients (20-30%) who have a relatively benign type of transitional cell carcinoma (TCC) with a low recurrence rate. These low-risk tumors do not show progression. The second and largest group consists of patients who frequently develop a non-muscle-invasive recurrence but seldom experience progression. The third, small group consists of patients who have a relatively aggressive non-muscle-invasive tumor at presentation; despite maximum treatment, up to 45% of these patients will develop muscle-invasive cancer [5].

Although recurring well and moderately differentiated NMIBC rarely progresses to a life-threatening condition, repeated TURBs and courses of intravesical instillations of immuno- and chemotherapeutic agents cause considerable inconvenience, expense, and morbidity. A single instillation of chemotherapy immediately after TURB has been proposed as a means of reducing recurrence by decreasing procedure-facilitated tumor implantation and eradicating field effect or persistent (incompletely resected or unrecognized) tumors [6-8]. For over a decade, several prospective randomized-controlled clinical trials (RCT) have shown that this treatment is safe and decreases recurrences by 17% to 44% compared with controls [9-11], particularly for patients with newly diagnosed bladder cancers [6-8; 12-14].

Despite the evidences, clinicians give patients a single immediate post operative chemotherapy instillation in a limited number of cases. Madeb et al. aiming at evaluating whether US urologists have adopted this practice and its potential effect on costs of bladder cancer, found out that between 1997 and 2004, among 16,748 patients with newly diagnosed bladder cancer, of whom 14,677 underwent cystoscopic biopsy or TURB, only 49 (0.33%) received same-day intravesical instillation of chemotherapy. Nevertheless the authors conclude that adopting same-day intravesical instillation of chemotherapy in newly diagnosed low-risk NMIBC patients who undergone to TURB, would significantly lower the cost of BC care [15].

The objective of the present study is to analyze the advantages of the single immediate post operative chemotherapy instillation in NMIBC low-risk patients from an economical point of view and focusing on mitomycin C (MMC) in Italy.

Material and methods

Cost-benefit analysis (CBA), sometimes called benefit-cost analysis (BCA), is a systematic process for calculating and comparing benefits and costs of a project, decision or government policy. CBA has two purposes: to determine if it is a sound investment/decision (justification/feasibility), and to provide a basis for comparing projects. It involves comparing the total expected cost of each option against the total expected benefits, to see whether the benefits outweigh the costs, and by how much.

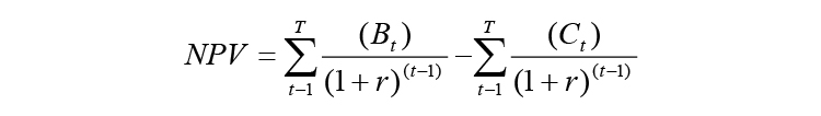
For CBA, the most important calculation is the Net Present Value (NPV). NPV can give the clearest answer to whether a project represents a sound investment and it is defined as the difference between the present value of cash inflows and the present value of cash outflows. When NPV is greater than zero it means that the discounted value of future cash flows is greater than the initial investment.

NPV formula is:

img_03_formula01.jpg

Where Bt represents each year’s benefits, t indicates the year from 1 to T (the last year of the analysis), while Ct represents each year’s costs and r is the discount rate.

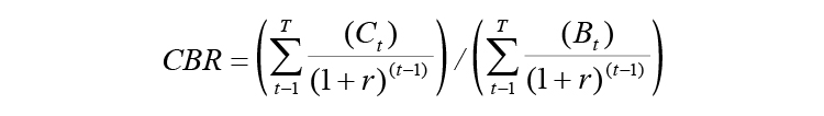
An alternative calculation that may be used to supplement the NPV calculation is the cost-benefit ratio (CBR), calculated by taking the NPV of the costs and dividing it by the NPV of benefits. A CBR lower than one suggests that the strategy is acceptable since the NPV of benefits is greater than NPV of costs.

CBR formula is:

img_03_formula02.jpg

A cost-benefit analysis has been performed evaluating the potential economical gain that would be raised by an hypothetical scenario in which a single immediate post operative mitomycin C instillation is administered in each low-risk NMIBC patients who has undergone to TURB in Italy.

