Farmeconomia. Health economics and therapeutic pathways 2012; 13(Suppl 1): 1-80
Report HTA
Cetuximab nel trattamento di prima linea del carcinoma metastatico del colon-retto
Cetuximab in first line treatment of metastatic colorectal cancer
Carlo Barone 1, Andrea Belisari 2, Fortunato Ciardiello 3, Lucia D’Angiolella 2, Gianluca Furneri 2, Lorenzo Mantovani 4, Nicola Normanno 5, Patrizio Piacentini 6, Carmine Pinto 7. Coordinamento Fondazione Charta, Milano
1 Università Cattolica del Sacro Cuore, Roma
2 Fondazione Charta, Milano
3 Seconda Università di Napoli
4 Università degli Studi di Napoli Federico II
5 Istituto Nazionale Tumori, IRCCS Fondazione Pascale, Napoli
6 Azienda Ospedaliera San Carlo Borromeo, Milano
7 Azienda Ospedaliero-Universitaria di Bologna
Disclosure
Il presente lavoro è stato supportato da Merck Serono S.p.A.
Abstract
The present health technology assessment report evaluates the clinical and economic profile of cetuximab in first-line metastatic colorectal cancer (mCRC) in Italy. The first part of the report addresses the epidemiological, clinical, social and economic impact of mCRC. In the second part, evidence of efficacy, safety and cost-effectiveness of cetuximab and its available alternatives is shown. Finally, a model-based economic evaluation aimed at comparing cetuximab-based regimens vs. alternative therapeutic strategies indicated in mCRC in Italy is presented. The model estimates the incremental cost-effectiveness of adding cetuximab to FOLFOX-4 or FOLFIRI based on KRAS status, vs. adding bevacizumab to FOLFOX-4 or vs. FOLFOX-4 or FOLFIRI alone. A theoretical analysis vs. panitumumab has also been performed, despite panitumumab is not yet reimbursed in Italy in first-line mCRC. Survival outcomes, quality of life and costs of patient management are estimated through a Markov model, using the Italian National Healthcare Service (NHS) perspective, over a 10 year period, taking into account KRAS status of patients. The results of the pharmaco-economic analysis show that cetuximab + FOLFOX-4 and cetuximab + FOLFIRI are associated with increased survival, increased cost and increased quality adjusted survival, compared to all other treatments currently indicated and reimbursed in Italy. Adding cetuximab to FOLFOX-4 or FOLFIRI, based on KRAS status shows favorable incremental cost-effectiveness ratio (ICER) vs. adding bevacizumab to FOLFIRI or vs. FOLFOX-4 or FOLFIRI alone. ICER of cetuximab (in combination with FOLFOX-4 or FOLFIRI), compared to currently reimbursed alternatives, is estimated between 6 and 13 thousand Euros per QALY gained, depending on alternative treatment. These estimates are robust in extensive sensitivity analyses. As a final result, both clinical and economic evidence analyzed in this health technology assessment leads to recommend cetuximab as preferred option for the first-line treatment of mCRC KRAS wild-type patients in Italy.
Keywords
Cetuximab; Metastatic colorectal cancer; Health Technology Assessment
Nota per il lettore
Il documento costituisce un health technology assessment di cetuximab nel trattamento di prima linea di pazienti con carcinoma metastatico del colon-retto in Italia. Cetuximab è confrontato con le principali alternative indicate nel trattamento di prima linea del carcinoma metastatico del colon-retto: trattamenti chemioterapici, bevacizumab e panitumumab. Il confronto con panitumumab, tuttavia, deve essere considerato puramente indicativo. Panitumumab ha ricevuto recentemente l’autorizzazione da parte dell’European Medicines Agency al trattamento di prima linea del carcinoma metastatico del colon-retto, ma il farmaco non è ancora registrato in Italia per questa indicazione. Pertanto, a rigore di logica, panitumumab non rappresenta, oggi, una reale alternativa a cetuximab e alle altre terapie di prima linea del carcinoma metastatico del colon-retto. Gli Autori, comunque, hanno voluto includere le informazioni su questo farmaco per ottemperare a un proposito di completezza del documento.
Descrizione della tecnologia e della patologia cui la tecnologia è diretta
Indicazioni terapeutiche e modalità di somministrazione
Il farmaco denominato Erbitux® (cetuximab) è indicato nel trattamento di pazienti affetti da carcinoma metastatico del colon-retto con espressione del recettore per il fattore di crescita epidermico (EGFR) e con gene KRAS (Kirsten rat sarcoma-2 virus oncogene) non mutato (wild-type) [1]:
Cetuximab è inoltre indicato per il trattamento di pazienti affetti da carcinoma a cellule squamose di testa e collo:
Questo documento valuta cetuximab nel trattamento del carcinoma del colon-retto metastatico.
Cetuximab è somministrato una volta alla settimana in tutte le indicazioni, la dose iniziale è pari a 400 mg/m2 di superficie corporea e ciascuna delle dosi successive settimanali è di 250 mg/m2 ciascuna. Il farmaco è somministrato per via endovenosa con filtrazione in linea mediante una pompa per infusione, fleboclisi a goccia o una pompa a siringa. Per la dose iniziale, il tempo d’infusione raccomandato è di 120 minuti, per le dosi settimanali successive il tempo d’infusione raccomandato è di 60 minuti. La velocità massima di infusione non deve superare i 10 mg/min, equivalenti a 5 ml/min di cetuximab 2 mg/ml.
Definizione della patologia target attraverso il sistema di classificazione delle diagnosi
I tumori del colon-retto (o tumori dell’intestino crasso – CRC) derivano dalla proliferazione incontrollata delle cellule della mucosa che riveste l’intestino. La versione ICD-10 (International Classification of Diseases) del 2010 [2], distingue i tumori del colon-retto in base alla localizzazione del tumore:
In particolare, le neoplasie maligne del colon-retto sono ulteriormente distinte in:
Secondo il sistema di classificazione ICD-9 [3], ancora largamente impiegato in Italia, il carcinoma del colon-retto è individuato dai codici 153 e 154.
Altri codici associati a tumori maligni del colon-retto possono essere:
Farmaci approvati da EMA per il trattamento del CRC
Oltre a cetuximab, i seguenti farmaci hanno ricevuto un’indicazione nel trattamento del CRC:
Descrizione della malattia
Anatomia dell’intestino
L’intestino è un organo deputato all’assorbimento delle sostanze nutritive provenienti dall’alimentazione. Ha una lunghezza media di circa 7 metri, ed è suddiviso in intestino tenue, o piccolo intestino (comprendente duodeno, digiuno e ileo), e intestino crasso, o grosso intestino; quest’ultima parte è costituita da colon destro o ascendente, colon trasverso, dal colon sinistro o discendente, dal sigma e dal retto.
Fattori eziologici per lo sviluppo della malattia
Sinteticamente, è possibile distinguere tre diversi tipi di fattori di rischio per lo sviluppo del carcinoma del colon-retto: genetici, dietetici e non-dietetici.
Fattori di rischio genetici
Sebbene familiarità positiva per carcinoma del colon-retto sia riscontrata in circa il 20-25% dei casi, solo il 5-10% dei carcinomi del colon-retto è legato a vere e proprie sindromi genetiche. Tali sindromi possono manifestarsi sia come sindromi poliposiche che non-poliposiche del colon. La principale sindrome poliposica è la poliposi adenomatosa familiare (FAP), che è associata a mutazioni o perdite del gene APC (Adenomatous Polyposis Coli) e rappresenta circa l’1% di tutti i carcinomi del colon-retto. La sindrome ereditaria del carcinoma colorettale senza poliposi (HNPCC o sindrome di Lynch) è invece determinata da mutazioni della linea germinale in geni deputati alla riparazione di errori nella duplicazione del DNA quali hMSH2, hMSH6 e hMLH1, e rappresenta il 5% circa dei tumori colorettali [10]. Altre sindromi genetiche associate a sviluppo di carcinoma del colon-retto sono più rare (sindrome di Turcot, sindrome di Peutz-Jeghers).
Fattori di rischio dietetici
La dieta è ritenuta il principale fattore esogeno identificato sino a oggi per lo sviluppo del cancro colorettale. Il World Cancer Research Fund e l’American Institute for Cancer Research hanno concluso che una dieta appropriata, unitamente ad altri fattori, è un elemento fondamentale per la prevenzione del tumore del colon-retto [11]. I fattori nutrizionali che sembrano essere associati a una più elevata incidenza di neoplasie del colon-retto sono l’elevato consumo di carni rosse, di carni lavorate e l’abuso di sostanze alcoliche (> 30 g etanolo/die). Alimenti ricchi di fibre sembrano invece avere un ruolo protettivo. Alcuni studi hanno anche ipotizzato un ruolo protettivo di pesce, di cibi ricchi in folati o in vitamina D e del selenio, ma l’evidenza a favore di questi fattori è più limitata. Ulteriori fattori di rischio per lo sviluppo di carcinoma del colon-retto sono il sovrappeso e tutti i fattori che concorrono all’obesità. A tale riguardo, i soggetti con diabete di tipo 2 (di solito non insulino-dipendente) sembrano avere un aumentato rischio di sviluppare il carcinoma del colon-retto e, se affetti da questa malattia, tendono ad avere una prognosi più sfavorevole.
Fattori di rischio non dietetici
L’età costituisce un riconosciuto fattore di rischio, essendo l’incidenza del carcinoma del colon-retto circa 10 volte maggiore tra le persone di età compresa fra 60 e 64 anni, rispetto ai soggetti con età 40-44 anni, come peraltro accade per quasi tutti i tumori solidi. L’incidenza di questa neoplasia è anche superiore tra chi ha una storia personale di carcinoma del colon-retto o di polipi adenomatosi. Il fumo è associato allo sviluppo di voluminosi polipi adenomatosi del colon-retto, che spesso precorrono l’insorgenza del tumore, inoltre l’esposizione al fumo di tabacco con ogni probabilità rappresenta un fattore carcinogenetico anche per la mucosa colica [12]. Un più elevato rischio di sviluppare il tumore del colon-retto è stato rilevato in pazienti con malattie infiammatorie intestinali (morbo di Crohn e colite ulcerosa), mentre l’assunzione per periodi prolungati di antinfiammatori non-steroidei (FANS) sembra avere un ruolo protettivo [13,14]. Infine, pazienti che hanno ricevuto trattamenti per una precedente patologia maligna sono a maggior rischio di sviluppare una neoplasia colorettale [15]. In particolare, individui che hanno avuto un carcinoma del testicolo sembrano avere una più elevata incidenza di carcinoma del colon-retto e di altre neoplasie, che potrebbe essere legato alle terapie citotossiche somministrate. Infine, diversi studi hanno suggerito che pazienti che hanno ricevuto un trattamento radiante per carcinoma della prostata hanno un più elevato rischio di avere un carcinoma del retto causato dalle radiazioni ricevute. Tuttavia, questo inconveniente potrebbe essere stato superato dalle più moderne tecniche di irradiazione.
Screening del carcinoma del colon-retto
La sopravvivenza al carcinoma del colon-retto, come del resto a tutte le patologie oncologiche, migliora con una diagnosi allo stadio precoce [16]. La necessità di programmi di screening nel carcinoma del colon-retto deriva anche dall’osservazione che nella maggioranza dei casi la diagnosi viene effettuata tardivamente, quando la malattia è già in fase avanzata e non più limitata all’organo di insorgenza, avendo dato già diffusione ai linfonodi e/o agli organi a distanza. L’esecuzione di programmi di screening per il carcinoma del colon-retto è facilitata dall’osservazione che le alterazioni molecolari che determinano la trasformazione dell’epitelio normale del colon in tessuto neoplastico si accompagnano nella maggioranza dei casi ad alterazioni anatomo-patologiche facilmente riconoscibili, ovvero alla formazioni di polipi. Questi sono piccole escrescenze della mucosa colica, dovute al proliferare delle cellule della mucosa intestinale, che possono presentarsi come lesioni sessili (ovvero con base piatta) o peduncolate (ovvero attaccate alla parete intestinale tramite un piccolo gambo). La maggior parte dei tumori del colon-retto deriva dalla trasformazione in senso maligno di polipi, ma non tutti i polipi sono a rischio di trasformazione neoplastica. Dal punto di vista istologico i polipi del colon-retto si dividono in tre categorie principali, ovvero:
Gli adenomi rappresentano circa il 10% dei polipi del colon e sono delle vere e proprie lesioni precancerose a rischio di trasformazione. Tuttavia, solo una piccola percentuale degli adenomi ha un’evoluzione in senso neoplastico. Infatti, la maggioranza dei polipi (circa il 90%) sono piccoli, in genere di dimensioni inferiori a 1 cm di diametro, e hanno basse probabilità di trasformazione. Il restante 10% degli adenomi è di dimensioni superiore a 1 cm di diametro e ha una possibilità di contenere un carcinoma invasivo di circa il 10%. La probabilità di trasformazione dipende però anche dalle caratteristiche istologiche del polipo: gli adenomi tubulari sono i più comuni e possono essere ritrovati in ogni segmento del colon, gli adenomi villosi sono più comuni nel retto e tendono a essere di dimensioni maggiori rispetto agli altri due sottotipi, tubulari e tubulo-villosi e, soprattutto, sono più spesso associati alla presenza di aree di displasia severa e/o di carcinoma in situ, mentre gli adenomi villosi sono associati a una più elevata morbidità e mortalità rispetto alle altre forme di adenoma. In particolare, gli adenomi con dimensioni superiori a 1 cm, con una componente villosa > 25%, o un elevato grado di displasia, sono da considerare a elevato rischio di trasformazione neoplastica. L’identificazione del polipo adenomatoso come lesione precancerosa, insieme alla sopravvivenza favorevole associata agli stadi precoci della malattia, hanno quindi indotto gli specialisti di medicina preventiva a classificare questa neoplasia tra le patologie maggiormente candidabili a programmi di screening. Obiettivo dello screening è rilevare il 90% di casi sporadici di tumore del colon-retto, la maggior parte dei quali si sviluppa in persone con età superiore ai 50 anni [10].
Due diverse metodiche possono essere impiegate per lo screening del carcinoma del colon-retto: la ricerca del sangue occulto fecale (SOF) e la colonscopia. Queste due metodiche presentano ovvi vantaggi e svantaggi. La colonscopia consente la visualizzazione diretta della mucosa colica e l’identificazione diretta, quindi, della lesione neoplastica o preneoplastica. Tuttavia, l’indagine è invasiva, costosa e gravata da una scarsa compliance. Lo screening per la ricerca di sangue occulto nelle feci è invece basato sull’osservazione che la maggior parte dei tumori del colon-retto e i polipi adenomatosi sanguinano [17]. La metodica è tuttavia gravata da un elevato tasso di falsi positivi, in quanto diverse cause di origine non neoplastica possono provocare sanguinamenti del colon. Diversi Autori ritengono comunque che la ricerca del sangue occulto nelle feci rappresenti un efficace strumento di screening [18]. In tre studi randomizzati questa tipologia di screening ha infatti dimostrato di poter ridurre la mortalità sino al 25% [19], sfortunatamente, più del 60% dei pazienti si presenta ancora con malattia avanzata, con conseguente riduzione al 65% della probabilità di sopravvivenza a 5 anni.
Tra le raccomandazioni sullo screening oncologico, nel 2000 l’ACCP (Advisory Committee on Cancer Prevention) ha suggerito che il miglioramento dei programmi di screening per il cancro del colon-retto dovrebbe essere attuato tramite il SOF [20] e la colonscopia dovrebbe essere utilizzata nel follow-up dei pazienti con SOF positivo. Lo screening dovrebbe essere proposto a uomini e donne dai 50 ai 74 anni circa, con un intervallo di 1-2 anni. È indubbio anche che una storia familiare di carcinoma del colon-retto debba indurre a un inizio precoce dello screening, a un più frequente monitoraggio endoscopico e a un eventuale screening genetico.
Biologia
La trasformazione maligna dell’epitelio del colon-retto è un processo graduale nel corso del quale si verificano alterazioni di diversi geni che concorrono alla determinazione del fenotipo trasformato. La cancerogenesi del colon-retto è legata, infatti, alla presenza d’instabilità genetica che favorisce l’accumulo di alterazioni in geni deputati alla regolazione della proliferazione, del differenziamento e della sopravvivenza cellulare. Tale instabilità è dovuta a due meccanismi genetici principali, ovvero l’instabilità cromosomica (CIN) e l’instabilità legata a microsatelliti (MSI), che sono coinvolti nei due principali pathway di trasformazione del colon. Il pathway caratterizzato dalla CIN, definito anche suppressor pathway, è coinvolto in circa l’85% dei tumori sporadici del colon-retto, mentre il mutator pathway, contraddistinto da MSI, è responsabile di circa il 15% dei carcinomi del colon-retto ma anche della maggioranza dei casi di HNPCC. La CIN è associata a gravi anomalie cromosomiche, come delezioni e inserzioni, così come aneuploidia o poliploidia cromosomica. Le forme di carcinoma del colon-retto dovute al suppressor pathway sono in particolare caratterizzate dall’inattivazione della via di APC/beta-catenina, che avviene molto spesso per mutazioni del gene APC e meno frequentemente di beta-catenina. Mutazioni inattivanti dell’oncosoppressore p53 sono anche molto frequenti in questi tumori, essendo state riscontrate in circa il 75% dei casi. L’oncogene più frequentemente mutato è invece il KRAS. Le mutazioni di KRAS si ritrovano in meno del 10% degli adenomi, fino al 60% nei grandi adenomi (> 1 cm) e in circa il 40% dei carcinomi. Oltre il 90% delle mutazioni di KRAS occorre nei codoni 12 e 13, mentre mutazioni dei codoni 61 e 146 sono più rare. Recentemente è stato dimostrato che mutazioni del codone 146 possono essere associate ad amplificazione del gene KRAS. Mutazioni del gene NRAS sono anche state descritte nel CRC, ma con una frequenza notevolmente inferiore (circa 2%).
Il mutator pathway è dovuto a mutazioni ereditarie o somatiche dei geni mismatch repair (MMR), quali hMSH2, hMSH6 e hMLH1, la cui alterazione favorisce l’accumularsi di anomalie genetiche e, quindi, la trasformazione neoplastica. La metilazione del promotore di hMLH1 è un altro meccanismo epigenetico che determina inattivazione di hMLH1. I tumori colorettali determinati dal mutator pathway sono caratterizzati da MSI. La MSI è definita di alto (MSI-H) o basso (MSI-L) grado, oppure assente (MSS), a seconda del numero di loci instabili. Le mutazioni somatiche che avvengono più frequentemente in questo pathway sono a carico del gene TGFBR2 che codifica per il recettore del TGF-beta. Le mutazioni di TGFBR2 sono in genere un evento tardivo nella sequenza di trasformazione adenoma/carcinoma. Altri geni target di mutazioni in questo pathway includono BAX, caspasi-5, il recettore dell’IGF tipo 2, E2F4, TCF4, hMSH3, hMSH6, RIZ e CDX2. La perdita di eterozigosi e le mutazioni di APC, TP53 e KRAS sono meno frequenti nei tumori MSI-H rispetto ai tumori sporadici del colon-retto. Infine, mutazioni di BRAF non sono in genere molto frequenti nel carcinoma del colon-retto (5-10%), ma sembrano avere un’elevata frequenza nei pazienti con metilazione di hMLH1. La presenza di mutazioni di BRAF rappresenta un forte fattore prognostico sfavorevole in pazienti con carcinoma del colon-retto. La cancerogenesi del colon può comunque seguire anche vie alternative, come per esempio quella delle lesioni serrate recentemente descritta.
Tipi istologici
La classificazione istologica delle neoplasie epiteliali maligne del colon-retto comprende i seguenti tipi (classificazione WHO del 2000):
L’istotipo più frequente è l’adenocarcinoma che rappresenta il 90-95% di tutti i tumori epiteliali maligni del colon. In base al grado di differenziamento, gli adenocarcinomi sono poi suddivisi in due categorie principali, ovvero:
Diagnosi
La diagnosi è effettuata tramite il rilevamento dei sintomi e gli esiti dello screening. Escludendo le neoplasie avanzate, caratterizzate da sintomatologie occlusive e da perforazione, le neoplasie iniziali non presentano sintomi specifici (turbe dell’alvo con stipsi alternata a diarrea, fastidio addominale, astenia persistente, calo ponderale); per questo motivo i programmi di screening rivestono grande importanza per una diagnosi tempestiva. La presenza di sangue nelle feci è più palese se il tumore è situato nelle porzioni più basse del grosso intestino (specie nel carcinoma del retto) e in tal caso le feci appaiono commiste a sangue e anche quando tale presenza non è palese, di regola non manca la reazione del sangue occulto. Lo stillicidio cronico pertanto può causare anemia individuabile con gli esami di laboratorio; l’anemia comporta stanchezza cronica e può talora precipitare in un vero scompenso cardiaco (soprattutto nei cardiopatici). I sintomi tipici delle malattie infettive sono piuttosto comuni, poiché i tumori del grosso intestino sono spesso ulcerati, favorendo il processo di proliferazione batterica. Dolori addominali intermittenti, nausea e vomito sono secondari a occlusione o perforazione (soprattutto nei tumori del sigma) e possono dare seguito a quadri complessi di addome acuto o a quadri di stipsi con severi gradi di distensione addominale.
Strategia diagnostica
Le indicazioni sulle modalità di screening non sono univoche. Strumenti più invasivi come la colonscopia presentano maggiore sensibilità diagnostica a scapito dell’accettabilità del test; la sigmoidoscopia (meno aggressiva) è meglio accettata ma non identifica il 30-40% delle lesioni; l’esame del sangue occulto è più accettabile ma ha bassa sensibilità e deve essere ripetuto almeno ogni due anni perché lo screening risulti efficace.
Sangue occulto nelle feci
I pazienti positivi a questo esame dovrebbero essere sottoposti a colonscopia [21]. Un programma di test reiterati può consentire di scoprire la maggior parte dei carcinomi e può determinare una riduzione della mortalità dal 18 al 21% secondo le forti evidenze derivanti da studi clinici randomizzati [22-24].
Esplorazione digito-rettale
Meno del 10% dei tumori del colon-retto è localizzata all’interno dei 7-8 cm dal dito esploratore. Non c’è evidenza che tale metodica riduca la mortalità del tumore in questione e non è indicata come test di screening per la prevenzione o la diagnosi precoce.
Sigmoidoscopia flessibile
Permette una visualizzazione diretta del colon e consente di eseguire biopsie su lesioni sospette. Lo svantaggio è che esamina solo una porzione di colon distale (quella alla portata dell’endoscopio). Dal 65 al 75% dei polipi adenomatosi e dal 40 al 65% dei carcinomi del colon-retto sono alla portata di un sigmoidoscopio di 60 cm. Dovrebbe essere prescritta ogni 5 anni sulla base dell’evidenza della ridotta mortalità da quattro studi caso-controllo e da due trial randomizzati controllati [25,26].
Colonscopia
Questa tecnica può evidenziare sia polipi sia carcinomi, sebbene sia meno accurata quando le lesioni sono piccole. Deve essere prescritta, se negativa, ogni 10 anni. Tale intervallo è basato sulla tipica velocità di progressione da adenoma a tumore. Parecchie evidenze supportano l’efficacia dello screening con la colonscopia sebbene manchino studi che valutino se tale metodica da sola riduca incidenza o mortalità in una popolazione a medio rischio. La tecnica permette la diagnosi e la rimozione dell’adenoma, riducendo così l’incidenza del tumore, come dimostrato in uno studio a due coorti di popolazione con polipi adenomatosi [27]. La colonscopia esamina la maggior parte del colon rispetto alla sigmoidoscopia ed è stato provato che è in grado di individuare il doppio della maggior parte dei polipi adenomatosi e dei tumori del colon rispetto alla sigmoidoscopia [28,29].
Stadiazione
La classificazione del colon-retto in stadi è propedeutica alle scelte terapeutiche ed è fatta ricorrendo al sistema di Dukes o di Aster-Coller [30]. La classificazione TNM (acronimo per “tumore primitivo, linfonodi regionali, metastasi a distanza”) [31] è un sistema che include una classificazione clinica (pre-trattamento – cTNM) e patologica (istopatologica post-chirurgica – pTNM). Il cTNM è la base per la scelta terapeutica, invece il pTNM è la base per la prognosi. La suddivisione in stadi è illustrata nella Tabella I.
|
Stadio |
Descrizione |
|
TX |
Il tumore primario non può essere identificato |
|
T0 |
Nessuna evidenza di tumore primario |
|
Tis |
Carcinoma in situ (tumore limitato alla parete del viscere) |
|
T1 |
Il tumore invade la sottomucosa |
|
T2 |
Il tumore invade la muscularis propria |
|
T3 |
Il tumore invade la sottosierosa e/o i tessuti pericolici o perirettali |
|
T4 |
Il tumore invade altri organi e/o perfora le viscere peritoneali |
|
T4a |
Il tumore perfora le viscere peritoneali |
|
T4b |
Il tumore invade altri organi |
Tabella I. La classificazione TNM del colon-retto
Prognosi
Il tumore del colon-retto è una neoplasia aggredibile chirurgicamente specie se localizzata. In questi casi la chirurgia rappresenta il gold standard terapeutico, consentendo la cura del 50% dei pazienti [32,33]. La recidiva dopo l’intervento chirurgico spesso rappresenta una rilevante causa di morte. La prognosi è correlata al grado di coinvolgimento della parete viscerale e all’interessamento dei linfonodi [34], altri fattori prognostici rilevanti sono il grading, l’invasione vascolare [35], l’invasione perineurale, il numero dei linfonodi interessati. I più recenti fattori prognostici sono le mutazioni genetiche p53, KRAS, EGFR, l’indice di proliferazione. L’occlusione e la perforazione intestinale sono indici prognostici negativi [35], così come livelli sierici pre-trattamento dell’antigene carcino-embrionario (CEA) e dell’antigene carboidratico 19-9 (CA 19-9) [36]. Tra i fattori correlati al paziente, il perfomance status (ovvero le condizioni generali) influenzano in maniera importante il risultato del trattamento terapeutico [37], con tassi di risposta ai comuni regimi chemioterapici del 30-60% nei pazienti con perfomance status di 0, del 10-30% e 0-10% nei casi di performance status di 1 e 2, rispettivamente.
Trattamento del carcinoma del colon-retto negli stadi non metastatici
Il 75-80% circa dei pazienti con tumore del colon alla diagnosi è operabile radicalmente. L’uso della chemioterapia sistemica adiuvante nello stadio I non trova riscontro in letteratura, mentre l’indicazione nello stadio II è dibattuta. Il trattamento adiuvante nei pazienti in stadio II può essere preso in considerazione in base alla presenza o meno di fattori prognostici sfavorevoli. Tutti i pazienti nello stadio III sono candidati alla chemioterapia adiuvante, per cui è stata dimostrata una riduzione del rischio relativo di morte del 33% (Livello di Evidenza I) [38]. Questi risultati sono stati ottenuti impiegando schemi terapeutici contenenti 5-FU e acido folinico somministrati mensilmente o settimanalmente per almeno 6 mesi [39-41]. Allo stadio III gli schemi di prima scelta sono rappresentati dalle combinazioni di 5-FU, acido folinico e oxaliplatino sia in regime infusionale (FOLFOX) che in bolo (FLOX). Questi regimi hanno permesso di ottenere un significativo vantaggio in termini di intervallo libero da malattia (PFS) a 3 e 5 anni e di sopravvivenza (OS) a 6 anni con il regime FOLFOX, rispetto all’associazione 5-FU + acido folinico [42-45]. Un altro schema di prima scelta, sostanzialmente equivalente a FOLFOX, è rappresentato dalla combinazione capecitabina + oxaliplatino (XELOX) [46]. La chemioterapia adiuvante deve essere iniziata entro 6-8 settimane dalla chirurgia e la sua durata ottimale è di 6 mesi. La frequenza di recidive locali del tumore del retto è elevata. La radioterapia post-operatoria da sola riduce le recidive locali, anche se non esiste evidenza di un aumento di sopravvivenza. Nei tumori del retto in stadio II o III l’efficacia della radioterapia combinata con 5-FU + acido folico in bolo o infusione nel prevenire le recidive locali e aumentare la sopravvivenza è stata dimostrata da diversi studi randomizzati (Livello di Evidenza I) [38]. La chemioterapia deve iniziare entro 6-8 settimane dall’intervento. La radioterapia pre-operatoria è invece raccomandata per i pazienti con tumore del retto extraperitoneale localmente avanzato (Livello di Evidenza I). Recenti studi randomizzati europei hanno dimostrato un ulteriore miglioramento dei risultati clinici nei pazienti con cancro rettale extraperitoneale che sono trattati con radio e chemioterapia (5-FU/folato) pre-operatoria rispetto alla sola radioterapia convenzionale. Invece, l’associazione pre-operatoria di radioterapia + poli-chemioterapia (associazioni di 5-FU/folato + oxaliplatino) non sembra aver dimostrato vantaggi rispetto all’associazione radioterapia + chemioterapia (5-FU/folato) pre-operatoria [47-52].
Trattamento del carcinoma del colon-retto metastatico: le raccomandazioni dell’Associazione Italiana Oncologia Medica (AIOM)
Un tumore si definisce in stadio avanzato (stadio IV) quando alla diagnosi (metastasi sincrone), o successivamente al momento della diagnosi, presenta localizzazioni secondarie a distanza (metastasi metacrone). Il 20-25% circa dei pazienti con tumore del colon-retto presenta malattia avanzata alla diagnosi, mentre il 35-40% circa dei pazienti sottoposti a intervento radicale svilupperà nel tempo metastasi a distanza. Le finalità del trattamento in questi pazienti sono:
La chemioterapia è efficace nel prolungare la sopravvivenza di pazienti con carcinoma del colon-retto in stadio IV. Il trattamento effettuato alla diagnosi di malattia metastatica risulta più efficace, rispetto al trattamento iniziato all’insorgenza dei sintomi, sia in termini di sopravvivenza, sia di qualità di vita (Livello di Evidenza I). Fluoropirimidine, irinotecan, oxaliplatino, anticorpi monoclonali anti-EGFR (Epidermal Growth Factor Receptor) e anti-VEGF (Vascular Endothelial Growth Factor) sono farmaci attivi nel trattamento del carcinoma del colon-retto avanzato. L’associazione 5-FU/acido folinico rispetto al solo 5-FU ha determinato un aumento della percentuale di risposte obiettive con modesto impatto sulla sopravvivenza [53]. L’associazione di 5-FU/folato con oxaliplatino (regime FOLFOX) o con irinotecan (regime FOLFIRI) determina un incremento sia della percentuale di risposte obiettive, sia della sopravvivenza [54-58]. L’impiego di un regime di chemioterapia di combinazione rispetto al solo 5-FU si basa in genere sul performance status e sulla valutazione prognostica. La scelta della terapia medica è indirizzata alla chemioterapia di combinazione a due farmaci con 5-FU/acido folinico/oxaliplatino o 5-FU/acido folinico/irinotecan in tutti i pazienti che non presentino controindicazioni, limitando la monochemioterapia con 5-FU a pazienti con malattia a scarsa aggressività, oppure a pazienti in condizioni generali scadute. La combinazione a tre farmaci 5-FU/acido folinico/oxaliplatino/irinotecan (regime FOLFOXIRI o FOLFIRINOX) evidenzia un’elevata attività, con incremento delle risposte obiettive e un vantaggio in sopravvivenza ma maggiore tossicità, per cui l’impiego va limitato a casi selezionati [59-61]. Attualmente la mediana di sopravvivenza dei pazienti con carcinoma del colon-retto metastatico è di circa 2 anni [62]. I risultati migliori si ottengono comunque nelle serie in cui è maggiore la percentuale di pazienti in cui è stato possibile utilizzare sequenzialmente tutti i farmaci attivi [63].
L’uso dei nuovi farmaci biologici target-oriented anti-EGFR (cetuximab) e anti-VEGF (bevacizumab) ha dimostrato di poter incrementare i risultati della chemioterapia convenzionale. Gli anticorpi monoclonali appartengono alla categoria dei farmaci biologici mirati o cosiddetti intelligenti. Sono cioè in grado di agire in modo selettivo sui differenti bersagli espressi dal tumore, colpendo le singole molecole alterate responsabili della crescita e della diffusione incontrollata delle cellule tumorali, della neoangiogenesi, e della resistenza dei tumori alle terapie tradizionali. Gli anticorpi anti-EGFR antagonizzano il fattore di crescita epidermico e sono in grado di agire in modo mirato sui meccanismi che regolano la crescita tumorale: interrompono cioè l’attività di specifiche molecole presenti nelle cellule tumorali, necessarie alla loro crescita e alla loro moltiplicazione. Il trattamento con cetuximab, anticorpo monoclonale diretto contro il recettore del fattore di crescita epidermico (EGFR), in associazione alla chemioterapia, ha dimostrato di incrementare significativamente le risposte obiettive, la sopravvivenza globale e la sopravvivenza libera da malattia nei pazienti con carcinoma del colon-retto avanzato con espressione immunoistochimica della proteina EGFR resistente a un precedente trattamento chemioterapico. L’oncogene KRAS è un componente centrale del sistema di trasduzione del segnale a valle dell’EGFR e ha un ruolo cruciale nel regolare la crescita cellulare [64-67]. È stato dimostrato che lo stato mutazionale del gene KRAS nelle cellule tumorali condiziona la risposta a cetuximab, e che a beneficiare del trattamento con l’anticorpo monoclonale siano solo i pazienti il cui tumore presenti il gene KRAS non mutato. Nei casi in cui si riscontrino mutazioni di KRAS (esoni 12 e 13), la neoplasia diventa resistente al trattamento con anticorpi monoclonali anti-EGFR. Queste mutazioni sono state riscontrate nel 40% dei casi di carcinoma colorettale. Queste evidenze giustificano nella pratica clinica la valutazione dello stato mutazionale del gene KRAS nei pazienti con carcinoma del colon-retto metastatico, per individuare quei pazienti che possono trarre reale beneficio dalla terapia con cetuximab, anche al fine di evitare inutili tossicità e spese inappropriate al SSN [68,69] (Livello di evidenza I [38]). Allo stato attuale non ci sono dati significativi sulla presenza di fattori predittivi di risposta per gli anti-VEGF..
La Tabella II e la Figura 1 evidenziano, rispettivamente, le raccomandazioni finali dell’Associazione Italiana di Oncologia Medica (AIOM, 2010) in riferimento alle terapie nel CRC, e l’algoritmo di trattamento nella malattia avanzata e/o metastatica [38]. La Tabella III, infine, elenca le raccomandazioni terapeutiche aggiuntive da prendere in considerazione nei pazienti anziani (> 65 anni).
|
Terapia |
Forza della raccomandazione |
Raccomandazione |
|
Generale |
A |
La somministrazione in fase asintomatica risulta più efficace in termini di sopravvivenza e qualità della vita, rispetto alla somministrazione alla comparsa di sintomi (Livello di evidenza I) |
|
Chemioterapia standard |
A |
Le associazioni di 5-FU (preferibilmente somministrato per via infusionale) e acido folinico con oxaliplatino e/o irinotecan sono da impiegare in tutti i pazienti in condizioni di essere trattati con una polichemioterapia; in alternativa il farmaco di scelta è il 5-FU preferibilmente somministrato in infusione continua e associato ad acido folinico. Non esiste differenza tra l’impiego in prima linea di una combinazione rispetto all’altra (Livello di evidenza I) |
|
Fluoropirimidine |
A |
Le fluoropirimidine orali (capecitabina, UFT) possono sostituire la monoterapia con 5-FU + acido folinico (Livello di evidenza I) |
|
Capecitabina + oxaliplatino |
B |
Allo stato attuale l’uso di capecitabina in combinazione con oxaliplatino può sostituire i regimi infusionali. La sua associazione con irinotecan deve essere impiegata con attenzione agli effetti collaterali, solo nei pazienti in cui esistano controindicazioni all’impiego di regimi infusionali con 5-FU (Livello di evidenza II) |
|
Bevacizumab in associazione (prima linea) |
A |
Bevacizumab (anti-VEGF) può essere considerato in associazione alla chemioterapia con FU ± CPT-11 nei pazienti non pretrattati. Tale trattamento è superiore in termini di sopravvivenza rispetto alla sola combinazione tra 5-FU e irinotecan e può essere considerato di prima scelta in pazienti in buone condizioni generali, senza controindicazioni, KRAS mutati (Livello di evidenza I) |
|
Bevacizumab in associazione (seconda linea) |
B |
Bevacizumab (anti-VEGF) è efficace in associazione con regimi contenenti oxaliplatino, anche se il beneficio è limitato. Può essere impiegato in seconda linea nei pazienti che non lo abbiano impiegato in prima linea (Livello di evidenza II) |
|
Generale |
C |
L’utilità della prosecuzione del trattamento con bevacizumab dopo progressione deve essere ancora confermata da studi sperimentali |
|
Seconda linea |
A |
Nei pazienti in buone condizioni generali in progressione di malattia dopo un precedente trattamento chemioterapico deve sempre essere preso in considerazione un trattamento di seconda linea (Livello di evidenza I). In alcuni casi può essere ipotizzato anche un trattamento di terza e quarta linea |
|
Cetuximab in associazione |
A |
Cetuximab (anti-EGFR) può essere impiegato in pazienti EGFR + KRAS wild-type, indipendentemente dalla linea di trattamento, sia in associazione a regimi di irinotecan e/o fluoropirimidine e/o oxaliplatino, sia in monoterapia nei pazienti pretrattati con intolleranza a irinotecan |
|
Cetuximab in associazione con oxaliplatino |
B |
L’associazione cetuximab + chemioterapia a base di oxaliplatino ha dimostrato minore efficacia e il suo impiego va attentamente valutato |
|
Panitumumab |
B |
Panitumumab (anti-EGFR) può essere impiegato in monoterapia in pazienti EGFR+ KRAS wild-type, sottoposti a precedenti trattamenti chemioterapici che non abbiano precedentemente impiegato cetuximab, o che lo abbiano sospeso, in assenza di progressione, pre reazione infusionale |
|
Panitumumab |
B |
L’uso di combinazioni comprendenti panitumumab in prima linea, nei pazienti KRAS wild-type, pur se con dati promettenti, non è attualmente registrato in Italia |
|
Terapia sequenziale |
B |
In caso di malattia a lenta aggressività può essere considerato l’impiego di una strategia sequenziale. In caso di malattia aggressiva o di un trattamento con significato neoadiuvante può essere considerata una combinazione comprendente tre chemioterapici |
|
Terapia sequenziale |
C |
I regimi e le sequenze ottimali di trattamento sono ancora in ampia misura da definire: per tale motivo tutti i pazienti eleggibili dovrebbero essere preferibilmente inseriti in trial clinici |
Tabella II. Principali raccomandazioni AIOM (2010) sulle terapie nel carcinoma del colon-retto metastatico [38]
|
Terapia |
Forza della raccomandazione |
Raccomandazione |
|
Chemioterapia standard |
B |
I regimi di associazione 5-FU + oxaliplatino e 5-FU + irinotecan possono essere messi in atto nel paziente anziano ultrasettantenne nell’ambito di una valutazione multidisciplinare che possa selezionare i soggetti fit con un attento monitoraggio delle eventuali tossicità (Livello di evidenza I) |
|
Bevacizumab |
C |
L’aggiunta di bevacizumab nei soggetti anziani determina un incremento degli eventi avversi di tipo trombo embolico e potrebbe non comportare analoghi vantaggi in termini di sopravvivenza rispetto ai soggetti di età ≤ 65 anni |
Tabella III. Principali raccomandazioni AIOM (2010) nel paziente anziano con malattia avanzata/metastatica [38]