Discounting is another procedure widely applied in these kind of analysis. It is defined as a procedure used in economic analysis to express as “present values” those costs and benefits that will occur in future years. Pharmacoeconomics uses discounting to account for the time preference associated with money in its methodology. Due to the benefits and returns that can be gained in the interim, individuals prefer to receive money sooner rather than later. For the same reason, we prefer to pay out money at some later date rather than today. In other words, money today is worth more than tomorrow. In our analysis we have applied a discount rate of 2% according with Banca d’Italia [16].

Study population

In Italy, in 2010 there have been around 50,000 TURB [17]. Assuming that patients in the low-risk category are newly diagnosed and considering that low-risk patients are the 20-30% (25%) of total cases of NMIBC [5], it can be assumed that the total number of low-risk NMIBC patients who underwent TURB is 12,500, that is our study population.

Scenario

The aim of the present study is to evaluate whether a single immediate post operative intravesical instillation of mitomycin C in all newly diagnosed low-risk NMIBC patients would be cost savings when compared with TURB alone from the perspective of the Italian National Health Service considering a 3 years period.

Parameters

A meta-analysis of the published results of 7 randomized clinical trials comparing TURB alone to TURB plus 1 immediate instillation of chemotherapy has been performed by Sylvester et al. [18]. The study, that included 1,476 patients who tended to be at low risk for recurrence as 89.2% had primary tumors, 84.3% single tumors, 67.9% Ta disease and 9.5% G3 disease, has shown a reduction of 11.7% in the recurrence rate during a median follow-up of 3.4 years when administering a single chemotherapy instillation after TURB.

11.7% reduction in recurrence rate has been used for the base case scenario cost-benefit analysis. A sensitivity analysis has been performed using the percentage of reduction in recurrence rate found by Tolley et al. [11] in a multicentre randomized clinical study performed in 1996 where the differences in recurrence rates was 19.2% on a 7 years follow-up comparing low risk patients who underwent TURB + MMC against low-risk patients who underwent TURB alone, even if no distinctions have been done between patients with 1 MMC instillation and those with 5 MMC instillations. It has been decided to adopt the percentage value from Sylvester et al. for the base case scenario since it comes from a meta-analysis of 7 clinical studies and it has also been taken has a reference by EORTC (European Organization for Research and Treatment of Cancer). Another sensitivity analysis has been done using a percentage of recurrence reduction that is the mean value between those ones reported by Sylvester and Tolley (Table I).

Parameters

Value

Data Source

Reference population

12,500

Adapted from Rapporto sull’attività di Ricovero Ospedaliero. Dati SDO 2010 Ministero della Sanità, 2012 [17]

Reduction in recurrence rate

Base case

11.7%

Sylvester et al. [18]

Sensitivity analysis

19.2%

Tolley et al. [11]

15.0%

Mean of Sylvester et al. [18] and Tolley et al. [11] values

MMC instillation cost

195.56 €

Updated from Racioppi et al. [19]

TURB Costs

Base case

2,167.0 €

Mean DRG value [21]

Sensitivity analysis

2,472.93 €

Updated from Racioppi et al. [19]

Discount rate

2%

Banca d’Italia yearly discount rate [16]

Table I. Parameters used in the cost-benefit analysis

MMC = mitomycin C; TURB = transurethral resection of bladder

Costs

In cost-benefit analysis, costs are those generated by the implementation of the new strategy; in this case costs are generated by the single MMC instillation.

The cost of one instillation of mitomycin C has been reported to be of 177.30 € [19] and it includes the cost of the drug acquisition, the costs of medical and non medical personnel and those of other medications and material used. Since this cost is referred to 2006, we have used ISTAT coefficient (1.103) [20] to update it to 2011 getting a 195.56 € value for a single mitomycin C instillation. As the expenditure is done during the first year, no discount rates have been applied to costs.

Benefits

In cost-benefits analysis, benefits are those costs that could be saved implementing the study strategy, that is the single post-operative MMC instillation. In this case, prevented costs are generated by patients that would experience a recurrence in case they have not been treated with MMC. These costs are those related to TURB, since the Italian National Health Service perspective has been chosen; the hospitalization reimbursements (DRG – Diagnosis Related Groups System) related to TURB surgeries have been considered. The mean cost associated to DRG 311 (transurethral procedures without complications) considering all the regional pricelists in 2009 is of 2,167.00 € [21]. A sensitivity analysis has been done using TURB cost reported by Racioppi et al. [19].