Figura 1. Algoritmo di trattamento del carcinoma del colon-retto (avanzato/metastatico) raccomandato dalle linee guida AIOM 2010. Modificato da [38]
Trattamento del carcinoma del colon-retto metastatico: le raccomandazioni ESMO (European Society for Medical Oncology)
Un recente documento, pubblicato nel 2010 [70], stabilisce la posizione della European Society for Medical Oncology (ESMO) riguardo il trattamento del CRC avanzato/metastatico. La Figura 2 illustra, in maniera sintetica, l’algoritmo di trattamento di prima linea del CRC metastatico.
In aggiunta alla definizione delle scelte nell’ambito della terapia medica, il documento ESMO propone una distinzione cruciale basata sulla resecabilità delle metastasi epatiche. I progressi terapeutici negli ultimi anni hanno infatti dimostrato che la possibilità di resecare le metastasi epatiche determina un chiaro vantaggio in termini di sopravvivenza. La maggior parte dei pazienti con malattia metastatica, al fegato in particolare, non è inizialmente eleggibile alla resezione chirurgica delle metastasi. Visto il vantaggio della resezione chirurgica, tuttavia, l’obiettivo terapeutico, laddove possibile, dovrebbe essere la conversione del carcinoma non resecabile in carcinoma resecabile. Tale principio è sottolineato anche dalle linee guida AIOM (Figura 1).

Figura 2. Strategia di trattamento di prima linea per il trattamento del CRC metastatico. Modificato da [70]
Pazienti con CRC non resecabile
In questi pazienti gli obiettivi del trattamento sono il prolungamento della sopravvivenza totale (che a oggi si attesta intorno ai 24 mesi), il rallentamento della progressione della malattia, il miglioramento dei sintomi associati alla malattia, e il mantenimento di una qualità di vita accettabile. La chemioterapia prevede l’associazione di una fluoropirimidina (5-FU endovena, o formulazioni orali come capecitabina o uracil-ftorafur). Le combinazioni 5-FU/acido folinico/oxaliplatino (regime FOLFOX) o 5-FU/acido folinico/irinotecan (regime FOLFIRI) hanno una maggiore efficacia rispetto all’associazione 5-FU/acido folinico, in termini di tasso di risposte obiettive, sopravvivenza libera da malattia, e sopravvivenza complessiva (Livello di evidenza I, raccomandazione B). I due regimi si differenziano per il diverso profilo di tossicità, pur avendo efficacia sovrapponibile. In alternativa alla combinazione di due farmaci, una strategia meno aggressiva può essere rappresentata da una monoterapia sequenziale, che potrebbe assicurare una minore tossicità, ma in genere produce risultati piuttosto inferiori in termini di sopravvivenza. La chemioterapia di combinazione, in ogni caso, dovrebbe essere preferita se l’obiettivo terapeutico principale è la risposta al trattamento. La sostituzione del 5-FU per via endovenosa con capecitabina orale, si traduce nella combinazione capecitabina/oxaliplatino (regime XELOX) che rappresenta un’alternativa al regime FOLFOX, con un livello sovrapponibile di efficacia e sicurezza (Livello di evidenza I, raccomandazione A). La durata ottimale del trattamento chemioterapico non è categoricamente definita. La modalità usuale consiste nell’effettuare cicli di terapia di 3-6 mesi, sino a progressione della malattia o a sopraggiunta tossicità. Nel piano terapeutico complessivo trovano spazio la terapia sequenziale (sia mono- che politerapia), ma anche la modulazione dei dosaggi e della frequenza di somministrazione.
Gli anticorpi monoclonali attualmente indicati nel trattamento del carcinoma del colon-retto metastatico presentano come bersaglio il fattore di crescita vascolare endoteliale (anti-VEGF, bevacizumab) o il fattore di crescita epidermico (EGFR, cetuximab e panitumumab).
Bevacizumab ha dimostrato di migliorare OS, PFS e tasso di risposta al trattamento (RR) in prima linea del CRC metastatico, quando viene aggiunto a 5-FU/acido folinico in bolo e irinotecan nel regime IFL. Non sono attualmente disponibili studi randomizzati di confronto tra FOLFIRI e FOLFIRI + bevacizumab. Quando aggiunto a FOLFOX, invece, bevacizumab è associato a un miglioramento solo della PFS (Livello di evidenza I, raccomandazione B), ma nessun vantaggio si è registrato in termini di sopravvivenza e risposta al trattamento. L’efficacia di bevacizumab in RR, PFS e OS nel CRC metastatico è stata dimostrata nel trattamento di seconda linea in associazione a FOLFOX. I più comuni problemi di sicurezza del farmaco sono l’ipertensione, la proteinuria, il rischio di eventi tromboembolici, il sanguinamento e la perforazione nel tratto gastrointestinale. Questi eventi avversi inducono assoluta cautela di impiego nel trattamento del paziente anziano e a elevato rischio di malattia cardiocerebrovascolare (Tabella III).
L’impiego di cetuximab in prima linea, in combinazione con regimi di chemioterapia a due farmaci (FOLFOX o FOLFIRI), ha dimostrato di migliorare l’efficacia clinica, rispetto ai regimi di chemioterapia standard, nei pazienti con CRC metastatico KRAS wild-type. Un miglioramento di OS, PFS ed RR è stato evidenziato in associazione con FOLFIRI vs il solo FOLFIRI (Livello di evidenza I, raccomandazione B). In combinazione con FOLFOX, cetuximab ha invece dimostrato un miglioramento della PFS e dell’RR, mentre il dato sull’OS non raggiunge la significatività statistica (Livello di evidenza I, raccomandazione B). In pazienti con CRC metastatico KRAS wild-type pretrattati cetuximab in monoterapia confrontato con la migliore terapia di suporto (BSC) ha prodotto un vantaggio significativo in OS, PFS e RR.
Per quanto riguarda panitumumab, nei pazienti con CRC metastatico KRAS wild-type, gli studi clinici hanno dimostrato un miglioramento della PFS in combinazione con FOLFOX in prima linea, e un aumento del tasso di risposta e della PFS con FOLFIRI in seconda linea. In nessun caso, l’impiego di panitumumab ha determinato un aumento della sopravvivenza rispetto al gruppo di controllo (Livello di evidenza I, raccomandazione B).
Sia cetuximab che panitumumab mantengono la loro efficacia nei pazienti KRAS wild-type refrattari a molteplici linee di terapia, ma non trattati con anticorpi anti-EGFR, rispetto alla terapia di supporto [68,71-73]. Al momento, non esiste evidenza derivante da studi di confronto bevacizumab vs cetuximab e bevacizumab vs panitumumab nei soggetti con CRC wild-type. Inoltre, l’aggiunta di cetuximab (studio CAIRO2) o panitumumab (studio PACCE) alla combinazione di bevacizumab con doppiette di chemioterapia non sembra comportare vantaggi aggiuntivi [74,75]. Pertanto l’associazione di anticorpi anti-EGFR con bevacizumab non è raccomandata (Livello di evidenza I, raccomandazione B).
Pazienti con metastasi epatiche inizialmente non resecabili di CRC
È dimostrato che la resezione chirurgica delle metastasi epatiche aumenta in maniera rilevante la probabilità di sopravvivenza rispetto ai soggetti non operabili (probabilità di sopravvivenza a 5 anni del 40-50% vs ≤ 10%). Tuttavia, il tasso di recidiva epatica o extra-epatica in questi soggetti è piuttosto elevato (dal 60 al 75%). Per tale motivo, è necessario migliorare l’efficacia dell’intervento attraverso strategie di chemioterapia post-operatoria e/o di implementazione del controllo locale mediante l’associazione di radioterapia al trattamento medico sistemico, su cui al momento si stanno conducendo studi mirati.
Come detto all’inizio del paragrafo, nei pazienti con tumore inizialmente non resecabile è consigliabile una strategia terapeutica aggressiva, allo scopo di ottenere il downsizing delle metastasi e renderle pertanto operabili. A questo riguardo, è stata dimostrata una correlazione significativa tra la risposta al trattamento e il tasso di resezione delle metastasi e di conseguenza in questo contesto trovano utilizzazione elettiva quelle combinazioni di farmaci che si sono dimostrate in grado di determinare una più significativa riduzione della massa neoplastica nel fegato. La combinazione a tre farmaci FOLFOXIRI sembrerebbe in grado di incrementare ulteriormente la percentuale di resecabilità, al costo di un’aumentata tossicità, ma tale dato richiede ulteriori conferme [76]. Tuttavia, circa l’80% dei soggetti operati ha avuto una recidiva nei due anni successivi alla resezione. Cetuximab, in combinazione con regimi chemioterapici a base di FOLFOX e FOLFIRI ha determinato un aumento del tasso di resezione delle metastasi epatiche, statisticamente significativo rispetto ai pazienti di controllo, anche se poco rilevante in termini di frequenza assoluta dei casi. Al contrario l’associazione bevacizumab + FOLFOX non ha dimostrato questo effetto, rispetto al regime chemioterapico standard. L’efficacia degli anticorpi anti-EGFR in questo contesto è confermata anche da panitumumab che sembra produrre risultati sostanzialmente in linea, anche se la capacità di convertire le metastasi epatiche alla resecabilità da parte di cetuximab è comprovata da diversi studi di fase II [77,78].
Trattamento del carcinoma del colon-retto metastatico: le raccomandazioni ASCO (American Society for Clinical Oncology) e NCCN (National Comprehensive Cancer Network)
Da una revisione dell’archivio elettronico del sito ufficiale dell’American Society for Clinical Oncology, emerge che l’ultimo aggiornamento, sistematico e ufficiale, delle raccomandazioni sul trattamento del CRC risale al 2005 [79]. Considerando che queste raccomandazioni si riferiscono a un panorama di trattamento e a un’evidenza non adeguatamente aggiornata (> 5 anni), riteniamo non utile l’inserimento di informazioni provenienti da questa fonte.
L’American Society for Clinical Oncology, nel 2009, ha invece espresso formalmente la propria posizione sull’opportunità di testare lo stato mutazionale del gene KRAS in pazienti con CRC metastatico allo scopo di predire la risposta ai trattamenti con anticorpi monoclonali anti-EGFR [80]. Gli Autori della dichiarazione hanno preso in considerazione le analisi post-hoc di 5 studi clinici controllati, randomizzati, che hanno valutato l’impiego di cetuximab o panitumumab in pazienti con CRC metastatico, in funzione dello stato di mutazione del gene KRAS, e di altri 5 studi non controllati nei quali è stata valutata retrospettivamente la risposta in funzione dello stato KRAS, giungendo alle seguenti conclusioni:
Per questi motivi gli autori hanno concluso che “tutti i pazienti con CRC metastatico che sono candidati a un trattamento con terapia anti-EGFR devono essere sottoposti a un test di determinazione dello stato KRAS presso un laboratorio accreditato. Se la mutazione KRAS è confermata, allora il paziente non dovrebbe ricevere un trattamento anti-EGFR”.
Le linee guida più aggiornate sul trattamento per il cancro al colon-retto metastatico sono quelle redatte dal National Comprehensive Cancer Network. In sintesi, per il paziente con malattia metastatica la versione 3 del 2012 riporta i suggerimenti elencati di seguito.
Principali indicazioni fornite dall’Agenzia Italiana del Farmaco (AIFA) sull’impiego delle terapie indicate nel carcinoma del colon-retto
Registro farmaci oncologici sottoposti a monitoraggio
In riferimento all’indicazione nel CRC metastatico, l’Agenzia Italiana del Farmaco ha disposto l’inserimento delle tre terapie biologiche bevacizumab, cetuximab e panitumumab, nel registro dei farmaci oncologici sottoposti a monitoraggio [81]. L’utilizzo di questi farmaci richiede, pertanto, la compilazione di schede di raccolta dati al fine di garantire l’appropriatezza d’uso degli stessi. Questa decisione, condivisa dall’Agenzia del Farmaco e dall’Associazione Italiana di Oncologia Medica è realizzata per “consentire da una parte la verifica dell’appropriato uso di questi farmaci e dall’altra di produrre dati sul loro uso nella pratica clinica, che potranno in alcuni casi essere utili a integrare le conoscenze emerse dalle sperimentazioni condotte a fini registrativi”.
Le schede di monitoraggio per i farmaci in questione sono suddivise in 7 sezioni.
Indicazioni AIFA sull’impiego di cetuximab
Il farmaco cetuximab è attualmente approvato per tutte le indicazioni EMA (determine N.36/2005; N.8/2009; N.461/2010) e sottoposto a monitoraggio. Nel comunicato del Luglio 2011 “la Commissione Tecnico-Scientifica dell’AIFA (verbale CTS n.18 del 12 e 13 luglio 2011), sentito il parere del Gruppo di Lavoro per le Terapie Oncologiche e la sottocommissione Sperimentazione Clinica, approva la seguente modifica inerente i criteri di eleggibilità: si considera non determinante la valutazione dell’espressione dell’EGFR per l’eleggibilità dei pazienti affetti da carcinoma del colon-retto in trattamento con cetuximab (Erbitux®)”. In base a questa comunicazione, i soggetti con CRC metastatico possono ricevere la terapia con cetuximab, indipendentemente dalla valutazione dell’espressione dell’EGFR.
Indicazioni AIFA sull’impiego di bevacizumab
Il farmaco bevacizumab è attualmente approvato per tutte le indicazioni EMA (determine N.63/2005; N.210/2008) e sottoposto a monitoraggio. L’Agenzia Italiana del Farmaco non pone ulteriori raccomandazioni sull’impiego di bevacizumab, rispetto alle indicazioni EMA.
Indicazioni AIFA sull’impiego di panitumumab
Il farmaco panitumumab è attualmente approvato per il trattamento del CRC metastatico EGFR+, KRAS wild-type, in monoterapia dopo fallimento con regimi chemioterapici contenenti fluoropirimidine, oxaliplatino e irinotecan (determina N.241/2008) e sottoposto a monitoraggio. Nel comunicato del Luglio 2011 “la Commissione Tecnico-Scientifica dell’AIFA (verbale CTS n.18 del 12 e 13 luglio 2011), sentito il parere del Gruppo di Lavoro per le Terapie Oncologiche e la sottocommissione Sperimentazione Clinica, approva la seguente modifica inerente i criteri di eleggibilità: si considera non determinante la valutazione dell’espressione dell’EGFR per l’eleggibilità dei pazienti affetti da carcinoma del colon-retto in trattamento con panitumumab (Vectibix®)”.
Procedure di risk sharing
L’Agenzia Italiana del Farmaco ha approvato la rimborsabilità delle terapie biologiche indicate nel CRC metastatico, a seguito di accordi di risk sharing con le aziende farmaceutiche titolari dei diritti di commercializzazione dei rispettivi farmaci. La Tabella IV illustra la tipologia dell’accordo negoziale per ciascuno dei farmaci.
|
Terapia |
Condizioni dell’accordo |
|
Bevacizumab |
|
|
Cetuximab |
|
|
Panitumumab |
|
Tabella IV. Accordi di risk sharing tra AIFA e aziende farmaceutiche titolari dei diritti di commercializzazione dei 3 farmaci indicati nel trattamento del CRC metastatico
Raccomandazioni d’impiego dei farmaci da parte di alcune regioni italiane
Alcune regioni italiane (Veneto ed Emilia Romagna) hanno effettuato delle valutazioni sistematiche (HTA) per decidere sull’opportunità di inserire i nuovi farmaci indicati nel CRC metastatico nel PTOR (prontuario terapeutico ospedaliero regionale). In questa sezione sono riportati sinteticamente i pareri formulati dalle commissioni, relativamente al trattamento del CRC metastatico di prima linea.
Cetuximab
In regione Veneto [82] la CTR (Commissione Terapeutica Regionale) “ritiene interessanti i dati relativi alla prima linea in associazione a chemioterapia, in particolare per quei pazienti con metastasi epatiche (singole metastasi o poche metastasi) che a seguito del trattamento divengono resecabili. In questa tipologia di pazienti, infatti, si osserva una sopravvivenza del 30% a 10 anni e quindi l’associazione di cetuximab permette di aumentare complessivamente la sopravvivenza in questo sottogruppo di pazienti perché permette di ridurre le metastasi in modo da renderle operabili”. La decisione finale della CTR è pertanto di approvare l’inserimento in associazione a chemioterapia nel trattamento del CRC metastatico di prima linea.
In regione Emilia Romagna [83], il gruppo regionale per i farmaci oncologici ha valutato l’impiego di cetuximab nel CRC in tre diversi setting, formulando tre giudizi separati:
Bevacizumab
Nel Settembre 2008, la CTR Veneto ha approvato l’allargamento delle indicazioni di bevacizumab nel CRC [84]. Secondo la CTR “bevacizumab in combinazione con chemioterapia a base di fluoropirimidine è indicato per il trattamento di pazienti con carcinoma metastatico del colon e del retto”.
Così come nel caso di cetuximab, il gruppo regionale per i farmaci oncologici (GReFo) dell’Emilia Romagna, nel 2010 [85], ha espresso tre diversi pareri per l’impiego di bevacizumab nel trattamento di prima linea del CRC metastatico:
Panitumumab
Al momento non sono presenti valutazioni HTA su panitumumab da parte dell’Unità di Valutazione dell’Efficacia del Farmaco della regione Veneto. Per quanto riguarda la Regione Emilia Romagna, la valutazione più recente di panitumumab risale al dicembre del 2008 [86]. Tuttavia questa valutazione si basa sull’impiego del farmaco nelle linee successive alla prima. In questo documento, la commissione afferma che “i dati di efficacia disponibili indicano che panitumumab non rappresenta un’importante opzione terapeutica per i pazienti che hanno fallito i precedenti regimi terapeutici” e decide che panitumumab non debba essere inserito nel PTOR. Non sono state formulate ufficiale decisioni sull’impiego del farmaco nel CRC metastatico di prima linea.
Capecitabina
Il più recente documento su capecitabina della CTR Veneto è datato Ottobre 2010 [87]. In questo documento, sostanzialmente focalizzato sull’impiego di capecitabina nei tumori gastrointestinali, è comunque ribadito che “il farmaco capecitabina è già autorizzato e inserito in PTOR per il trattamento del carcinoma metastatico del colon-retto, limitatamente ai pazienti in cui non si ritiene praticabile la terapia con FU, nella terapia adiuvante nei pazienti sottoposti a chirurgia per carcinoma del colon di stadio III”.
In Emilia Romagna, non ci sono documenti ufficiali che attestino la formulazione di un giudizio da parte della commissione GReFO. Tuttavia capecitabina risulta regolarmente inserita nell’elenco dei farmaci inseriti nel PTOR (aggiornamento Novembre 2011).
Altri regimi chemioterapici
Le due regioni non hanno formulato delle raccomandazioni specifiche sui regimi chemioterapici standard (5-FU, oxaliplatino, irinotecan), ma i farmaci risultano regolarmente inseriti nei rispettivi PTOR, in base alle indicazioni approvate.
Impatto epidemiologico della patologia cui la tecnologia è diretta
Il carcinoma del colon-retto (CRC) è una delle forme più diffuse di tumore, con un numero stimato di circa 1,23 milioni di casi nel 2008 [88], che costituisce il 9,8% del totale dei casi di tumore a livello mondiale. In Europa, sempre nel 2008, sono stati registrati circa 3,2 milioni di nuovi casi (incidenti) di tumore (tutti i tumori) e 1,7 milioni di decessi nei 40 paesi valutati [89]. Con 436 mila casi (13,6% del totale) il CRC è stato la forma di cancro più comune e ha rappresentato inoltre la seconda causa di morte per tumore, con 212 mila decessi (12,3% del totale). Più del 70% dei decessi correlati a CRC si verifica in pazienti con età superiore a 65 anni. La stessa fonte dei dati, Globocan, ha fornito le stime sulla frequenza assoluta e relativa di casi di tumore del colon-retto (e decessi correlati), in Italia. La Tabella V mostra i dati d’incidenza e mortalità per tumore, compreso il CRC.
|
Tipo di cancro |
Incidenza (n. casi) |
Mortalità (n. casi) |
|
Cavità orale |
4.450 |
1.692 |
|
Naso – faringe |
457 |
222 |
|
Faringe – altro |
1.773 |
1.002 |
|
Esofago |
2.407 |
2.024 |
|
Stomaco |
15.503 |
10.458 |
|
Colon-retto |
51.770 |
19.200 |
|
Fegato |
12.177 |
10.535 |
|
Cistifellea |
4.883 |
3.549 |
|
Pancreas |
10.446 |
9.684 |
|
Laringe |
4.334 |
1.673 |
|
Polmone |
36.640 |
32.589 |
|
Melanoma |
8.013 |
1.691 |
|
Mammella |
47.514 |
11.693 |
|
Utero – cervice |
2.880 |
906 |
|
Utero – corpo |
6.955 |
1.726 |
|
Ovaie |
5.114 |
3.087 |
|
Prostata |
40.052 |
7.798 |
|
Testicoli |
1.835 |
109 |
|
Rene |
8.849 |
3.309 |
|
Vescica |
15.816 |
5.245 |
|
Cervello |
4.490 |
3.014 |
|
Tiroide |
7.448 |
541 |
|
Non-Hodgkin linfoma |
12.103 |
5.249 |
|
Mieloma multiplo |
5.531 |
3.104 |
|
Leucemia |
9.245 |
5.935 |
Tabella V. Incidenza e mortalità per tumori in Italia, anno 2008 [89]
Questi dati sono confermati dai più recenti rapporti dai registri tumori italiani [90]. La Figura 3 riporta i tassi grezzi di incidenza e mortalità per carcinoma del colon-retto (diagnosi ICD-9: 153, 154, 159) nel periodo 1970-2010, stratificati per sesso. In base alle stime per l’anno 2010, il tasso grezzo d’incidenza di CRC in Italia è pari a 107,8 casi negli uomini e a 69,6 casi nelle donne. Il dato preoccupante che emerge dalla Figura 3 è il significativo aumento dell’incidenza di CRC negli ultimi decenni. A fronte di tale aumento, tuttavia, il dato di mortalità da CRC si è mantenuto pressoché costante, a testimonianza del fatto che il miglioramento degli strumenti di diagnosi e la maggior efficacia delle cure hanno determinato un aumento del tasso di guarigione e della sopravvivenza complessiva.

Figura 3. Andamento dell’incidenza e della mortalità per CRC (1970-2010) [90]

Figura 4. Proiezioni epidemiologiche del CRC in Italia: incidenza e numero di decessi (2008-2030)
Le proiezioni epidemiologiche per l’Italia nel periodo 2010-2030 mostrano un aumento dell’incidenza e del numero dei decessi attribuibili al tumore del colon-retto (Figura 4).
Il rapporto tra numero di nuovi casi e numero di decessi fa registrare una leggera diminuzione nel ventennio 2010-2030.
L’aumento della sopravvivenza dei malati di tumore è stato evidenziato dal recente Rapporto AIRTUM (Associazione Italiana Registri Tumori) [91]. Nello specifico del CRC, le stime affermano che:

Figura 5. Andamento della sopravvivenza a 5, 10, 15 anni in coorte con differente anno di diagnosi

Figura 6. Stima del numero di soggetti affetti da CRC e da CRC con gene KRAS non mutato
A oggi, non sembrano esistere delle stime italiane accurate sulla frequenza di casi di CRC, in base all’espressione del recettore per il fattore di crescita epidermico (EGFR) e della mutazione del gene KRAS. La stima sulla percentuale di casi di CRC che mostrano mutazione del gene KRAS è piuttosto variabile. I dati provenienti da diversi trial clinici evidenziano una mutazione genica nel 30%-50% dei casi [92-98]. Alla luce dei dati di prevalenza ricavati dall’Istituto Superiore di Sanità [90], e stimando una frequenza di mutazione del gene KRAS pari al 40% (in linea con la media dei risultati riportati in letteratura), è possibile calcolare, in via teorica, il numero di soggetti prevalenti affetti da CRC in Italia, che presentano un’assenza di mutazione del gene KRAS. Tali stime sono riportate in Figura 6.
Un ultimo dato che si ritiene utile riportare, anche se non molto recente (anno 2002) è il numero di DALY (Disability Adjusted Life Years), valutato dall’Organizzazione Mondiale per la Sanità [99], che fornisce una stima del burden della malattia, ossia del numero di anni perduti a causa della malattia (per precoce mortalità o disabilità acquisita). L’analisi evidenzia che in Europa, la cui popolazione complessiva è pari a 878 milioni di soggetti, ogni anno sono perduti circa 150 milioni di anni a causa di malattia, disabilità e mortalità precoce. Dei 150 milioni di DALY perduti, 17 milioni circa (11,4%) sono attribuibili ai tumori. La Figura 7 illustra le cinque più frequenti cause di DALY tra i tumori. Il CRC si posiziona al secondo posto di questa classifica, con 1,8 milioni di DALY, preceduto soltanto dai tumori delle vie respiratorie.