Results

Cost-benefit analysis

The NPV of costs is given by the costs related to MMC instillation in all patients who underwent TURB in one year.

img_03_formula03.jpg

As the expenditure is done during the first year, there are no costs to be applied for the second and third year. Being so and considering that our reference population is composed of 12,500 patients who underwent TURB and that the cost of a single MMC instillation is 195.56 €, the NPV of costs becomes:

img_03_formula04b.jpg img_03_formula04b.jpg

As mentioned above, benefits are those costs that are generated by patients that would experience a recurrence in case they have not been treated with MMC. These costs are those related to TURB performed on the percentage of patients that would not experience the recurrence when administered with post operative MMC, that are 1,462.5 (11.7% of 12,500). As the cost of a TURB is 2,167.00 €, total benefits are 3,169,237.50 €.

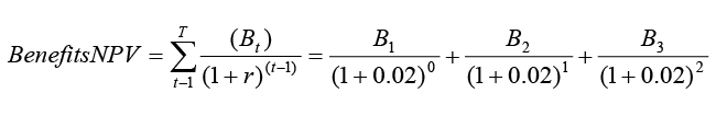
Differently from costs, benefits are splitted during follow-up; El-Ghobashy et al. [22] found that 65% of the recurrences events in patients who underwent TURB alone were equally distribuited in the first two years follow-up, while the remaining 35% were splitted during the remaining 20 months (median follow-up was of 44 months). To be conservative, we assumed that recurrences percentages were equal in each year of a 3 years follow-up, raising benefits that are equally distribuited during the 3 years too. Being so, every year, the amount of benefits is 1,055,356.09 €. While for the first year it is not necessary, for the second and the third year a discount rate must be applied in order to put all costs and benefits in the same time point to make them comparable. Using a 2% discount rate, total benefits for the second year are 1,034,662.83 €, while they are of 1,014,765.47 € for the third year. Being so, NPV of benefits is:

img_03_formula05.jpg img_03_formula05.jpg img_03_formula05.jpg img_03_formula05.jpg img_03_formula05.jpg img_03_formula05.jpg img_03_formula05.jpg

Having costs and benefits NPVs, the NPV can be calculated as follows:

img_03_formula06.jpg

Analogously, the CBR is:

img_03_formula07.jpg

One-way sensitivity analysis on the recurrence rate reduction percentage

A sensitivity analysis has been done using the percentage of reduction in recurrence rate from Tolley et al. [11]; with a 19.2% reduction in recurrence rate, benefits raised by TURB avoided using MMC become 5,200,800.00 €. As in the base case, it has been assumed that recurrences events are equally distribuited during follow-up. Being so, and considering a discount rate of 2%, benefits NPV is 5,095,030.79 €. Considering that costs NPV is the same of the base case scenario, NPV is now 2,650,530.79 € with a related CBR pare to 0.48.

Another sensitivity analysis on recurrence rate reduction has been done using a reduction percentage of 15%, that represents the mean value between the base case scenario and the best one described above. In this case, benefits raised by TURB avoided using MMC become 4,063,125.00 € and the related NPV and CBR are 1,535,992.80 € and 0.61 respectively.

One-way sensitivity analysis on TURB costs

A last one-way sensitivity analysis has been done using TURB costs given by Racioppi et al. [19] instead of the mean cost associated to DRG 311 used in the base case scenario. The cost of TURB from Racioppi is 2,242.00 € in 2006 hence the ISTAT coefficient has been applied raising a TURB cost of 2,472.93 € updated at 2011.

Being so, total benefits and total discounted benefits become 3,616,660.12 € and 3,543,107.73 € respectively. The NPV is 1,098,607.7 3€ with a related CBR pare to 0.69.

Total costs (€)

Costs NPV (€)

Total benefits (€)

Benefits NPV (€)

NPV (€)

CBR

Base case

2,444,500.00

2,444,500.00

3,169,237.50

3,104,784.39

660,284.39

0.79

Sensitivity analysis

Reduction in recurrence rate

19.2%

2,444,500.00

2,444,500.00

5,200,800.00

5,095,030.79

2,650,530.79

0.48

15 %

2,444,500.00

2,444,500.00

4,063,125.00

3,980,492.80

1,535,992.80

0.61

TURB costs

2,472.93

2,444,500.00

2,444,500.00

3,616,660.12

3,543,107.73

1,098,607.73

0.69

Table II. Results from Cost-Benefit analysis: base case and sensitivity analysis

CBR = cost-benefit ratio; NPV = Net Present Value

Discussion

Very few pharmacoeconomic analyses of NMIBC have been conducted worldwide and in particular in Italy.

In this cost-benefit analysis, the single immediate post operative instillation of mitomycin C resulted to be cost-beneficial with a CBR that goes from 0.48 to 0.79 when compared to TURB alone raising a Net Present Value that goes from 660,284.39 € to 2,650,530.79€ and that represents the benefit derived from the expenditure the NHS will not incurs in.

As with any pharmacoeconomic analysis, there are some limitations. For example, bias may be present because of using data from different sources. In our case, the percentage of reduction in recurrence rates comes from a meta-analysis of 7 RCTs and from another RCT. The lack of data from observational studies is an important limitation to a pharmacoeconomic study as analysis based mostly on RCTs provide values that are far from “real life”. Another potential limitation of our study is that the analysis’ main clinical input was based on studies not performed in an Italian health care setting, but the probabilities of clinical events are not usually considered country specific [23]. Another important limitation due to the lack of published local data, is that data on recurrences rate was not based on a study focused on mitomycin C only, but on instillations of related NMIBC chemotherapeutical drugs in general.

Even if a cost-benefit analysis has been performed, no indirect costs have been mentioned since they are not relevant from the Italian National Health Service perspective and, in addition, low risk NMIBC difficultly incurs in this kind of costs as they are not in a life-threatening stage of disease.

Conclusion

The present study has demonstrated that even assuming conservative parameters for reduction in recurrence rates, adopting a single immediate post operative MMC instillation in low risk NMIBC patients would lower not only the recurrence rate but also the cost of caring for bladder cancer in Italy.

References

1. Kirkali Z, Chan T, Manoharan M, et al. Bladder cancer: epidemiology, staging and grading, and diagnosis. Urology 2005; 66: 4-34; http://dx.doi.org/10.1016/j.urology.2005.07.062

2. Parkin DM, Whelan SL, Ferlay J, et al. Cancer Incidence in Five Continents. Lyon: IARC Publications, 2002

3. Parkin DM, Bray F, Ferlay J, et al. Global cancer statistics, 2002. CA Cancer J Clin 2005; 55: 74-108; http://dx.doi.org/10.3322/canjclin.55.2.74

4. van der Heijden AG, Witjes JA. Recurrence, Progression, and Follow-Up in Non–Muscle-Invasive Bladder Cancer. Eur Urol 2009; 8(suppl): 556-62; http://dx.doi.org/10.1016/j.eursup.2009.06.010

5. Oosterlinck W, Lobel B, Jakse G, et al. The EAU Working Group on Oncological Urology. Guidelines on bladder cancer. Eur Urol 2002; 41: 105-12; http://dx.doi.org/10.1016/S0302-2838(01)00026-4

6. Solsona E, Iborra I, Ricos JV, et al. Effectiveness of a single immediate mitomycin C instillation in patients with low risk superficial bladder cancer: short and long-term followup. J Urol 1999; 161: 1120-3; http://dx.doi.org/10.1097/00005392-199904000-00018; http://dx.doi.org/10.1016/S0022-5347(01)61606-9

7. Burnand KG, Boyd PJ, Mayo ME, et al. Single dose intravesical thiotepa as an adjuvant to cystodiathermy in the treatment of transitional cell bladder carcinoma. Br J Urol 1976; 48: 55-9; http://dx.doi.org/10.1111/j.1464-410X.1976.tb02742.x