Figura 7. Cause più comuni di DALY perduti tra i tumori
Impatto clinico della patologia cui la tecnologia è diretta
Dalla descrizione della patologia e dalla valutazione dell’impatto epidemiologico appare chiaro che il carcinoma del colon-retto è una condizione a elevato carico clinico, impattando in maniera rilevante sulla probabilità di sopravvivenza del paziente. Nonostante le attuali terapie disponibili abbiano migliorato la prognosi dei pazienti affetti da CRC, la prognosi resta ancora infausta, specie in condizioni di diagnosi tardiva della malattia. La Figura 8 illustra la probabilità di sopravvivenza media di soggetti affetti da CRC, in funzione della stadiazione alla diagnosi [100]. È evidente che in un contesto come questo l’obiettivo clinico principale è l’aumento della sopravvivenza globale.

Figura 8. Probabilità di sopravvivenza a 5 anni, in funzione della stadiazione del tumore
Il quadro clinico dei sintomi della malattia e delle complicanze è piuttosto complesso. Nausea, vomito e alvo chiuso a feci e gas possono essere manifestazioni di un’occlusione intestinale acuta (soprattutto per le localizzazioni prossimali) primaria o secondaria a intussuscezione [101]. La distensione addominale e gli effetti lesivi diretti del tumore possono essere causa di perforazione ed emorragia acuta, con anemia acuta e collasso cardiocircolatorio. La peritonite è una complicazione tardiva dovuta all’invasione del peritoneo; analogamente, l’invasione delle strutture pelviche può portare alla formazione di ascessi [102]. L’invasione batterica del torrente ematico è secondaria a lesione della mucosa. La batteriemia conseguente può essere responsabile di shock settico e rapidissimo peggioramento del quadro clinico. L’invasione della pelvi renale può portare a insufficienza renale e uremia più o meno grave.
C’è una notevole concordanza, tra le linee guida analizzate, nel fissare gli obiettivi clinici da perseguire:
A questi obiettivi terapeutici corrispondono una serie di indicatori di esito clinico (detti end point), comunemente impiegati per la valutazione comparativa degli interventi terapeutici. Alcuni di questi, il cui significato è, tra l’altro, piuttosto intuitivo, sono già stati introdotti nel corso della trattazione.
Impatto umanistico (sulla qualità di vita) della malattia
Premessa
Il termine qualità di vita (QoL – Quality of Life) rimanda alla percezione, da parte di un soggetto, del proprio stato di salute fisica, psicologica, sociale, e alla percezione del proprio ruolo nella società e nelle relazioni interpersonali [105]. Nonostante questo concetto sia percepito da ogni individuo, non esiste una definizione univoca di QoL, che è prettamente un aspetto soggettivo e con un significato che può variare molto da individuo a individuo, da popolazione a popolazione, in base alla cultura, al genere, all’età, al livello socio-economico, alle esperienze e alle aspettative. Pertanto fornirne una definizione è un esercizio complesso: ad esempio l’Organizzazione Mondiale per la Sanità definisce la qualità di vita come “la percezione di un individuo della condizione in cui questi vive, basata sulle aspettative e confrontata con uno standard di perfetta salute” [106].
La misurazione della HRQoL (Health Related Quality of Life) costituisce un aspetto rilevante o addirittura fondamentale nella valutazione della salute degli individui e degli effetti dei trattamenti e delle terapie [107], al fine di ottenere un quadro più completo dello stato di salute dei soggetti. Ne è derivato un diffuso riconoscimento dell’importanza di includere anche la HRQoL nella valutazione delle tecnologie sanitarie, che ha stimolato un’ampia ricerca mirata alla costruzione e impiego di strumenti ad hoc [108-110]. Nell’ambito oncologico per esempio, dove a volte ci si trova di fronte a decisioni terapeutiche mirate a prolungare di alcuni mesi o addirittura alcune settimane la vita dei pazienti, si prende spesso in considerazione anche l’aspetto legato all’effetto della terapia sulla HRQoL dei soggetti interessati. Nella pratica clinica, la misurazione della HRQoL può in generale aiutare il clinico nella scelta di strategie terapeutiche più adeguate ai singoli pazienti, mentre, in ambito economico, può aiutare a stabilire le priorità di allocazione delle risorse. La misurazione della QoL nel paziente oncologico è un esercizio utile e informativo, ma comunque di estrema difficoltà: non è semplice, attraverso dei questionari standardizzati permettere una misurazione in termini di indici e profili, catturare la complessità del paziente oncologico, e la ricerca in questo ambito mira a perfezionare gli strumenti di misurazione al fine di migliorarne sempre più l’affidabilità.
Il ruolo degli studi di qualità di vita nell’area oncologica è notevolmente cresciuto negli ultimi vent’anni. Una recente revisione sistematica della letteratura sugli studi di qualità di vita, pubblicata nel 2010 [111] ha evidenziato una certa crescita del numero di pubblicazioni. La crescita annua relativa di pubblicazioni sulla QoL di pazienti oncologici è stata di certo consistente, tuttavia, in termini assoluti, il numero di pubblicazioni in quest’ambito rimane nettamente inferiore rispetto alle pubblicazioni dell’area biomedica. In particolare, c’è una forte predominanza di studi di qualità di vita sul carcinoma mammario, mentre l’incremento degli studi nell’area del carcinoma del colon-retto è la più bassa tra le forme più frequenti di tumore.
Come visto nel capitolo precedente, e nello specifico della malattia metastatica, gli obiettivi clinici principali nella gestione del paziente con CRC dovrebbero essere il miglioramento della sopravvivenza complessiva (OS) e la qualità di vita (QoL). In altri setting, come per esempio nella malattia non operabile, riuscire a ottenere un tasso di risposta adeguato, associato a una riduzione delle metastasi che permetta l’intervento chirurgico, rappresenta l’obiettivo primario. In generale, comunque, la qualità di vita del paziente è considerato un indicatore di esito di notevole impatto. Alcune istituzioni che si occupano di HTA, come NICE (National Institute of Clinical Excellence) e SMC (Scottish Medicine Consortium), forniscono le raccomandazioni sull’impiego di nuove tecnologie alla luce di analisi di costo-utilità, che contemplano la valutazione dei QALY (Quality Adjusted Life Years). Il concetto di qualità di vita, a differenza degli altri outcome impiegati negli studi clinici, è più complesso da spiegare, in prima istanza perché è un outcome soggettivo. In questa sezione s’intende estrarre alcune informazioni basilari sull’andamento della qualità di vita in pazienti affetti da CRC , allo scopo di evidenziare:
La descrizione di questi studi dovrebbe, infine, facilitare la comprensione dei capitoli successivi, che impiegano la qualità di vita quale indicatore di performance di una determinata terapia (effetto del trattamento sulla QoL).
Qualità di vita nei soggetti affetti da CRC
Gli studi di qualità di vita nel carcinoma del colon-retto sono stati realizzati con l’intento di valutare l’andamento della funzionalità fisica, sociale, psicologica, sia nelle fasi di progressione della malattia, in concomitanza del trattamento farmacologico, sia nella fase di lungo-sopravvivenza (studi in soggetti con tempo alla diagnosi > 5, > 10, > 15 anni).

Figura 9. Differenze medie rispetto al baseline per i punteggi FCSI (A) e EQ-5D (A) nella popolazione wild-type [117]
In uno studio condotto da Gall et al. [112], 338 pazienti affetti da carcinoma del colon sono stati valutati prospettivamente per un periodo di due anni dall’arruolamento. In generale è stato osservato un peggioramento della qualità di vita (componente fisica) soltanto nel periodo concomitante al trattamento farmacologico. I punteggi di qualità di vita tendono a stabilizzarsi, e a essere confrontabili con quelli della popolazione generale, intorno a un anno dall’inizio del trattamento. Questi risultati sono in linea con quelli trovati da Kopp et al. [113], che hanno valutato la qualità di vita di soggetti affetti da CRC, stato ASA III/IV, sottoposti a intervento chirurgico e inclusi in studi clinici randomizzati o osservati in studi di coorte, rispetto a una popolazione di controllo. In questo studio la qualità di vita è stata valutata mediante i questionari European Organisation for the Research and Treatment of Cancer (EORTC) QLQ-C30 e CR38, questionari specifici per le patologie oncologiche. Le maggiori differenze rispetto alla popolazione generale sono state osservate nel periodo di dimissione ospedaliera. A sei mesi dall’intervento, la qualità di vita complessiva e i livelli di dolore percepito sono risultati in linea con quelli della popolazione generale, mentre la funzionalità fisica, sociale, e i livelli di fatica, seppur migliorati rispetto al periodo di permanenza in ospedale, sono rimasti inferiori rispetto a quelli del gruppo di controllo. Risultati simili sono stati riportati, da altri Autori, quali Arndt [114] e Ramsey [115].
Una recente revisione sistematica condotta da Jansen et al. [116] ha valutato l’evidenza maturata negli ultimi due decenni sulla qualità di vita pazienti lungo-sopravviventi (> 5 anni dalla diagnosi). I risultati della revisione mostrano che in generale, la qualità di vita dei pazienti lungo-sopravviventi è complessivamente accettabile/buona, nonostante ci sia una leggera compromissione legata alla componente fisica, alla depressione e allo stress derivanti dalla malattia. Il risultato principale derivante dall’analisi dell’evidenza sui pazienti con CRC è che, in condizioni di malattia stabile (assenza di progressione), la qualità di vita, seppur parzialmente compromessa, rimane accettabile. Risulta assai più gravoso l’impatto della qualità di vita in caso di progressione della malattia e di trattamento farmacologico intenso. Per queste ragioni, diversi studi clinici nei pazienti con CRC metastatico hanno valutato, accanto agli end point clinici, l’impatto sulla qualità di vita dell’impiego della chemioterapia e dei nuovi farmaci biologici.
Negli studi condotti su panitumumab [117], in prima linea (in associazione con FOLFOX) e in seconda linea (in associazione con FOLFIRI), sono stati impiegati i questionari EuroQoL-5 Dimensions Health State Index (EQ-5D HSI) e la Scala Analogico Visuale (EQ-5D VAS), per misurare l’impatto sulla qualità di vita dei pazienti con CRC. Sia nel trial in prima linea (n = 576), che in quello di seconda linea (n = 530), non si è verificata una differenza della variazione della QoL rispetto al baseline tra i gruppi di trattamento. In definitiva, l’aggiunta di panitumumab alla chemioterapia non ha modificato la qualità della vita dei pazienti, rispetto al trattamento di controllo.
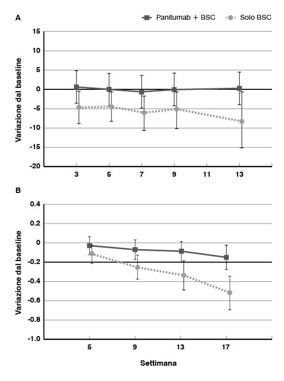
In uno studio di fase III [118], che ha confrontato panitumumab + BSC (migliore terapia di supporto) vs BSC in pazienti con CRC metastatico, refrattario alla chemioterapia, (KRAS wild-type e mutato), è stato evidenziato un miglioramento della qualità di vita nei soggetti trattati con panitumumab. La valutazione della qualità di vita è stata effettuata impiegando i questionari NCCN/FACT CRC Symptom Index (FCSI) ed EQ-5D Index. I risultati principali dell’analisi condotta su 363 pazienti KRAS wild-type, sono mostrati nella Figura 9.
Per i punteggi FCSI, la differenza media tra i trattamenti, durante l’intero periodo di trattamento, è stata favorevole a panitumumab + BSC, e pari a 3,60 (IC95%: 0,90-6,30) nella popolazione complessiva, e 5,62 (IC95%: 2,38-8,86) nei pazienti KRAS wild-type. Per quanto riguarda la valutazione EQ-5D, la differenza media è stata pari a 0,17 (IC95%: 0,09-0,25) nella popolazione complessiva, e 0,22 (IC95%: 0,12-0,32) nei pazienti KRAS wild-type.
Uno studio clinico di fase III, che ha randomizzato pazienti affetti da CRC metastatico di prima linea al trattamento con 5-FU + irinotecan + leucovorina (IFL) in combinazione o non con bevacizumab, ha valutato gli esiti clinici e la qualità di vita attraverso il time to deterioration [119]. Il deterioramento, o peggioramento della QoL, è stato definito in termini di riduzione dei punteggi ai seguenti questionari:

Figura 10. Tempo al deterioramento della QoL
Lo studio ha dimostrato, sulla popolazione valutabile nel trial clinico di fase III, (IFL, n = 127; IFL + bevacizumab, n = 122), che l’aggiunta di bevacizumab al regime chemioterapico ha migliorato la sopravvivenza globale, non modificando, nel complesso, il tempo al deterioramento della QoL in nessuna delle scale impiegate (Figura 10; p > 0,05 per tutti i confronti, log-rank test).
In uno studio clinico di fase III che ha confrontato i regimi XELOX (n = 156) vs FOLFOX-6 (n = 150) nel trattamento del CRC metastatico di prima linea, per un periodo di 6 mesi, sono stati raccolti dei dati sulla qualità di vita [120], utilizzando due diversi questionari: Quality of Life Questionnaire-C30 (QLQ-C30) e Functional Assessment of Chronic Illness Therapy Chemotherapy Convenience and Satisfaction Questionnaire (FACIT-CCSQ). Lo studio ha dimostrato una sostanziale sovrapponibilità tra l’impatto della qualità di vita delle due terapie a confronto. Nel complesso, l’impatto di entrambe le chemioterapie sulla qualità di vita è stato modesto. In questa sezione, tuttavia, sembra interessante mostrare, a titolo d’esempio, una selezione di punteggi medi al baseline dei pazienti nel gruppo XELOX, allo scopo di quantificare l’impatto della malattia, e non del trattamento, sulla qualità di vita. Il questionario QLQ-C30 è costituito da 5 scale funzionali (componenti fisica, role, cognitiva, emozionale, sociale) e 9 scale relative ai sintomi (fatica, nausea, vomito, dolore, dispnea, disturbi del sonno, costipazione, diarrea, difficoltà finanziarie). Ciascuna delle scale può assumere valori da 0 a 100, con punteggi elevati che indicano un minor impatto sulla qualità di vita. La Figura 11 mostra una selezione di componenti che sono significativamente compromesse dalla malattia.
I punteggi medi, per lo stesso gruppo, alle scali funzionali, erano compresi nell’intervallo tra 68,8 (componente emozionale) e 83,7 (funzionalità cognitiva).

Figura 11. Punteggi medi delle componenti della QoL più impattate: gruppo FOLFOX al baseline

Figura 12. Punteggi al questionario Skindex-29
Nonostante diversi studi sulla qualità di vita abbiano dimostrato che l’impatto delle terapie con inibitori EGFR sulla qualità di vita sia moderato, e in taluni casi, favorevole, alcuni eventi avversi tipicamente associati a questi trattamenti possono avere un impatto negativo. Un esempio tipico è fornito dalle reazioni cutanee associate a questi trattamenti. Uno studio condotto in Italia [121] ha valutato l’impatto sulla qualità di vita di 45 soggetti, con carcinoma del colon e con reazioni cutanee insorte a seguito di trattamento con terapie con inibitori EGFR. La misurazione dell’impatto è stata effettuata con la versione italiana del questionario Skindex-29, che valuta tre diverse dimensioni: sintomi dell’evento avverso, funzionalità fisica, e stato emozionale causato dall’evento avverso. I punteggi dello Skindex-29 sono normalizzati da 0 (nessun impatto sulla QoL) a 100 (peggior impatto sulla QoL). La Figura 12 riporta i punteggi medi per il campione di 45 pazienti, per ciascuna delle componenti analizzate.
In generale, un peggioramento della qualità di vita (punteggi Skindex maggiori) è stato registrato nelle donne e nei casi di eventi avversi di grado severo. Per fornire un termine di paragone, un punteggio di circa 40 nella componente sintomi è riscontrato in pazienti con psoriasi, e un punteggio 30 nella componente stato emozionale è riscontrato nei pazienti a cui è diagnostica per la prima volta una micosi fungoide.
Impatto dei fattori di rischio sulla QoL nel carcinoma del colon-retto
L’analisi e determinazione dei fattori che hanno maggiore impatto sulla qualità di vita consente di predire, in generale, l’effetto di un intervento sanitario sulla funzionalità fisica, cognitiva, sociale ed emotiva di un individuo. In un recente studio, pubblicato nel 2011 [122], sono stati impiegati dei modelli di regressione multivariata per valutare l’effetto di fattori di rischio, modificabili e non, nel predire la qualità di vita di soggetti affetti da CRC. La Tabella VI illustra i risultati del modello di regressione definitivo. Tra i fattori di rischio non modificabili, il sesso femminile, la presenza di comorbidità e la presenza di metastasi alla diagnosi sono stati riconosciuti predittori significativi di riduzione della QoL, misurata attraverso il questionario EORTC-QLQ-C30, scala globale di qualità di vita. Tuttavia, soltanto l’inserimento di alcune variabili riguardanti fattori e sintomi modificabili, quali ruolo sociale, funzionalità sociale, fatica, dipsnea, anoressia, depressione e generale pessimismo sul futuro, ha permesso di ottenere un modello in grado di spiegare un’adeguata parte della variabilità statistica (R2 = 0,574). Lo studio, in definitiva, mostra che la qualità di vita è fortemente associata alla percezione della gravità dei sintomi derivanti dalla malattia stessa o dai trattamenti terapeutici impiegati, mentre l’impatto dei fattori non modificabili sembra essere meno rilevante.
|
Variabile |
Coefficiente standardizzato beta |
B |
Valore p |
|
Presenza di metastasi alla diagnosi |
-0,065 |
-3,574 |
0,036 |
|
Numero di comorbidità |
-0,085 |
-1,483 |
0,006 |
|
Sesso (femminile) |
-0,119 |
-5,214 |
< 0,001 |
|
Ruolo funzionale |
-0,267 |
-7,255 |
< 0,001 |
|
Depressione |
-0,215 |
-12,460 |
< 0,001 |
|
Perdita d’appetito |
-0,192 |
-9,162 |
< 0,001 |
|
Fatica |
-0,115 |
-6,214 |
0,001 |
|
Funzionalità sociale |
-0,120 |
-3,352 |
0,003 |
|
Dispnea |
-0,108 |
-4,962 |
0,001 |
|
Conseguenze della malattia |
-0,085 |
-2,158 |
0,013 |
Tabella VI. Analisi multivariata dei fattori che impattano sulla QoL dei pazienti con CRC
Valutazione della QoL nel carcinoma del colon-retto
Una questione di rilevante importanza per il decisore, è la determinazione della capacità dei questionari e indicatori di qualità di vita, di stimare, o meglio predire, hard outcome quali il tempo alla progressione della malattia, la sopravvivenza gloabale, il rischio di morte. Ovviamente, stabilire una relazione tra un outcome di qualità di vita e un end point finale, aumenterebbe in maniera significativa il livello d’attenzione del mondo delle politiche sanitarie nei confronti di questi parametri. Nello specifico del carcinoma metastatico, sono state condotte alcune valutazioni, i cui risultati, comunque, non consentono un’interpretazione sempre coerente. Un recente studio, pubblicato nel 2011 [123], ha valutato 396 soggetti con CRC, stadio III o IV, per un periodo minimo di 3 mesi. La QoL di vita di questi pazienti è stata valutata al baseline e a 3 mesi con il questioanrio EORTC QLQ-C30, aggiustando l’effetto della variazione della QoL per i fattori confondenti: età, sesso, stadiazione alla diagnosi. Vengono sotto elencati i risultati principali dello studio.
Mentre i primi due risultati forniscono un’evidenza in linea con l’atteso, risulta invece difficilmente spiegabile l’associazione tra miglioramento del ruolo sociale e la diminuzione della sopravvivenza. Per questo motivo, gli stessi Autori definiscono i risultati dello studio preliminari.
Una revisione sistematica condotta da Montazeri et al. nel 2009 [124] ha esaminato 104 articoli che hanno studiato, nell’ultimo ventennio circa, la relazione tra qualità di vita e sopravvivenza globale in pazienti affetti da tumore. Secondo l’Autore “a parte poche eccezioni, l’evidenza dimostra che i domini funzionali (fisico, sociale, emotivo, etc.) e dei sintomi (fatica, dolore, perdita d’appetito) impiegati nei questionari di QoL sono degli importanti predittori, individualmente o in combinazione tra loro, di sopravvivenza globale, una volta perfezionato l’aggiustamento per fattori demografici e prognostici”.
Nello specifico del carcinoma del colon-retto, l’Autore menziona 3 studi che sono focalizzati su questo tumore. Il primo è uno studio del 2002 [125] che ha mostrato che l’inclusione dei punteggi relativi a sintomi di diarrea, disturbi dell’alimentazione, astenia, capacità lavorativa, e qualità del riposo, permetteve di predire in maniera robusta l’OS, il secondo è un’analisi derivante dall’esame di 4 differenti trial clinici che avevano arruolato 501 pazienti affetti da CRC [126] e che ha mostrato che la sopravvivenza a 1 anno è stata pari, mediamente, al 72,5% tra i soggetti con QoL globale al di sopra del valore mediano, e del 38,3% nel gruppo di pazienti con QoL globale al di sotto del valore mediano). Infine uno studio del 2008, che ha coinvolto 546 pazienti con CRC avanzato in 10 paesi [127], ha dimostrato che una riduzione di 10 punti dello score di funzionalità sociale EORTC QLQ-C30 determinava un 6% di aumento di rischio di morte prematura.
Impatto economico e sociale della malattia
Premessa
L’impatto economico e sociale dei tumori è cresciuto molto negli ultimi decenni, principalmente a causa dell’aumento dell’incidenza dei nuovi casi, dell’aumento dell’aspettativa di vita dei pazienti, e dall’aumento dei costi di trattamento. Per circa cinquant’anni il 5-fluorouracile è stato il farmaco chemioterapico di riferimento per il trattamento del carcinoma del colon-retto. Nell’ultimo decennio, sono stati introdotti nuovi agenti chemioterapici (raltitrexed, irinotecan e oxaliplatino), insieme a capecitabina e a tegafur. Infine, circa 5 anni fa i primi agenti biologici (cetuximab e bevacizumab) sono stati approvati per questa indicazione. Le implicazioni economiche dell’avvento degli agenti biologici sono sostanziali. In particolare l’avvento dei farmaci immunoterapici ha innalzato notevolmente i costi di trattamento. Pertanto si è resa necessaria una valutazione accurata del profilo di costo-efficacia di queste nuove terapie. Gli studi in quest’ambito suggeriscono che l’aggiunta dei farmaci biologici (e di capecitabina) ai regimi chemioterapici è generalmente costo-efficace [128]. Comunque, queste valutazioni devono essere sempre adattate alle realtà locali.
Valutazioni piuttosto recenti (2009) [129] stimano che il costo dei 12,9 milioni di casi di tumore nel 2009 è pari a circa US$ 286 miliardi. La maggior parte dei costi sono sostenuti nei paesi con reddito medio elevato (circa 94% dei costi diretti e indiretti per perdita di produttività). La Figura 13 mostra la ripartizione dei costi per i casi incidenti nel 2009.
Se a questa stima sono aggiunti gli investimenti complessivi in ricerca, nell’anno 2009, pari a US$ 19 miliardi, l’impatto complessivo per i soli soggetti incidenti supera il tetto di US$ 300 miliardi. La Figura 14 illustra i costi complessivi (anno 2009) per i pazienti incidenti nel 2009, per tipo di tumore. Il CRC rappresenta la seconda voce di costo tra i tumori, preceduto soltanto dai tumori del polmone.

Figura 13. Distribuzione dei costi legati a tumore nel 2009 (US$ milioni)

Figura 14. Costi per tipo di tumore (anno 2009, casi incidenti)
Un recente studio, pubblicato nel 2011 [130], ha stimato i costi per la gestione dei tumori nel periodo 2010-2020. I dati proiettati di prevalenza, incidenza e sopravvivenza sono stati stimati attraverso il programma SEER (Surveillance, Epidemiology, and End Results). I costi dei casi sono stati ricavati dal database SEER-Medicare, che ha valutato l’impatto economico dei pazienti con età ≥ 65 e diagnosi di tumore. Lo studio ha anche previsto la presenza di una coorte ipotetica di controllo, allo scopo di stimare l’accesso di costi attribuibili a CRC. La robustezza delle stime è stata valutata attraverso un’analisi di sensibilità.

Figura 15. Perdita di produttività lifetime, per tumore, nell’anno 2010 negli US: prime cinque cause
Assumendo una crescita costante dell’incidenza, della sopravvivenza e dei costi, il numero di soggetti sopravviventi aumenterebbe da 13,8 milioni del 2010 a 18,1 milioni nel 2020. Parallelamente i costi diretti sostenuti negli US aumenterebbero da US$ 124,6 miliardi a US$ 157,8 miliardi (aumento del +27%). Le proiezioni effettuate assumendo un trend di diminuzione dell’incidenza e di aumento della sopravvivenza hanno avuto un effetto limitato sulla stima dei costi nel 2020. L’analisi è invece risultata più sensibile all’aumento dei costi di cura: se i costi aumentassero di solo il 2% durante l’anno di diagnosi e nell’ultimo anno di vita, i costi totali nel 2020 si aggirerebbero intorno a US$ 173 miliardi, pari a un aumento del +39% rispetto alle stime del 2010.
Le patologie tumorali costituiscono una rilevante causa di perdita di produttività dovuta a mortalità, in prima battuta, e a morbidità. Bradley et al. [131] hanno costruito un modello di stima dell’impatto economico della perdita di produttività associata alla mortalità per patologie oncologiche + costi di caregiving informale (assistenza spontanea, non remunerata, generalmente fornita da familiare), nel periodo 2000-2020, utilizzando l’approccio del capitale umano (moltiplicando cioè, il numero di giornate di lavoro perdute a causa del decesso precoce, per il valore retributivo medio di una giornata di lavoro). I dati utilizzati per realizzare il modello sono provenuti da diverse fonti (registri di patologia, dati statistici sul costo del lavoro, database dei certificati di decesso, statistiche sul caregiving informale, ecc.). I costi per perdita di produttività dovuta a mortalità da cancro sono stati pari a circa US$ 115,8 miliardi nell’anno 2000. Le proiezioni per il 2020 prevedono un incremento dei costi sino a US$ 147,6 miliardi. Se a questi costi è aggiunta la valorizzazione del costo per il caregiving informale, le stime per il 2000 e il 2020 sono rispettivamente US$ 232,4 e US$ 308,0 miliardi. La Figura 15 evidenzia le cinque patologie tumorali con il più alto impatto in termini di perdita di produttività lifetime nel 2010. Il CRC è al secondo posto di questa classifica, rappresentando il 9% circa del totale dei costi indiretti, con quasi 68 mila decessi nel 2010 e una perdita di produttività per decesso pari a US$ 188.468. In altre parole, un soggetto deceduto nel 2010 per carcinoma colorettale avrebbe prodotto ricchezza per US$ 188.468 se avesse continuato a vivere in buona salute, con un’aspettativa di vita simile a quella della popolazione generale.
Studi internazionali sul costo (burden) del carcinoma del colon-retto
In questa sezione sono stati riportati alcuni esempi di studi internazionali che hanno descritto il carico economico del CRC. L’approccio seguito nel presente HTA non è sistematico, nel senso che non è stata introdotta la totalità delle evidenze prodotte sull’argomento in un dato periodo. Si è preferito, piuttosto, valutare nel dettaglio alcuni studi di recente pubblicazione che hanno stimato accuratamente i costi della malattia.

Figura 16. Costi mensili medi attribuibili al CRC (confronto casi vs controlli)
Lo studio condotto da Song et al. [132] e pubblicato nel 2011 ha valutato i costi diretti totali, attribuibili a CRC metastatico, utilizzando le banche dati amministrative degli US. In particolare è stato utilizzato il metodo dei costi attribuibili (cost excess), confrontando i costi generati dalla coorte di pazienti affetti da CRC rispetto a quelli di una coorte di controllo, appaiati per sesso ed età, nel periodo 2004-2009.
La base dei dati era costituita da 6.746 pazienti affetti da CRC e da 6.675 controlli. La Figura 16 illustra la differenza di costo tra i due gruppi. Come atteso, il costo mensile medio per paziente affetto da CRC è stato significativamente più elevato rispetto a quello dei controlli (p < 0,001 per tutti i confronti).
La gestione del paziente oncologico prevede un carico d’assistenza molto elevato. Molto spesso sono i familiari e i parenti più vicini a offrire assistenza al malato, e questo implica un impegno notevole da parte del caregiver. Ovviamente, sebbene informale, questa tipologia di assistenza ha un costo misurabile in tempo impiegato dal caregiver a fornire assistenza, tempo che può essere sottratto ad altre attività produttive, e che, come tale deve essere valorizzato da un punto di vista economico.
Due studi condotti piuttosto recentemente negli Stati Uniti [133,134] hanno valorizzato i costi dell’assistenza (caregiving) informale in diverse patologie tumorali, compreso il carcinoma del colon-retto. Nello studio di Yabroff et al. [133], sono stati raccolti, attraverso una survey, i dati di carico dei caregivers di pazienti affetti da differenti tipi di tumore, incidenti nel periodo 2003-2006, nei due anni successivi alla diagnosi. I caregiver riportavano la durata e la frequenza d’assistenza. Per l’analisi di base è stato utilizzato il costo mediano di un’ora di lavoro negli US nel 2006, pari a US$ 16,78. Alcune analisi di sensitività sono state eseguite per testare la robustezza della stima. Mediamente, i caregiver hanno riportato un carico giornaliero di 8,3 ore per 13,7 mesi (sui 24 di osservazione). Il carico di assistenza è stato maggiore nei pazienti con malattia diffusa/avanzata/metastatica, rispetto ai pazienti con malattia localizzata (p < 0,05). È stata anche una certa variabilità dei costi in funzione del sesso del caregiver, del rapporto di parentela, del tipo di tumore e dello stadio dello stesso. Nei due anni successivi alla diagnosi, il valore medio dell’assistenza informale a un paziente affetto da CRC è stato pari a US$ 45.699.

Figura 17. Valore del caregiving informale nei 2 anni successivi alla diagnosi
Nel secondo studio, condotto da Van Houtven et al. e pubblicato nel 2010 [134] sono stati raccolti, attraverso una survey, i dati di carico d’assistenza, opportunamente valorizzati, di una coorte di soggetti affetti da carcinoma del colon-retto e tumore al polmone, analizzando le possibili differenze dovute al tipo di tumore, fase della malattia, stadiazione alla diagnosi, età del paziente e grado di parentela.
La classificazione in base alla fase della malattia è stata realizzata come descritto di seguito.
Complessivamente, 1.629 caregivers hanno partecipato alla survey (663 nella fase iniziale della malattia, 822 nella fase successiva, 144 nella fase terminale). Le analisi multivariate hanno evidenziato un carico economico superiore nei:
La Figura 18, infine, riporta le differenze del carico del caregiver per fase della malattia. I caregiver dei pazienti nella fase successiva sembrano determinare un carico economico maggiore, ma bisogna precisare che i costi nella fase terminale si riferiscono soltanto agli ultimi 6 mesi (rispetto ai costi annuali negli altri due gruppi).
Diversi paesi europei hanno valutato l’impatto economico del CRC, utilizzando differenti fonti di dati e approcci metodologici. Uno studio condotto in Francia ha valutato i costi del CRC in funzione di età, sesso, livello di comorbidità (misurato con il Charlson index), pattern di trattamento, localizzazione del tumore e stadiazione del tumore [135]. 384 soggetti a cui è stato diagnosticato il CRC nel 2004 (casi incidenti), sono stati seguiti nei 12 mesi successivi alla diagnosi. Il costo nei primi 12 mesi di gestione è stato pari a € 24.966. Soltanto il livello di stadiazione del tumore ha avuto un effetto nel predire i costi diretti nel primo anno di gestione del CRC. I costi sono aumentati significativamente, passando da € 17.596 per lo stadio I a € 35.059 per lo stadio IV (aumento relativo: +99%). I costi per i ricoveri ospedalieri sono stati il driver di costo (55,2% della spesa totale), seguiti dai costi per la terapia (24,4%), per le visite specialistiche e ambulatoriali (17,8%) e per il trasporto (2,5%).

Figura 18. Carico economico dei caregiver, stratificato per fase della malattia

Figura 19. Costi lifetime medi (popolazione complessiva e sottogruppi) di pazienti affetti da CRC
Tilson et al. hanno costruito un modello di stima dei costi medi lifetime (ossia per il periodo dalla diagnosi al decesso) per un paziente affetto da CRC in Irlanda nel 2008 [136]. Questo modello decisionale utilizzando dati di input provenienti dal National Cancer Registry Ireland, un registro che ha valutato 1.498 soggetti a cui è stato diagnosticato il CRC nel biennio 2004-2005) e di tre altri database ospedalieri (per un totale di altri 343 casi diagnosticati nel 2007). I percorsi di trattamento definiti del modello decisionale sono stati costruiti sulla base delle indicazioni delle linee guida, e validati da un expert panel. I costi unitari impiegati sono stati ricavati dalle fonti nazionali e, laddove non recuperabili, stimati attraverso revisione della letteratura ed expert opinion. La Figura 19 riporta i costi lifetime medi e per diverse categorie di soggetti. Lo stadio della patologia alla diagnosi, la localizzazione del tumore (colon vs retto) e l’impiego di una terapia biologica, hanno avuto un effetto sui costi complessivi di gestione del CRC. I soggetti con i costi più alti sono stati quelli con stadio III di CRC.
Un altro studio, condotto nei Paesi Bassi e pubblicato nel 2011 [137] ha stimato i costi degli eventi avversi attribuibili all’impiego delle nuove terapie immunoterapiche indicate nel CRC metastatico e che hanno causato un ricovero ospedaliero: cetuximab, bevacizumab e panitumumab (eventi avversi specificati nello European Medicinal Agency Summary of Product Characteristics). Utilizzando il database PHARMO sono stati individuati i soggetti con diagnosi di CRC metastatico, in trattamento con uno dei tre farmaci in studio, i quali sono stati seguiti fino alla fine del periodo di osservazione o al decesso (quale dei due eventi è avvenuto per primo). In una coorte di 2.964 pazienti individuati nel periodo 2000-2008, sono occorsi 271 eventi in 210 pazienti. La Figura 20 evidenzia la durata media della degenza ospedaliera dei ricoveri più lunghi. Mediamente i ricoveri più costosi sono stati quelli per ictus (€ 13.500), tromboembolismo arterioso (€ 13.300) e complicanze per piaghe da decubito (€ 10.800).

Figura 20. Durata della degenza ospedaliera per i più comuni ricoveri per eventi avversi
Studi italiani sul costo (burden) del carcinoma del colon-retto
Dall’analisi della letteratura non sono stati individuati degli studi recenti di cost of illness nel CRC. Nel 2010, tuttavia, è stata pubblicata un’analisi di costo di capecitabina rispetto a 5-FU nel trattamento di pazienti con CRC [138]. L’indagine multicentrica retrospettiva aveva l’obiettivo di valutare il costo associato ai due agenti chemioterapici in Italia. I pazienti arruolati (n = 231) sono stati osservati per un periodo massimo di 6 mesi. I costi totali diretti per mese di trattamento sono stati pari a € 1.022 (± 435) nel gruppo 5-FU e di € 3.173 (± 1.232) nel gruppo capecitabina. Nel 2008 è stato pubblicato uno studio sui costi di gestione di pazienti in trattamento con chemioterapia infusionale a base di 5-FU o capecitabina [139]. Si tratta pertanto di un’analisi parziale, che non descrive, nella generalità, i costi sanitari diretti di gestione dei pazienti con CRC. Lo studio è un’analisi retrospettiva dei costi delle due coorti sopra menzionate, utilizzando le prospettive del Servizio Sanitario Nazionale e dell’ospedale. Nell’analisi sono stati inclusi 202 soggetti. I pazienti in terapia con capecitabina (n = 66) erano più anziani, con un livello di comorbidità maggiore e un’intensità di trattamento inferiore, rispetto ai pazienti in trattamento con 5-FU Applicando la prospettiva del SSN, i costi totali medi per paziente, nell’anno di osservazione, sono stati pari a € 12.029 e € 5.781 nei gruppo di trattamento con capecitabina e 5-FU, rispettivamente. Adottando la prospettiva dell’ospedale, i costi medi sono stati pari a € 7.338 nel gruppo capecitabina e € 4.688 nel gruppo 5-FU.
Valutazione dell’efficacia e sicurezza della tecnologia (e delle tecnologie alternative)
Studi clinici randomizzati: valutazioni di efficacia e sicurezza
Lo studio CRYSTAL [140,141] è un trial clinico randomizzato di fase III, disegnato per valutare l’efficacia e la tollerabilità di cetuximab + FOLFIRI (associazione di irinotecan, FU e leucovorina) vs un regime chemioterapico standard a base di FOLFIRI, nel trattamento di prima linea di pazienti con carcinoma metastatico del colon-retto in pazienti positivi al fattore di crescita EGFR. Nello studio i pazienti sono stati assegnati, secondo un rapporto di randomizzazione 1:1, a cetuximab + FOLFIRI (n = 599) o a FOLFIRI (n = 599). La Tabella VII illustra gli schemi di trattamento nei due gruppi.
|
Cetuximab + FOLFIRI |
FOLFIRI |
|
Cetuximab: prima infusione di 400 mg/m2 (di 120 min), seguita da infusioni successive di 250 mg/m2 (di 60 min), ogni settimana sino a progressione della malattia |
- |
|
Infusione di FOLFIRI (come descritto per il braccio di confronto con solo FOLFIRI) |
Ogni 14 giorni e sino a progressione della malattia:
|
Tabella VII. Schemi di trattamento dello studio CRYSTAL
L’end point primario dello studio è stato il tempo alla progressione della malattia (PFS), misurato in termini di numero di giorni trascorsi dalla randomizzazione alla progressione del tumore o alla morte per ogni causa (entro i sessanta giorni successivi alla più recente visita di valutazione o alla randomizzazione). Nello studio sono stati valutati i seguenti end point secondari: sopravvivenza complessiva (OS), tasso di risposta completa e/o parziale e incidenza di eventi avversi.
La Tabella VIII mostra i risultati dello studio sulla popolazione complessiva (analisi primaria). Lo studio ha raggiunto l’obiettivo principale e i secondari in maniera statisticamente significativa. Il tempo mediano di PFS è stato pari a 8,9 mesi nel gruppo cetuximab + FOLFIRI e a 8,0 mesi nel gruppo in terapia con FOLFIRI (adjusted hazard ratio per cetuximab + FOLFIRI = 0,85; IC95%: 0,72-0,99; p = 0,048). Il tempo mediano di OS è stato di 19,9 mesi nel gruppo cetuximab + FOLFIRI e di 18,6 mesi nel gruppo in terapia con FOLFIRI (HR = 0,878, p = 0,0419) [141] che ha evidenziato, anche per questo parametro di efficacia, la superiorità statistica di cetuximab + FOLFIRI rispetto al solo FOLFIRI nell’intera popolazione reclutata nel trial clinico.
|
End point |
Cetuximab + FOLFIRI (n = 599) |
FOLFIRI (n = 599) |
HR (IC95%) |
p |
|
PFS |
||||
|
Pz con progressione (n.) |
298 |
322 |
0,851 (0,726-0,998) |
0,0479 |
|
Mediana di PFS (mesi) |
8,9 |
8,0 |
||
|
OS |
||||
|
Pz di pazienti deceduti (n.) |
487 |
502 |
0,878 (0,774-0,995) |
0,0419 |
|
Mediana di sopravvivenza (mesi) |
19,9 |
18,6 |
||
|
Tasso di risposta |
||||
|
Completa (%) |
0,5 |
0,3 |
- |
- |
|
Parziale (%) |
46,4 |
38,4 |
||
|
Pz con malattia stabile (%) |
37,4 |
46,7 |
||
|
Tasso di risposta complessivo |
||||
|
% |
46,9 |
38,7 |
1,403 (1,115-1,766) |
0,0038 |
|
(IC95%) |
42,9-51,0 |
34,8-42,8 |
Tabella VIII. Risultati di efficacia nell’analisi primaria dello studio CRYSTAL [141]
|
End point |
Cetuximab + FOLFIRI (n = 316) |
FOLFIRI (n = 350) |
HR (IC95%) |
p |
|
PFS |
||||
|
Pz con progressione (n.) |
146 |
189 |
0,696 (0,558-0,867) |
0,0012 |
|
Mediana di PFS (mesi) |
9,9 |
8,4 |
||
|
OS |
||||
|
Pz di pazienti deceduti (n.) |
242 |
288 |
0,796 (0,670-0,946) |
0,0093 |
|
Mediana di sopravvivenza (mesi) |
23,5 |
20,0 |
- |
- |
|
Tasso di risposta |
||||
|
Completa (%) |
0,9 |
|||
|
Parziale (%) |
56,3 |
39,7 |
||
|
Pz con malattia stabile (%) |
31,6 |
46,3 |
||
|
Tasso di risposta complessivo |
||||
|
% |
57,3 |
39,7 |
2,069 (1,515-2,826) |
< 0,001 |
|
(IC95%) |
51,6-62,8 |
34,6-45,1 |
Tabella IX. Risultati di efficacia nell’analisi retrospettiva dello studio CRYSTAL [141]