8. Oosterlinck W, Kurth KH, Schroder F, et al. A prospective European Organization for Research and Treatment of Cancer Genitourinary Group randomized trial comparing transurethral resection followed by a single intravesical instillation of epirubicin or water in single stage Ta, T1 papillary carcinoma of the bladder. J Urol 1993; 149: 749-52

9. Ali-el-Dein B, Nabeeh A, el-Baz M, et al. Single-dose versus multiple instillations of epirubicin as prophylaxis for recurrence after transurethral resection of pTa and pT1 transitional-cell bladder tumours: a prospective, randomized controlled study. Br J Urol 1997; 79: 731-5; http://dx.doi.org/10.1046/j.1464-410X.1997.00142.x

10. Shuin T, Kubota Y, Noguchi S, et al. A phase II study of prophylactic intravesical chemotherapy with 4’-epirubicin in recurrent superficial bladder cancer: comparison of 4’-epirubicin and Adriamycin. Cancer Chemother Pharmacol 1994; 35(suppl): S52-6; http://dx.doi.org/10.1007/BF00686920

11. Tolley DA, Parmar MK, Grigor KM, et al. The effect of intravesical mitomycin C on recurrence of newly diagnosed superficial bladder cancer: a further report with 7 years of follow up. J Urol 1996; 155: 1233-8; http://dx.doi.org/10.1097/00005392-199604000-00023; http://dx.doi.org/10.1016/S0022-5347(01)66226-8

12. Cohen FJ, Neslusan CA, Conklin JE, et al. Recent antihyperglycemic prescribing trends for US privately insured patients with type 2 diabetes. Diabetes Care 2003; 26: 1847-51; http://dx.doi.org/10.2337/diacare.26.6.1847

13. Hillman AL, Schwartz JS, Willian MK, et al. The cost-effectiveness of terazosin and placebo in the treatment of moderate to severe benign prostatic hyperplasia. Urology 1996; 47: 169-78; http://dx.doi.org/10.1016/S0090-4295(99)80410-5

14. Lyman GH, Berndt ER, Kallich JD, et al. The economic burden of anemia in cancer patients receiving chemotherapy. Value Health 2005; 8: 149-56; http://dx.doi.org/10.1111/j.1524-4733.2005.03089.x

15. Madeb R, Golijanin D, Noyes K, et al. Treatment of nonmuscle invading bladder cancer: Do physicians in the United States practice evidence based medicine? The use and economic implications of intravesical chemotherapy after transurethral resection of bladder tumors. Cancer 2009; 115: 2660-70; http://dx.doi.org/10.1002/cncr.24311

16. Italian Central Bank. 2010. Available at: www.bancaditalia.it

17. Ministry of Health. Annual Report on Hospitalization activities. Data from 2010 Hospital Discharge Forms (SDO). Italy. Available at: http://www.salute.gov.it/ricoveriOspedalieri/ricoveriOspedalieri.jsp

18. Sylvester R, Oosterlinck W, Van der Meijden A. A single immediate post-operative instillation of chemotherapy decreases the risk of recurrence in patients with stage TaT1 bladder cancer: A Meta-Analysis of published results of randomized clinical trials. J Urol 2004. 171: 2186-90; http://dx.doi.org/10.1097/01.ju.0000125486.92260.b2

19. Racioppi M, Volpe A, Falabella R, et al. The cost of treatment and follow-up of bladder cancer in Italy. Arch Ital Urol Androl 2007; 79: 111-7

20. National Statistic Institutes (ISTAT). FOI(nt) – National Prices Indexes for employees families (2011). Italy. Available at: www.istat.it

21. National Agency for Regional Healthcare Services (Agenas). 2010. Hospital Discharges (2009). Available at: http://www.agenas.it/monitoraggio_costi_tariffe/2009_SistemiTariffariRicoveri.pdf

22. El-Ghobashy S., El-Leithy TR, Roshdy MM, et al. Effectiveness of a single immediate Mitomycin C instillation in patients with low risk superficial bladder Cancer: Short and Long-Term Follow-up. J Egypt Natl Canc Inst 2007; 19: 121-6

23. Mencacci C, Di Sciascio G, Katz P, et al. A cost-effectiveness evaluation of escitalopram in major depressive disorder in Italy. Clinicoecon Outcomes Res 2013; 5: 87-99