Figura 21. Risultati dell’analisi di sopravvivenza nell’update dello studio CRYSTAL per un periodo di follow-up di 54 mesi circa (A) e in funzione dello status del KRAS (B) [141]
Un altro vantaggio associato all’impiego di cetuximab nella popolazione globale, è stato l’aumento dei pazienti portati a resezione della malattia metastatica, rispetto ai pazienti trattati con solo FOLFIRI (7,0% vs 3,7%, rispettivamente). A seguito di numerose e forti evidenze scientifiche [68] lo studio ha analizzato retrospettivamente l’efficacia dell’associazione sperimentale rispetto allo standard, in base allo stato del gene KRAS (stato non mutato altresì detto selvatico wild-type o stato mutato per mutazione sul codone 12 o 13) in questi pazienti. L’analisi retrospettiva è stata realizzata in un campione di 1.063 pazienti, per cui è stato possibile eseguire l’analisi dello stato del gene KRAS. In questo sottogruppo, 666 pazienti (63%) hanno presentato un tumore KRAS wild-type (gene KRAS nello stato selvatico cioè non mutato), mentre i restanti 397 pazienti (37%) presentavano un tumore con gene KRAS mutato. La Tabella IX mostra i risultati dell’analisi retrospettiva.
Nella Figura 21, infine, sono illustrate le curve di Kaplan-Meier per la stima della OS con un periodo di follow-up di 54 mesi circa ed in funzione dello status del KRAS.
I risultati confermano, nella popolazione KRAS wild-type, una superiore efficacia di cetuximab + FOLFIRI vs il solo FOLFIRI, in termini di progressione libera di malattia, sopravvivenza complessiva e tassi di risposta. Tale vantaggio non si è registrato, per alcun parametro di efficacia, nei pazienti KRAS mutati trattati con FOLFIRI + cetuximab, rispetto ai pazienti KRAS mutati trattati con il solo FOLFIRI. Pertanto, la valutazione retrospettiva ha dimostrato l’importanza della valutazione del biomarker KRAS nel predire l’efficacia della combinazione cetuximab + FOLFIRI nel trattamento di prima linea del CRC metastatico.
I risultati clinici dei pazienti KRAS wild-type che sono stati ricondotti a chirurgia delle metastasi a seguito del trattamento, sono stati superiori nel gruppo in cui FOLFIRI era associato a cetuximab, rispetto al gruppo in terapia con solo FOLFIRI (7,9% vs 4,6%; OR: 1,823; IC95%: 0,957-3,472; p = 0,0633). Il numero dei pazienti che otteneva una resezione delle metastasi R0 è superiore in modo statisticamente significativo a favore dell’aggiunta del cetuximab (5,1% vs 2,0%; OR: 2,650; IC95%: 1,083-6,490; p = 0,0265). La Tabella X mostra l’incidenza di eventi avversi di grado 3-4. Complessivamente l’incidenza di qualunque evento avverso è stata pari al 79,3% nel gruppo cetuximab + FOLFIRI e del 61,0% nel gruppo FOLFIRI (p < 0,003). In generale, l’aggiunta di cetuximab è stata ben tollerata, anche se si è verificato un aumento generalizzato delle reazioni cutanee e delle dermatiti. Non si sono verificati dei decessi attribuibili all’impiego di cetuximab. Anche la valutazione della tossicità in funzione dello status del gene KRAS è risultata paragonabile per i due bracci terapeutici a confronto.
Lo studio OPUS [142] è un trial clinico, randomizzato, in aperto, multicentrico di fase II che ha confrontato l’efficacia e la tollerabilità della combinazione cetuximab + FOLFOX-4 (oxaliplatino + acido folinico + FU) vs un regime di FOLFOX-4, in pazienti con CRC metastatico con espressione positiva del fattore di crescita tumorale EGFR. Un totale di 337 pazienti, sono stati randomizzati a ricevere cetuximab (infusione iniziale di 400 mg/m2 seguita da infusioni settimanali successive di 250 mg/m2) + FOLFOX (oxaliplatino 85 mg/m2 al giorno 1, più leucovorina 200 mg/m2 e FU 400 mg/m2 in bolo, seguito da infusioni di 600 mg/m2 nelle 22 ore dei giorni 1 e 2) oppure FOLFOX non associato (al dosaggio riportato sopra).
L’obiettivo primario dell’analisi è stato di verificare la superiorità in termini di response rate del regime d’associazione cetuximab + FOLFOX-4 rispetto alla sola chemioterapia. Parallelamente, sono stati valutati i seguenti end point secondari: durata della risposta, tempo alla progressione della malattia (PFS), sopravvivenza complessiva (OS), tollerabilità e sicurezza dell’associazione. È stata condotta, come per lo studio CRYSTAL, un’analisi retrospettiva mirata a valutare l’efficacia clinica di cetuximab + FOLFOX-4 in funzione dello status del gene KRAS. La Tabella XI mostra i risultati di efficacia dell’analisi primaria. Nella popolazione complessiva non è stata dimostrata una superiorità di risposta clinica o di tempo mediano alla progressione della malattia, anche se è possibile evidenziare un trend numerico favorevole al gruppo trattato con l’associazione.
Nell’aggiornamento dello studio in funzione dello status del KRAS, che ha coinvolto il 93% della popolazione partecipante allo studio [142], si conferma come i pazienti KRAS wild-type beneficino dell’associazione con cetuximab per tutti i parametri di efficacia, rispetto alla sola chemioterapia. Al contrario, per i pazienti KRAS mutati, non solo non si registra un beneficio bensì c’è un effetto detrimentale nell’aggiunta del cetuximab al FOLFOX-4, per cui è sconsigliata la combinazione con l’anti-EGFR per questa tipologia di pazienti [1].
|
End point |
Cetuximab + FOLFIRI (n = 600) (%) |
FOLFIRI (n = 602) (%) |
p |
|
Qualunque evento avverso |
79,3 |
61,0 |
< 0,001 |
|
Neutropenia |
28,2 |
24,6 |
0,16 |
|
Leucopenia |
7,2 |
5,1 |
0,15 |
|
Diarrea |
15,7 |
10,5 |
0,008 |
|
Fatica |
5,3 |
4,7 |
0,59 |
|
Rash |
8,2 |
0,0 |
< 0,001 |
|
Dermatite |
5,3 |
0,0 |
< 0,001 |
|
Vomito |
4,7 |
5,0 |
0,80 |
|
Qualunque reazione cutanea |
19,7 |
0,2 |
< 0,001 |
|
Rash (acne like) |
16,2 |
0,0 |
< 0,001 |
|
Reazione al sito di infusione |
2,5 |
0,0 |
< 0,001 |
Tabella X. Frequenza relativa di eventi avversi nell’analisi primaria dello studio CRYSTAL
|
End point |
Cetuximab + FOLFOX-4 (n = 169) |
FOLFOX-4 (n = 168) |
|
Tasso di risposta |
||
|
Completa (%) |
1 |
1 |
|
Parziale (%) |
44 |
35 |
|
Pz con malattia stabile (%) |
40 |
45 |
|
Pz con progressione della malattia (%) |
11 |
13 |
|
Pz con risposta non accertabile (%) |
4 |
7 |
|
Tasso di risposta complessivo |
||
|
% (IC95%) |
46 (38-53) |
36 (29-44) |
|
OR (IC95%) |
1,516 (0,975-2,355) |
|
|
p (test Cochran-Mantel-Haenszel) |
0,064 |
|
|
Tempo di PFS |
||
|
Mediana, mesi (IC95%) |
7,2 (5,6-7,7) |
7,2 (6,0-7,8) |
|
HR (IC95%) |
0,931 (0,705-1,230) |
|
|
p (log-rank test) |
0,6170 |
|
Tabella XI. Risultati di efficacia nell’analisi primaria dello studio OPUS
L’associazione cetuximab + FOLFOX-4, nei pazienti KRAS wild-type, ha garantito un aumento del tasso di risposta vs FOLFOX-4 statisticamente significativo, più che raddoppiando la probabilità di rispondere al trattamento, come evidenziato dall’OR (57% vs 34%; OR: 2,551; p = 0,0027), così come una riduzione significativa del rischio di progressione della malattia del 43% (PFS mediana: 8,3 vs 7,2 mesi; HR: 0,567, p = 0,0064; cfr Tabella XII). La sopravvivenza, sebbene non statisticamente significativa per la dimensione ridotta della popolazione in studio, è risultata clinicamente significativa, con un vantaggio mediano di circa 4 mesi per i pazienti KRAS wild-type sottoposti a terapia con cetuximab (OS mediana: 22,8 vs 18,5 mesi; HR: 0,855; p = 0,39). La Figura 22 mostra la curva di Kaplan-Meier per la probabilità di sopravvivenza (OS), sempre nella sottopopolazione KRAS wild-type.
|
End point |
Cetuximab + FOLFOX-4 (n = 82) |
FOLFOX-4 (n= 97) |
|
Tasso di risposta |
||
|
Completa (%) |
4 |
1 |
|
Parziale (%) |
54 |
33 |
|
Pz con malattia stabile (%) |
29 |
43 |
|
Pz con progressione della malattia (%) |
6 |
15 |
|
Pz con risposta non accertabile (%) |
6 |
7 |
|
Tasso di risposta complessivo |
||
|
% (IC95%) |
57 (46-68) |
34 (25-44) |
|
OR (IC95%) |
2,551 (1,380-4,717) |
|
|
p (test Cochran-Mantel-Haenszel) |
0,0027 |
|
|
Tempo di PFS |
||
|
Mediana, mesi (IC95%) |
8,3 (7,2-12,0) |
7,2 (5,6-7,4) |
|
HR (IC95%) |
0,567 (0,375-0,856) |
|
|
p (log-rank test) |
0,0064 |
|
|
OS |
||
|
Mediana, mesi (IC95%) |
22,8 (19,3-25,9) |
18,5 (16,4-22,6) |
|
Hazard ratio (IC95%) |
0,855 (0,599-1,219) |
|
|
p (log-rank test) |
0,39 |
|
Tabella XII. Risultati di efficacia nell’analisi secondaria dello studio OPUS: popolazione KRAS wild-type (n = 179) [142]

Figura 22. Curve di Kaplan-Meier per OS nella popolazione KRAS wild-type [142]
Anche nello studio OPUS si è registrato, per i pazienti KRAS wild-type, un vantaggio in % di pazienti ricondotti a chirurgia delle metastasi quando trattati con cetuximab (10/82, 12%) rispetto a chi riceveva il solo FOLFOX-4 (3/97, 3%), p = 0,0242; sebbene la significatività sia dimostrata, questi dati sono da tenere in considerazione con cautela, vista la ridotta dimensione della popolazione. I più comuni eventi avversi (di qualunque grado) sono stati le reazioni cutanee e sottocutanee (90% dei soggetti) e i disturbi gastro-intestinali (78%) nel gruppo cetuximab + FOLFOX-4, e i disturbi gastrointestinali (73%) e la mielotossicità (71%) nel gruppo FOLFOX-4. La Tabella XIII riporta i più frequenti eventi avversi di grado moderato-severo (3-4) occorsi nei due gruppi di trattamento. Il trattamento con cetuximab è stato interrotto nel 23% dei casi, rispetto al 30% d’interruzioni attribuibili a reazioni avverse alla chemioterapia. Le principali cause di interruzione attribuibili a cetuximab sono state l’ipersensibilità al farmaco (4%) e il rash cutaneo. Non è stato registrato alcun decesso attribuibile all’impiego di cetuximab. Anche la valutazione della tossicità in funzione dello status del gene KRAS è risultata paragonabile per i due bracci terapeutici a confronto.
A conclusione degli studi CRYSTAL e OPUS è stata realizzata un’analisi combinata dei due trial clinici [143], con un duplice scopo: confermare il ruolo dello stato della mutazione del gene KRAS nel predire l’efficacia clinica di cetuximab associato a chemioterapia standard e indagare l’efficacia e la risposta clinica di cetuximab in funzione dello stato di mutazione del gene BRAF. I risultati di quest’analisi hanno confermato l’efficacia di cetuximab + chemioterapia nei pazienti con CRC metastatico KRAS wild-type, in termini d’incremento di OS e PFS, rispetto al trattamento standard con solo chemioterapia. La Tabella XIV riporta i risultati delle analisi pooled, nel gruppo complessivo di pazienti KRAS wild-type, e stratificando per stato di mutazione del gene BRAF (wild-type e mutato). Dai risultati non si può affermare che lo stato di mutazione BRAF costituisca un biomarker predittivo dell’efficacia di cetuximab, bensì un predittore di prognosi infausta.
|
End point |
Cetuximab + FOLFOX-4 (n=170) (%) |
FOLFOX-4 (n=168)(%) |
|
Qualunque evento avverso |
76 |
70 |
|
Neutropenia |
30 |
34 |
|
Rash* |
11 |
1 |
|
Diarrea* |
8 |
7 |
|
Leucopenia |
7 |
6 |
|
Trombocitopenia |
4 |
2 |
|
Fatica* |
4 |
3 |
|
Sindrome mano-piede* |
4 |
1 |
|
Neuropatia periferica* |
4 |
7 |
|
Anemia* |
4 |
2 |
|
Qualunque reazione cutanea* |
18 |
1 |
|
Reazioni al sito d’infusione |
5 |
2 |
Tabella XIII. Frequenza relativa di eventi avversi nell’analisi primaria dello studio OPUS
* Nessun evento di grado 4
|
End point |
KRAS wild-type (n = 845) |
KRAS wild-type e BRAF wild-type (n = 730) |
KRAS wild-type e BRAF mutato (n = 70) |
|||
|
CT (n = 447) |
Cetuximab + CT (n = 398) |
CT (n = 381) |
Cetuximab + CT (n = 349) |
CT (n = 38) |
Cetuximab + CT (n = 32) |
|
|
OS mediana |
||||||
|
Mesi (IC95%) |
19,5 (17,8-21,1) |
23,5 (20,7-25,7) |
21,1 (19,5-23,6) |
24,8 (22,1-27,0) |
9,9 (5,7-13,6) |
14,1 (8,8-18,5) |
|
HR (IC95%) |
0,81 (0,69-0,94) |
0,84 (0,71-1,00) |
0,62 (0,36-1,06) |
|||
|
p |
0,0062 |
0,0479 |
0,0764 |
|||
|
PFS mediana |
||||||
|
Mesi (IC95%) |
7,6 (7,4-8,4) |
9,6 (8,9-11,3) |
7,7 (7,4-9,0) |
10,9 (9,2-11,9) |
3,7 (2,1-7,9) |
7,1 (3,7-9,1) |
|
HR (IC95%) |
0,66 (0,54-0,80) |
0,64 (0,52-0,79) |
0,67 (0,34-1,29) |
|||
|
p |
< 0,0001 |
< 0,0001 |
0,2301 |
|||
|
Risposta complessiva |
||||||
|
% |
38,5 |
57,3 |
40,9 |
60,7 |
13,2 |
21,9 |
|
OR (IC95%) |
2,16 (1,64-2,86) |
2,27 (1,68-3,07) |
1,60 (0,45-5,67) |
|||
|
p |
< 0,0001 |
< 0,0001 |
0,4606 |
|||
Tabella XIV. Risultati di efficacia nell’analisi combinata degli studi CRYSTAL e OPUS
Lo studio COIN è un trial clinico randomizzato [144] che ha valutato l’efficacia d’impiego di cetuximab, in associazione con oxaliplatino + capecitabina (XELOX), oppure oxaliplatino + 5-FU + leucovorina (FOLFOX-4 modificato), rispetto al regime chemioterapico (add-on trial). La scelta di capecitabina rispetto all’associazione 5-FU + leucovorina era decisa prima del processo di randomizzazione. L’end point primario dello studio è stato il tempo di sopravvivenza complessivo, in una coorte di soggetti con CRC metastatico e tumore KRAS wild-type. Lo studio ha contemplato l’analisi di end point secondari e ha valutato l’efficacia in funzione dello stato EGFR, BRAF, NRAS, MSI. In totale sono stati arruolati 1.630 pazienti (età media 63 anni). Il 66% ha ricevuto una chemioterapia a base di oxaliplatino + capecitabina, e il restante 34% l’associazione oxaliplatino + 5-FU + leucovorina. Inoltre:

Figura 23. Curve di Kaplan Meier per la PFS nello studio COIN [144]
Lo studio condotto interamente nel Regno Unito tra il 2004 e il 2008, ha registrato un aumento delle tossicità di grado severo (in particolare diarrea e tossicità cutanea) nel braccio di associazione con il cetuximab e in particolar modo, nei pazienti a cui era associato lo schema XELOX-cetuximab. Questa tossicità è stata gestita principalmente con la riduzione della chemioterapia. La riduzione del dosaggio del chemioterapico è infatti risultata, in modo statisticamente significativo, superiore nel braccio di associazione rispetto allo standard, facendo sì che i pazienti in combinazione siano stati meno esposti, in termini di tempo e dose, al chemioterapico rispetto al braccio di controllo. In questo studio l’aggiunta di cetuximab al trattamento con oxaliplatino ha registrato un aumento statisticamente significativo delle risposte (57% vs 64%; p = 0,049), ma non un aumento dell’OS (HR = 1,04; IC95%: 0,87-1,23; p = 0,67) o della PFS (HR = 0,96, IC95%: 0,82-1,12; p = 0,60), rispetto al gruppo di controllo.
L’analisi per sottogruppi, in funzione della chemioterapia associata al cetuximab (XELOX o FOLFOX-4 modificato) ha però confermato quanto già visto nello studio OPUS. I pazienti trattati con FOLFOX-4 modificato, hanno registrato meno tossicità e quindi minori riduzioni di chemioterapia rispetto al gruppo XELOX-cetuximab. Ciò ha consentito un confronto più equo tra i due bracci di trattamento, e ha permesso di registrare un andamento in termini di PFS a favore del cetuximab (cfr Figura 23, HR = 0,77; p = 0,054).
Studi clinici randomizzati di fase II: valutazioni di efficacia e sicurezza
Gli studi di fase II hanno dimostrato come la combinazione del cetuximab alla chemioterapia di prima linea sia stata fattibile, ben tollerata e attiva. In Tabella XV sono riassunti i principali studi di fase II.
|
Raoul [145] |
CELIM° [77] |
OPUS [142] |
CECOG° [146] |
ACROBAT [147] |
GOIM 636 [148] |
CIOX° [149] |
SAKK° [150] |
BOCCIA [151] |
POCHER [78] |
|
|
Pazienti (n.) |
52 |
106 |
168* |
62 |
43 |
72 |
177 |
37 |
82 |
72 |
|
Alternativa |
FOLFIRI |
FOLFIRI/ FOLFOX |
FOLFOX |
FOLFIRI/ FOLFOX |
FOLFOX |
FOLFOX |
XELIRI/ XELOX |
XELOX |
FOLFOX |
FOLFOX |
|
ORR (%) |
48 |
62 |
57,3*§ |
53* |
72 |
64,2 |
46,1 vs 47,7 |
41 |
45 |
79 |
|
PFS (mesi) |
8,6 |
10,8 |
8,3*§ |
8,9* |
12,3 |
10,0 |
6,3 vs 7,7 |
7,2 |
9,3 |
14 |
|
OS (mesi) |
22,4 |
33,1 |
22,8* |
20,8* |
30 |
22,0 |
21,1 vs 25,5 |
20,5 |
21,7 |
37 |
|
R |
||||||||||
|
27,0 |
46 |
12,0*§ |
NA |
23 |
21 |
9,2 |
NA |
NA |
79 |
|
19,2 |
34 |
7,3* |
NA |
21 |
18 |
NA |
NA |
NA |
60 |
Tabella XV. Riassunto degli studi di fase II che hanno valutato efficacia e sicurezza di cetuximab + chemioterapia di prima linea
° Sono studi randomizzati
* Popolazione KRAS wild-type
§ Statisticamente significativo rispetto al confronto
Resezione delle metastasi nei pazienti con CRC
Sia lo studio CRYSTAL che lo studio OPUS hanno valutato il tasso di resezione chirurgica (R0) delle metastasi in pazienti non operabili all’inizio della terapia (come da criteri di inclusione).
La prima pubblicazione dello studio CRYSTAL [140] ha riportato i tassi di resezione chirurgica nella popolazione complessiva. È stato evidenziato un tasso R0 più elevato nel gruppo cetuximab + FOLFIRI rispetto al solo trattamento con FOLFIRI (7,0% vs 3,7%). Analogamente, il tasso di resezione R0 prima della progressione della malattia è stato più elevato nel gruppo cetuximab + FOLFIRI vs 4,8% vs 1,7% (OR = 3,02; IC95%: 1,45-6,27; p = 0,002).
L’analisi retrospettiva condotta da Van Cutsem et al. [141] sullo studio CRYSTAL ha valutato i tassi R0 nella popolazione KRAS wild-type. La differenza nei tassi di resezione chirurgica è stata favorevole al gruppo cetuximab + FOLFIRI (R0 = 5,1%), rispetto alla sola terapia con FOLFIRI (R0 = 2%, OR = 2,65; p = 0,026).
Nell’analisi dello studio OPUS (sulla popolazione complessiva), i tassi R0 di resezione chirurgica delle metastasi sono stati pari al 2,4% nel gruppo FOLFOX (solo chemioterapia) e del 4,7% nel gruppo cetuximab + FOLFOX. Nell’analisi del sottogruppo di soggetti KRAS wild-type il tasso R0 è stato pari al 7,3% nel gruppo cetuximab + FOLFOX e 3,1% nel gruppo FOLFOX (OR = 2,37; p = 0,22) (Tabella XVI) [152]. Le analisi sulla popolazione KRAS wild-type, condotte sui due studi, pertanto sembrano confermare un’associazione tra l’impiego di cetuximab e l’aumento della probabilità di resezione delle metastasi, anche se l’evidenza non è sistematicamente supportata dalla significatività statistica dei confronti. Le sottoanalisi condotte da Kohne et al. [152], hanno rivalutato i tassi di resezione R0 degli studi CRYSTAL e OPUS, analizzando anche l’andamento della resecabilità nei soggetti affetti da mCRC con metastasi localizzate esclusivamente a livello epatico (LLD – Limited Liver Disease). In questo setting, i tassi R0 sono stati più elevati in termini assoluti, rispetto alla popolazione complessiva, e si è mantenuto un trend di superiorità di cetuximab rispetto alla sola chemioterapia, che è però è risultato statisticamente significativo solo nel confronto cetuximab + FOLFIRI vs FOLFIRI.
|
Trattamento |
Tasso R0 nella popolazione complessiva (%) |
Tasso R0 nella popolazione LLD (%) |
|
Cetuximab + FOLFIRI vs FOLFIRI |
5,1 vs 2,0 (OR = 2,65; p = 0,027) |
13,2 vs 5,6 (OR = 2,58; p = 0,125) |
|
Cetuximab + FOLFOX vs FOLFOX |
7,3 vs 3,1(OR = 2,37; p = 0,22) |
16,0 vs 4,3 (OR = 4,0; p = 0,21) |
Tabella XVI. Tassi di resezione dell’analisi di Kohne et al. [152]: popolazione KRAS wild-type
Altri studi non comparativi sono stati condotti allo scopo di valutare il tasso di resezione chirurgica in coorti di soggetti con CRC LLD. Lo studio CELIM [77] è un trial non comparativo, di fase II che ha arruolato 111 pazienti con metastasi non operabili che hanno ricevuto un trattamento di conversione con cetuximab, associato a FOLFOX-6 o FOLFIRI. La Tabella XVII riporta i tassi di resezione R0 e R0+R1 nei 106 soggetti valutabili (n = 53 per gruppo di trattamento). I tassi sono stati, in termini assoluti, più elevati rispetto a quelli riscontrati negli studi CRYSTAL e OPUS su sottopopolazioni analoghe.
|
Variabile |
FOLFOX-6 + cetuximab (n = 53) (% ) |
FOLFIRI + cetuximab (n = 53) (%) |
Popolazione complessiva valutabile (n = 106) ( %) |
|
Tasso R0 |
38 |
30 |
34 |
|
Tasso R0+R1 |
49 |
43 |
46 |
Tabella XVII. Tassi di resezione dello studio CELIM [77]: popolazione KRAS wild-type
I risultati dello studio, aggiornati al 2012 [153] possono essere così riassunti:
PFS e OS sono state pari a:
Tutta la popolazione trattata con cetuximab ha raggiunto i 33,1 mesi di OS (indipendentemente dal fatto che siano andati a resezione o no); il 34% della popolazione (cioè quella su cui è stata eseguita una resezione R0) ha una mediana di OS pari a 47 mesi circa (quasi 4 anni) mentre la restante parte ha ottenuto un periodo di PFS ed OS che si allinea a quanto registrato con gli studi CRYSTAL ed OPUS. Ai fini dell’esito della terapia (per % di pazienti operati, per periodo di PFS ed OS), non sembra esserci differenza tra l’associazione del cetuximab con FOLFIRI o FOLFOX.
Il NICE (National Institute of Clinical Excellence) ha ampiamente valutato la questione dell’importanza clinica del tasso di resezione chirurgica nei soggetti LLD, analizzando anche la notevole variabilità dei risultati nei diversi setting clinici. La posizione finale del NICE, supportata da un panel di esperti clinici può essere così riassunta:
Un elevato tasso di resezione, pari al 60% dei casi, è stato evidenziato anche nello studio POCHER [78] uno studio italiano di fase II, che ha arruolato 43 soggetti con CRC metastatico non operabile. In questa coorte la sopravvivenza mediana è stata pari a 37 mesi e il tasso di sopravvivenza a 2 anni pari al 68%.
Studi di qualità di vita su cetuximab
Lo studio clinico CRYSTAL (illustrato in precedenza) ha valutato l’impatto dell’impiego di cetuximab, in associazione a chemioterapia (FOLFIRI) sulla qualità di vita di pazienti affetti da CRC metastatico [154]. La qualità di vita è stata misurata attraverso il questionario EORTC QLQ-C30 (questionario composto di 30 domande, che comprende i seguenti domini: 16 items per 5 scale funzionali relativa ad attività fisica, problemi di ruolo, attività cognitiva, stato emotivo e supporto sociale; 6 items per 3 scale relative ai sintomi quali fatica, dolore, nausea e vomito; 5 items specifici quali costipazione, diarrea, insonnia, dispnea, condizione finanziaria; 2 items per l’indice globale QOL). I pazienti hanno completato il questionario alla visita di baseline, ogni 4 cicli di terapia, e alla visita di assessment finale. Nel questionario sono stati valutati lo stato globale di salute del paziente (Global Health Status) e la funzionalità sociale (Social Functioning). L’analisi non ha evidenziato variazioni statisticamente significative di QoL durante il periodo di follow-up, rispetto al baseline, a eccezione della componente nausea/vomito, che è risultata favorevole nel gruppo cetuximab alle settimane 16, 32 e 40. La variazione delle componenti Global Health Status e Social Functioning non è stata statisticamente rilevante (p = 0,29 e p = 0,39, rispettivamente).
|
Sintomatologia |
Chemioterapia |
Cetuximab + chemioterapia |
||
|
Responders (n = 32) (%) |
Non-responders (n = 72) (%) |
Responders (n = 46) (%) |
Non-responders (n = 43) (%) |
|
|
Paziente asintomatico |
25 |
14 |
46 |
7 |
|
Paziente sintomatico |
59 |
44 |
43 |
60 |
|
Dato mancante |
16 |
42 |
11 |
33 |
Tabella XVIII. Frequenza di soggetti sintomatici in base a risposta al trattamento e tipo di trattamento

Figura 24. Riduzione dei sintomi nei pazienti sintomatici al baseline [155]
Un’altra analisi, derivata sempre dallo studio CRYSTAL [155], ha dimostrato i benefici della risposta clinica sulla qualità di vita dei pazienti affetti da CRC. I soggetti sono stati intervistati per determinare la qualità di vita (paziente asintomatico vs paziente sintomatico), utilizzando alcuni items specifici per i sintomi, del questionario EORTC QLQ-C30 (q8-10, q12-18). L’analisi è stata condotta su 471 dei 627 soggetti affetti da CRC con KRAS wild-type, per i quali è stato possibile rilevare la sintomatologia attraverso il questionario. La Tabella XVIII e la Figura 24 mostrano la distribuzione dello stato dei sintomi nei soggetti sintomatici al baseline, a 8 settimane dall’inizio del trattamento, in base alla risposta alla terapia. È possibile notare due aspetti: innanzitutto l’associazione cetuximab + chemioterapia garantisce un miglior tasso di risposta, inoltre i soggetti che hanno risposto al trattamento nel 50% dei casi circa diventano asintomatici già a 8 settimane dall’inizio della terapia (e dunque migliorano la loro qualità di vita).
L’effetto sulla QoL della somministrazione di cetuximab, in monoterapia o in combinazione con irinotecan, era già stato dimostrato in due studi vs terapia di supporto [156] e chemioterapia [157]. Nel primo dei due trial, 517 pazienti con mCRC (EGFR positivi) sono stati randomizzati a ricevere cetuximab + terapia di supporto (BSC), vs terapia di supporto. Lo studio ha valutato le variazioni della QOL rispetto al baseline, con i questionari EORTC QLQ-C30 (funzionalità fisica) e GHS (Global Health Status), alle settimane 8 e 16. Un’analisi successiva è stata condotta stratificando per stato della mutazione del gene KRAS. Lo studio ha dimostrato l’effetto positivo di cetuximab + BSC rispetto a BSC nel preservare la QoL dei pazienti, anche nella sottopopolazione KRAS wild-type (Figura 25).
Nel secondo studio (EPIC), 1.298 soggetti con CRC metastatico, che avevano fallito un trattamento di prima linea con la combinazione fluoropirimidina e oxaliplatino, sono stati randomizzati a ricevere cetuximab + irinotecan vs irinotecan in monoterapia. In questo studio, l’associazione cetuximab + irinotecan ha dimostrato un aumento del tempo libero da progressione della malattia (PFS) e del tasso di risposta. Inoltre, i soggetti nel gruppo di trattamento con cetuximab hanno riportato un miglior punteggio di QoL (misurato con scala GHS, Global Health Status) vs i soggetti in monoterapia con irinotecan (p = 0,047). In particolare, lo studio ha dimostrato un livello di sicurezza e tollerabilità simile nei due bracci di trattamento, eccezion fatta per l’incidenza di reazioni cutanee, diarrea, ipomagnesia, e scompenso elettrolitico.

Figura 25. Variazioni dei punteggi di QoL a 16 settimane dall’inizio del trattamento [156] (tutte le differenze tra cetuximab + BSC vs BSC sono statisticamente significative)
BSC = terapia di supporto
Principali evidenze sugli altri farmaci indicati nel trattamento di prima linea del CRC metastatico (trial registrativi sottoposti a EMA)
Bevacizumab
L’efficacia di bevacizumab (al dosaggio di 5 mg/kg ogni due settimane) è stata testata nella prima linea del CRC metastatico in 4 diversi studi: AVF2107g, AVF0780g, AVF2192g e NO16966.
End point | IFL + placebo (n = 411) | IFL + bevacizumab (n = 402) |
Sopravvivenza globale | ||
Tempo mediano (mesi) | 15,6 | 20,3 |
IC95% | 14,29-16,99 | 18,46-24,18 |
HR | Riferimento | 0,660 (p = 0,00004) |
PFS | ||
Tempo mediano (mesi) | 6,2 | 10,6 |
Hazard ratio | Riferimento | 0,54 (p < 0,0001) |
Tasso di risposta globale (%) | 34,8 | 44,8 (p = 0,0036) |
Tabella XIX. Risultati di efficacia nello studio AVF2107g [158]
End point | 5-FU/AF (n = 36) | 5-FU/AF + bevacizumab 5 mg/kg (n = 35) | 5-FU/AF + bevacizumab 10 mg/kg (n = 33) |
Sopravvivenza globale | |||
Tempo mediano (mesi) | 13,6 | 17,7 | 15,2 |
IC95% | - | - | - |
HR | Riferimento | 0,52 (p = 0,073) | 1,01 (p = 0,978) |
PFS | |||
Tempo mediano (mesi) | 5,2 | 9,0 | 7,2 |
HR | Riferimento | 0,44 (p = 0,0049) | 0,69 (p = 0,217) |
Tasso di risposta globale | |||
Tasso (%) | 16,7 | 40,0 | 24,2 |
IC95% | 7,0-33,5 | 24,4-57,8 (p = 0,029) | 11,7-42,6 (p = 0,43) |
Durata della risposta | |||
Tempo mediano (mesi) | NR | 9,3 | 5,0 |
25°/75° percentile | 5,5/NR | 6,1/NR | 3,8/7,8 |
Tabella XX. Risultati di efficacia nello studio AVF0780g [159]
NR = non raggiunto
End point | 5-FU/AF + placebo (n = 105) | 5-FU/AF + bevacizumab (n = 104) |
Sopravvivenza globale | ||
Tempo mediano (mesi) | 12,9 | 16,6 |
IC95% | 10,35-16,95 | 13,63-19,32 |
HR | Riferimento | 0,79 (p = 0,16) |
PFS | ||
Tempo mediano (mesi) | 5,5 | 9,2 |
HR | Riferimento | 0,5 (p = 0,0002) |
Tasso di risposta globale | ||
Tasso (%) | 15,2 | 26,0 |
IC95% | 9,2-23,9 | 18,1-35,6 (p = 0,055) |
Durata della risposta | ||
Tempo mediano (mesi) | 6,8 | 9,2 |
25°/75° percentile | 5,59/9,17 | 5,88/13,01 |
Tabella XXI. Risultati di efficacia nello studio AVF2192g [160]
End point | FOLFOX-4 o XELOX + placebo (n =701) | FOLFOX-4 o XELOX + bevacizumab (n = 699) |
PFS | ||
Tempo mediano (mesi) | 8,0 | 9,4 |
HR (IC97,5%) | Riferimento | 0,83 (0,72-0,95) |
p | Riferimento | 0,0023 |
Tasso di risposta globale | ||
Tasso (%) | 38 | 38 |
Sopravvivenza globale | ||
Tempo mediano (mesi) | 19,9 | 21,3 |
HR (IC97,5%) | Riferimento | 0,89 (0,76-1,03) |
p | Riferimento | 0,0769 |
Tabella XXII. Risultati di efficacia nello studio NO16966 [161]
Il Riassunto delle Caratteristiche di Prodotto riporta una selezione delle più comuni reazioni avverse associate all’impiego di bevacizumab. La Tabella XXIII illustra, in maniera sintetica, le reazioni avverse (ADR) più comuni, la fonte dei dati, e la relativa incidenza.
|
Tipo ADR |
Fonte dei dati |
Incidenza dell’evento |
Note |
|
Perforazione gastrointestinale |
Studi nel CRC |
Fino al 2% |
Verificatosi un esito fatale |
|
Fistole |
Studi nel CRC |
Fino al 2% |
- |
|
Complicanze della cicatrizzazione |
Studi nel CRC: soggetti sottoposti a intervento chirurgico |
10-20% |
La complicanza può esitare in un’emorragia post-operatoria |
|
Ipertensione |
Tutti gli studi: tutti i gradi |
Fino al 34% |
Generalmente controllata con antipertensivi orali |
|
Tutti gli studi: grado 3-4 |
0,4-18% |
||
|
Tutti gli studi: grado 4 |
0,2-1% |
||
|
Proteinuria |
Tutti gli studi: tutti i gradi |
0,7-38% |
- |
|
Studi nel CRC: grado 3 |
Fino al 7% |
||
|
Studi nel CRC: grado 4 |
1,4% |
||
|
Emorragia |
Tutti gli studi: grado 3-5 (secondo il NCI-CTC) |
0,4-5% |
In prevalenza emorragie associate al tumore |
|
Tromboembolia arteriosa |
Tutti gli studi: differenza bevacizumab vs controllo |
+2,1% |
Eventi a esito registrati nello 0,8% dei pazienti trattati con bevacizumab |
|
Tromboembolia venosa |
Tutti gli studi: differenza bevacizumab vs controllo |
Fino a +1,7% |
- |
|
Tutti gli studi, grado 3-5: differenza bevacizumab vs controllo |
Fino a +2,9% |
||
|
Insufficienza cardiaca congestizia |
Studi nel carcinoma mammario metastatico, grado 3-4: differenza bevacizumab vs controllo |
Fino a +2,6% |
Insufficienza cardiaca più frequente nel carcinoma mammario, ma verificatasi anche nelle altre indicazioni |
|
Reazioni d’ipersensibilità/ reazioni all’infusione |
Alcuni studi clinici (non meglio specificati) |
Fino al 5% |
Reazioni più comuni: reazioni di tipo anafilattico |
Tabella XXIII. Sicurezza di bevacizumab: selezione delle più comuni ADR (reazioni avverse da farmaco)
NCI = National Cancer Institute
Eventi avversi molto comuni (reazioni di tutti i gradi: differenza ≥ 10% tra bevacizumab e braccio di controllo in almeno uno studio clinico), associati all’impiego di bevacizumab in monoterapia o associazione, sono stati: anoressia, disgeusia e cefalea, disturbi oculari, ipertensione, patologie respiratorie (dispnea, epistassi, rinite), patologie gastrointestinali (costipazione, stomatite, emorragia rettale), insufficienza ovarica, patologie della cute e del tessuto sottocutaneo, artralgia, proteinuria, patologie correlate all’infusione (piressia, astenia, dolore, infiammazione delle mucose).
Panitumumab
L’efficacia di panitumumab in combinazione con oxaliplatino, 5-FU e leucovorina (FOLFOX) è stata valutata in uno studio randomizzato e controllato di 1.183 pazienti con CRC metastatico [162]. L’end point primario è stato la sopravvivenza libera da progressione (PFS). Altri end point principali includevano sopravvivenza globale (OS), tasso di risposta obiettiva (ORR), tempo alla risposta, tempo alla progressione (TTP) e durata della risposta. Lo studio è stato analizzato in maniera prospettica in accordo allo status mutazionale di KRAS che è stato valutabile nel 93% dei pazienti. Nella Tabella XXIV sono riportati i risultati dell’analisi sui soggetti con tumore KRAS wild-type, per il quale il farmaco è indicato (n = 656).
|
End point |
FOLFOX + panitumumab (n = 325) |
FOLFOX + placebo (n = 331) |
|
PFS |
||
|
Tempo mediano (mesi) |
10,0 |
8,6 |
|
IC95% |
9,3-11,4 |
7,5-9,5 |
|
HR |
Riferimento |
0,799 (p = 0,0092) |
|
Sopravvivenza globale |
||
|
Tempo mediano (mesi) |
23,9 |
19,7 |
|
IC95% |
20,3-27,7 |
17,6-22,7 |
|
HR |
Riferimento |
0,878 (p = 0,1710) |
Tabella XXIV. Risultati dello studio registrativo di panitumumab: sottogruppo KRAS wild-type
Il Riassunto delle Caratteristiche di Prodotto riporta una selezione delle più comuni reazioni avverse associate all’impiego di panitumumab. La Tabella XXV illustra, in maniera sintetica, le reazioni avverse (ADR) più comuni, la fonte dei dati, e la relativa incidenza.
Eventi avversi molto comuni (≥ 10%), associati all’impiego di panitumumab in monoterapia o associazione, nel CRC metastatico sono stati: anemia, congiuntivite, patologie gastrointestinali (diarrea, nausea, vomito, dolore addominale, stipsi, stomatite), affaticamento, piressia, astenia, infiammazione delle mucose, edema periferico, infezioni, perdita di peso, disturbi del metabolismo, mal di schiena, insonnia, dispnea, tosse, patologie della cute e del tessuto sottocutaneo (dermatite, rash, eritema, prurito, ecc.).
|
Tipo ADR |
Fonte dei dati |
Incidenza dell’evento (%) |
Note |
|
Diarrea di grado 3-4 |
Studi clinici in monoterapia |
2 |
ADR generalmente d’intensità lieve o moderata |
|
Studi clinici in associazione |
17 |
||
|
Reazioni correlate all’infusione |
Tutti gli studi clinici: grado 3-4 |
2-3 |
Tipici segni e sintomi: brividi, febbre o dispnea |
|
Tutti gli studi clinici: grado 1-2 |
< 1 |
||
|
Angioedema |
Tutti gli studi clinici e post marketing |
Raro |
1 caso letale in uno studio clinico nel carcinoma testa-collo; altri casi nel post-marketing |
|
Rash cutaneo e altre patologie del tessuto cutaneo e sotto-cutaneo |
Tutti gli studi clinici: tutti i gradi |
93 |
Verificati casi di reazioni “life-threatening” (< 1% dei casi) |
|
Tutti gli studi clinici: grado 3-4 |
34 |
Tabella XXV. Sicurezza di panitumumab: selezione delle più comuni ADR (reazioni avverse da farmaco)
Capecitabina
I dati di due studi clinici con uguale disegno, multicentrici, randomizzati, controllati, di fase III (SO14695 e SO14796) supportano l’uso di capecitabina per il trattamento di prima linea del tumore metastatico del colon-retto. In questi studi 603 pazienti sono stati randomizzati al trattamento con capecitabina in monoterapia (1.250 mg/m2 due volte al giorno per 2 settimane seguite da un intervallo di 1 settimana) e 604 pazienti sono stati randomizzati al trattamento con 5-FU e leucovorina (20 mg/m2 leucovorina seguiti da 425 mg/m2 di 5-FU in bolo per via endovenosa, ai giorni da 1 a 5, ogni 28 giorni). I risultati di efficacia nei due gruppi sono riportati nella Tabella XXVI [6].
|
End point |
Capecitabina (n = 603) |
Leucovorina + 5-FU (n = 604) |
p |
|
Tasso di risposta obiettiva (%) |
25,7% |
16,7% |
< 0,0002 |
|
Tempo mediano alla progressione (gg) |
140 |
144 |
Non disponibile |
|
Sopravvivenza mediana (gg) |
392 |
391 |
Non disponibile |
Tabella XXVI. Risultati degli studi SO14695 e SO14796 (capecitabina in monoterapia)
I dati di uno studio clinico multicentrico, randomizzato, controllato di fase III (NO16966) supportano l’uso di capecitabina in associazione con oxaliplatino o in associazione con oxaliplatino e bevacizumab per il trattamento di prima linea del carcinoma colorettale metastatico. Lo studio comprendeva due parti, una parte iniziale a due bracci nella quale 634 pazienti sono stati randomizzati a due differenti regimi di trattamento, cioè XELOX (capecitabina + oxaliplatino) e FOLFOX-4 (5-FU + oxaliplatino + leucovorina) e una successiva parte 2x2 fattoriale nella quale 1.401 pazienti sono stati randomizzati a quattro differenti regimi di trattamento, cioè XELOX più placebo, FOLFOX-4 più placebo, XELOX + bevacizumab, e FOLFOX-4 + bevacizumab (per il dosaggio dei farmaci si rimanda al Riassunto delle Caratteristiche di Prodotto) [6].
Lo studio ha dimostrato la non inferiorità di capecitabina rispetto a FOLFOX, sia in termini di sopravvivenza libera da progressione (PFS), che in termini di sopravvivenza complessiva (OS). La sovrapponibilità dell’efficacia clinica è stata confermata anche quando bevacizumab è stato associato ai due differenti regimi chemioterapici. La Tabella XXVII mostra i due parametri di efficacia, valutati nell’analisi primaria e secondaria (ulteriore follow-up di un anno).
|
End point: analisi primaria |
XELOX + placebo/XELOX + bevacizumab (n = 1.017) |
FOLFOX + placebo/FOLFOX + bevacizumab (n = 1.017) |
HR (IC97,5%) |
|
PFS (gg) |
244 |
259 |
1,04 (0,93-1,16) |
|
OS (gg) |
581 |
553 |
0,96 (0,83-1,12) |
|
End point: analisi secondaria (+ 1 anno di follow-up) |
|||
|
PFS (gg) |
244 |
259 |
1,01 (0,91-1,12) |
|
OS (gg) |
602 |
596 |
0,99 (0,88-1,12) |
Tabella XXVII. Risultati dello studio NO16966 (capecitabina in associazione): popolazione ITT
I dati emersi da uno studio randomizzato, controllato di fase III (CAIRO) supportano l’uso di capecitabina alla dose iniziale di 1.000 mg/m2 per 2 settimane ogni 3 settimane in associazione con irinotecan per il trattamento di prima linea di pazienti con carcinoma colorettale metastatico. 820 pazienti sono stati randomizzati a ricevere un trattamento sequenziale (n = 410) o di associazione (n = 410). Il trattamento sequenziale consisteva in un trattamento di prima linea con capecitabina (1.250 mg/m2 due volte al giorno per 14 giorni), una seconda linea con irinotecan (350 mg/m2 al giorno 1), e una terza linea con l’associazione di capecitabina (1.000 mg/m2 due volte al giorno per 14 giorni) e oxaliplatino (130 mg/m2 al giorno 1). Il trattamento di associazione consisteva in un trattamento di prima linea con capecitabina (1.000 mg/m2 due volte al giorno per 14 giorni) associato a irinotecan (250 mg/m2 al giorno 1) (XELIRI) e una seconda linea con capecitabina (1.000 mg/m2 due volte al giorno per 14 giorni) più oxaliplatino (130 mg/m2 al giorno 1). Tutti i cicli di trattamento sono stati somministrati a intervalli di 3 settimane. Nel trattamento di prima linea la sopravvivenza libera da progressione mediana nella popolazione ITT è stata di 5,8 mesi (IC95%: 5,1-6,2 mesi) per capecitabina in monoterapia e di 7,8 mesi (IC95%: 7,0-8,3 mesi; p = 0,0002) per XELIRI (capecitabina in associazione con irinotecan).
Il Riassunto delle Caratteristiche di prodotto riporta una selezione delle più comuni reazioni avverse associate all’impiego di capecitabina. La Tabella XXVIII illustra, in maniera sintetica, le reazioni avverse (ADR) più comuni, la fonte dei dati, e la relativa incidenza.
|
Tipo ADR |
Fonte dei dati |
Incidenza dell’evento |
Note |
|
Sindrome mano-piede |
Monoterapia (1.250 mg/m2) |
53-60% |
Relazione tra ADR e dosaggio, durata del trattamento, età, sesso ECOG |
|
Studi sul carcinoma mammario |
63% |
||
|
Associazione (1.250 mg/m2) |
22-30% |
||
|
Metanalisi 14 studi |
43% |
||
|
Diarrea |
Metanalisi 14 studi |
Fino al 50% |
Relazione tra ADR e dosaggio |
|
Cardiotossicità |
Valutazione di 7 studi clinici |
< 0,1% |
Tipo evento: cardiomiopatia, scompenso cardiaco, morte improvvisa ed extrasistole ventricolari |
|
Encefalopatia |
Valutazione di 7 studi clinici |
< 0,1% |
- |
Tabella XXVIII. Sicurezza di capecitabina: selezione delle più comuni ADR (reazioni avverse da farmaco)
Eventi avversi molto comuni (≥ 10%), associati all’impiego di capecitabina in monoterapia, sono: anoressia, diarrea, vomito, nausea, stomatite, dolore addominale, sindrome mano-piede, affaticamento e astenia. Altri eventi avversi molto comuni (> 10%), per capecitabina, impiegata in associazione, sono: neutropenia (febbrile e non), leucopenia, trombocitopenia, riduzione dell’appetito, alterazione del gusto, neuropatie, cefalea, aumento della lacrimazione, edema degli arti inferiori, embolia e trombosi, mal di gola, stipsi, dispepsia, alopecia, mialgia, artralgia, dolore alle estremità, piressia, astenia.
Valutazione economica (costo efficacia/beneficio) della tecnologia (rispetto alle tecnologie alternative)
Nota per il lettore: consultare l’Appendice A, Glossario dei termini farmacoeconomici per la definizione dei termini tecnici utilizzati in questo capitolo.
Revisione delle principali evidenze farmacoeconomiche internazionali
In Europa sono state condotte diverse valutazioni farmacoeconomiche atte a comprendere il profilo di costo-efficacia di cetuximab nel trattamento di prima linea del CRC metastatico.
Analisi NICE (National Institute of Clinical Excellence)
Nel 2009 il NICE ha formulato un STA (Single Technology Appraisal) per valutare l’opportunità di finanziamento di cetuximab per il National Healthcare System (NHS) [163]. La Tabella XXIX illustra le principali raccomandazioni formulate dal NICE.
|
Criteri da soddisfare per raccomandare cetuximab in combinazione con FOLFOX |
Criteri da soddisfare per raccomandare cetuximab in combinazione con FOLFIRI |
|
|
Tabella XXIX. Condizioni per la raccomandazione di cetuximab nel CRC metastatico di prima linea
Il trattamento, in entrambi i casi, dovrebbe essere sospeso dopo sedici settimane dall’inizio, per verificare se il paziente è divenuto eleggibile alla resezione delle metastasi epatiche. La valutazione positiva del NICE in merito al finanziamento della terapia è il risultato di una complessa analisi farmacoeconomica che ha coinvolto l’azienda titolare dell’autorizzazione in commercio di cetuximab (Merck Serono), il NICE e un comitato di esperti clinici ai quali è stato chiesto di verificare l’attendibilità delle assunzioni impiegate nell’analisi economica. Inizialmente Merck Serono ha sviluppato un modello di Markov per simulare la progressione della malattia, la sopravvivenza, la qualità di vita e i costi di una coorte di pazienti affetti da carcinoma del colon-retto, EGFR positivo, KRAS wild-type e trattati in prima linea con cetuximab + FOLFOX o FOLFIRI, rispetto al trattamento standard chemioterapico (FOLFOX o FOLFIRI non associati). Il modello ha previsto l’inclusione di dati di sopravvivenza a lungo termine dopo terapia curativa chirurgica. Il modello ha adottato un orizzonte temporale lifetime, ossia dall’inizio del trattamento sino alla morte del paziente (tempo massimo di valutazione pari a 23 anni).
La valutazione economica è stata costruita su un’ipotetica coorte di pazienti con le seguenti caratteristiche:
I dati clinici utilizzati nel modello derivano dai trial clinici CRYSTAL e OPUS (cfr. capitolo “Valutazione e sicurezza della tecnologia” per consultare i dati di OS, PFS e ORR). I tassi di resezione chirurgica, similmente, erano stati ricavati dai trial CRYSTAL e OPUS ed erano pari a 3,5% per cetuximab + FOLFIRI, 2,3% per FOLFIRI, 11,5% per cetuximab + FOLFOX e 4,1% per FOLFOX. In realtà gli esperti chiamati alla validazione dei dati clinici hanno considerato tali valori piuttosto bassi e non in linea con la pratica clinica del NHS. In questo senso, gli studi provenienti da un altro studio clinico randomizzato di fase II, denominato CELIM [77], sono stati considerati meglio rappresentativi della realtà di effectiveness dei trattamenti. Lo studio CELIM (n = 114) ha valutato un end point primario di risposta tumorale ed end point secondari di tasso di resezione chirurgica delle metastasi, PFS e OS. I risultati dello studio CELIM hanno evidenziato un tasso di resezione pari al 43% nei soggetti in trattamento cetuximab + FOLFIRI (n = 53) e del 40% nei soggetti in trattamento con FOLFOX (n = 52). Questi valori sono risultati molto più elevati rispetto a quelli dei trial clinici, ma più realistici e per questo motivo è stato deciso di utilizzarli quali dati di input per la valutazione economica. Non essendo disponibili dati di confronto diretto con i gruppi di confronto, FOLFIRI e FOLFOX, sono stati impiegati tassi di resezione chirurgica pari al 9% e al 22%. La fonte di questi dati è lo studio GERCOR [39].
Un risultato di notevole importanza clinica, anche se non supportato dalla significatività statistica a causa della limitata numerosità campionaria, è quello derivante dalla sottoanalisi dello studio CRYSTAL, che ha evidenziato come i soggetti con malattia metastatica confinata al fegato (n = 67) hanno una sopravvivenza maggiore se trattati con cetuximab + FOLFIRI vs FOLFIRI (14,6 mesi vs 9,5 mesi; HR = 0,724, p = 0,437) a testimonianza dell’efficacia di cetuximab nel determinare una riduzione del volume tumorale tale da permettere l’intervento chirurgico. Infine, il valore del tasso di fallimento della resezione chirurgica introdotto nel modello economico è stato pari al 27,8% come riscontrato nel trial CRYSTAL. Anche in questo caso, comunque, il panel di esperti ha considerato un tale valore una notevole sovrastima del tasso di fallimento in reale pratica clinica, e ha preferito suggerire un tasso di fallimento pari al 5%, come da uno studio di real practice condotto in UK. Alla luce delle proposte di correzione formulate dal panel di esperti, è stata condotta un’analisi revised che costituisce l’analisi principale per il NICE. Analisi successive sono state condotte, infine, per stimare la variabilità e robustezza dell’analisi principale tra cetuximab + FOLFOX vs FOLFOX. La Tabella XXX illustra, in maniera schematica, le assunzioni delle tre principali analisi.
|
Scenario 1 |
Scenario 2 (solo FOLFOX) |
Scenario 3 (solo FOLFOX) |
|
|
|
Tabella XXX. Scenari valutati nell’analisi economica del NICE
La Figura 26 mostra i risultati dei vari scenari. A parte lo scenario 3, che però testa un’ipotesi molto diversa rispetto a quella del caso base, l’ICER (Incremental Cost Effectiveness Ratio) misurato in termini di cost per QALY, è risultato sostenibile per il NHS (< 30.000 £/QALY).
A oggi, cetuximab è l’unica terapia di prima linea nel carcinoma del colon-retto a essere stata raccomandata dal NICE. Bevacizumab (in combinazione con oxaliplatino o FU + acido folinico o capecitabina) non è stato raccomandato nel trattamento del carcinoma metastatico del colon-retto [164] a causa di un insoddisfacente rapporto tra costi e benefici. Per quanto riguarda panitumumab, il processo di assessment è iniziato nel 2011 e non ci sono dei documenti ufficiali riguardo la posizione del NICE.
Analisi SMC (Scottish Medicine Consortium)
Nel Gennaio 2010 la SMC ha formalizzato la propria raccomandazione sull’impiego di cetuximab nel trattamento del CRC metastatico [165]. Il trattamento con cetuximab è accettato dal NHS scozzese, limitatamente ai pazienti che non hanno ricevuto precedentemente una chemioterapia, inizialmente non resecabili, ma che potrebbero diventarlo a seguito del trattamento. La raccomandazione di cetuximab è vincolata alla formalizzazione di un PAS (Patient Access Scheme), ossia uno sconto sul prezzo di cetuximab (non dichiarato esplicitamente nel documento), che ne migliora il profilo di costo-efficacia. Nel complesso, SMC riconosce formalmente l’evidenza di miglioramento della sopravvivenza libera da progressione e della sopravvivenza globale riscontrata negli studi registrativi, ma ritiene tale miglioramento modesto da un punto di vista clinico. Per ragioni di sinteticità non riportiamo nel documento i dati di input e le assunzioni del modello economico, che comunque non sembrano discostarsi in maniera sostanziale da quelle utilizzate nell’analisi sottoposta al NICE. I risultati principali dell’analisi economica sono riportati nella Figura 27, in assenza (Scenario 1) o presenza (Scenario 2) di un PAS. L’adozione di un PAS per cetuximab ha determinato una riduzione dell’ICER rispetto allo Scenario 1 del 17% nel confronto con FOLFIRI e del 27% nel confronto con FOLFOX.

Figura 26. Risultati dell’analisi economica del NICE

Figura 27. Risultati dell’analisi economica SMC [165]
PAS = Patient Access Scheme

Figura 28. Risultati dell’analisi economica canadese [167]
Gli autori dell’assessment, evidenziano alcune criticità dell’analisi: innanzitutto i risultati dell’analisi sono assai variabili in funzione degli outcome di resecabilità chirurgica, dove tra l’altro esiste un livello piuttosto elevato d’incertezza, motivo per cui viene raccomandata la produzione di nuova evidenza in quest’ambito, inoltre alcuni dati di input utilizzati nel modello provengono da valutazioni di breve-medio termine che generano incertezza sull’affidabilità delle stime.
Analogamente a quanto verificatosi con il NICE, nel 2008 SMC non ha raccomandato l’impiego di bevacizumab + chemioterapia a base di fluoropirimidine nel trattamento del CRC metastatico [166]. La nota esplicativa di SMC sottolinea che “Nel trial clinico randomizzato, il trattamento con bevacizumab + chemioterapia ha mostrato un limitato beneficio clinico rispetto alla sola chemioterapia, in termini di PFS. Inoltre, la casa farmaceutica non ha presentato un’analisi economica sufficientemente robusta da guadagnare il parere favorevole di SMC”. Al momento non è in corso alcuna procedura di assessment di panitumumab nel CRC metastatico presso SMC.
Valutazione economica canadese
Nel 2009 Mittmann et al. hanno condotto un’analisi farmacoeconomica [167] di cetuximab utilizzando i dati provenienti dallo studio CO.17, uno studio clinico randomizzato che ha confrontato cetuximab + migliore terapia di supporto (BSC; n = 283) rispetto BSC (n = 274). Nello specifico, è stata condotta un’analisi di costo-utilità tra le due alternative, impiegando la prospettiva del servizio sanitario canadese, analizzando i costi diretti sanitari, e adottando un orizzonte temporale di 18-19 mesi (pari alla durata del trial clinico). L’analisi è stata condotta sia sulla popolazione complessiva, sia sulla popolazione KRAS wild-type. I risultati dell’analisi economica sono riportati in Figura 28.
In termini di sopravvivenza e di sopravvivenza aggiustata per la qualità di vita, il trattamento con cetuximab ha garantito un modesto vantaggio rispetto a BSC pari a 0,12 LY e 0,08 QALY nella popolazione complessiva e 0,28 LY e 0,18 QALY nella popolazione KRAS wild-type. Il profilo di costo-efficacia complessivo è risultato, pertanto, poco favorevole.
Pur essendo inclusa nel presente documento, la valutazione farmacoeconomica canadese non sarà inserita nel computo delle evidenze utili per produrre un’evidenza su cetuximab. Le motivazioni di questa scelta sono essenzialmente due: innanzitutto il trial clinico CO.17 valuta cetuximab in seconda linea, nei pazienti chemotherapy refractory, inoltre l’orizzonte temporale adottato, pari al tempo di follow-up dello studio, è limitato. Un orizzonte temporale che non sia lifetime non permette di catturare il potenziale vantaggio di sopravvivenza complessiva e libera da progressione nei pazienti metastatici che grazie al trattamento con cetuximab sono divenuti pazienti operabili.
Valutazione economica tedesca

Figura 29. Stati di salute/trattamento previsti nel modello di analisi decisionale [168]
Un’analisi farmacoeconomica condotta da Asseburg et al. [168] ha valutato il profilo di costo-efficacia nel setting di pazienti con CRC metastatico, KRAS wild-type, e con metastasi localizzate esclusivamente a livello epatico (LLD, Liver-Limited Disease). Nello specifico, è stato elaborato un modello decisionale che ha effettuato un confronto indiretto tra cetuximab + FOLFIRI vs bevacizumab + FOLFOX su un orizzonte di tempo pari a 10 anni. I dati clinici utilizzati per popolare il modello di costo-efficacia derivano dai due studi registrativi: lo studio CRYSTAL per cetuximab e lo studio NO16966 per bevacizumab. I risultati di questi studi clinici sono stati descritti nel capitolo “Valutazione e sicurezza della tecnologia” del presente documento. La Figura 29 illustra i possibili stati di salute del modello e relativi trattamenti. Nello specifico, un soggetto con CRC metastatico LLD ha una certa probabilità di diventare operabile a seguito del trattamento.
La prospettiva impiegata nell’analisi è stata quella del servizio sanitario tedesco (escludendo eventuali costi affrontati direttamente dal paziente), pertanto costi e tariffe si riferiscono a un setting di trattamento e cura in Germania. I dati clinici ed economici non direttamente rilevabili attraverso analisi della letteratura sono stati stimati attraverso opinione di esperti e metodi di Delphi panel. Nell’analisi principale sia i dati clinici che quelli economici sono stati scontati del 5% per anno. Infine, la robustezza dei risultati è stata stimata attraverso l’analisi di sensibilità deterministica e probabilistica. Da un punto di vista economico, sono stati valorizzati tutti i costi di gestione sanitari, compresi i costi per la gestione degli eventi avversi.
La Tabella XXXI illustra i risultati principali dell’analisi. La sopravvivenza complessiva (scontata) è stata pari a 2,88 anni nel gruppo di trattamento con cetuximab + FOLFIRI e di 2,38 anni nel gruppo bevacizumab + FOLFOX (differenza: 0,50 anni). Il rapporto incrementale costo efficacia è stato pari a € 15.020 per anno di vita guadagnato. Il favorevole profilo di costo-efficacia derivante dall’analisi economica è determinato dal tasso di resecabilità chirurgica, che è più elevato a seguito del trattamento con cetuximab rispetto a bevacizumab.
|
Outcome |
Cetuximab + FOLFIRI |
Bevacizumab + FOLFOX |
Differenza |
|
Costo complessivo di trattamento (€) |
99.134,0 |
91.563,0 |
7.571,0 |
|
Probabilità di resezione delle metastasi (%) |
27,3 |
11,6 |
15,7 |
|
Probabilità di resezione delle metastasi e di sopravvivenza a 5 anni (%) |
8,9 |
2,2 |
6,7 |
|
Sopravvivenza complessiva (anni) |
2,9 |
2,4 |
0,5 |
Tabella XXXI. Outcome clinici ed economici (scontati) dell’analisi

Figura 30. Risultati dell’analisi di sensibilità probabilistica
Le analisi di sensibilità deterministiche e probabilistiche hanno confermato la robustezza della stima. La Figura 30 evidenzia che la probabilità di cetuximab + FOLFIRI di essere costo-efficace è pari al 100% se si definisce una soglia di accettabilità intorno a € 30 mila per anno di vita guadagnato.
Valutazioni per l’Italia: costo terapia e considerazioni preliminari
In questo paragrafo sono stati riportati i prezzi dei farmaci indicati nel trattamento del mCRC, per il Servizio Sanitario Nazionale. I dati di prezzo al pubblico e prezzo ex-factory, elencati nella Tabella XXXII, sono stati desunti dalla banca dati dell’Agenzia Italiana del Farmaco [169]. Il prezzo unitario dei farmaci, al netto degli sconti (pubblicati e non) e delle riduzioni dovute alle condizioni negoziali (es. accordi di risk sharing, payment by results, ecc.) è impiegato come dato di input per la conduzione dell’analisi farmacoeconomica (come descritto nel sezione relativa alla descrizione del modello). La Tabella XXXIII elenca e quantifica l’entità degli sconti, riportando infine il costo netto per ciclo di terapia, per mese di terapia, e per mg di terapia.
Alcune precisazioni sulla Tabella XXIII:
|
Terapia |
Nome commerciale |
Confezione |
Dosaggio |
Prezzo al pubblico (€) |
Prezzo ex-factory (€) |
|
Cetuximab |
Erbitux® |
5 mg/ml; soluzione per infusione; 20 ml 1 flaconcino |
Dose iniziale: 400 mg/m2; dosi successive: 250 mg/m2 |
312,01 |
189,05 |
|
Panitumumab |
Vectibix® |
20 mg/ml; concentrato per soluzione per infusione; 5 ml 1 flaconcino |
6 mg/kg ogni 2 settimane |
633,03 |
383,55 |
|
Bevacizumab |
Avastin® |
100 mg; concentrato per soluzione per infusione; 5 m 1 flaconcino |
5 mg/kg ogni 2 settimane |
504,62 |
305,75 |
|
FOLFIRI |
Irinotecan Teva |
20 mg/ml; concentrato per soluzione per infusione; 5 ml 1 flaconcino |
180 mg/m2 ogni 2 settimane |
153,42 |
92,96 |
|
Acido folinico Teva |
175 mg; polvere per soluzione per infusione; 1 flaconcino |
200-400 mg/m2 ogni 2 settimane |
29,54 |
17,90 |
|
|
Fluorouracile Teva |
500 mg/10 ml; soluzione per infusione 10 ml; 1 flaconcino |
400 mg/m2 in bolo; 2.400 mg/m2 infusione ogni 2 settimane |
2,84 |
1,72 |
|
|
FOLFOX |
Oxaliplatino Teva |
5 mg/ml; polvere per soluzione per infusione; 100 mg 1 flaconcino |
85 mg/m2 ogni 2 settimane |
407,23 |
246,74 |
|
Acido folinico Teva |
175 mg; polvere per soluzione per infusione; 1 flaconcino |
200-400 mg/m2 ogni 2 settimane |
29,54 |
17,90 |
|
|
Fluorouracile Teva |
500 mg/10 ml; soluzione per infusione 10 ml; 1 flaconcino |
400 mg/m2 in bolo; 2.400 mg/m2 infusione ogni 2 settimane |
2,84 |
1,72 |
Tabella XXXII. Riassunto dei prezzi al pubblico ed ex-factory delle terapia indicate nel CRC
|
Terapia |
Nome commerciale |
Sconti |
Effetto complessivo degli sconti (riduzione %) |
Costo per mg (€) |
Costo per ciclo (€) |
Costo per mese (€) |
|
Cetuximab (400 mg/m2, 250 mg/m2) |
Erbitux® |
Risk sharing + sconto non pubblicato |
37,88 |
1,17 |
845,3 528,3 |
2.581,1 |
|
Panitumumab |
Vectibix® |
Risk sharing + sconto non pubblicato |
10,88 |
3,42 |
1.437,3 |
3.079,9 |
|
Bevacizumab |
Avastin® |
Risk sharing |
33,5 |
2,03 |
712,2 |
1.526,1 |
|
FOLFIRI |
Irinotecan Teva |
- |
- |
0,93 |
301,3 |
645,6 |
|
Acido folinico Teva |
- |
- |
0,10 |
54,0 |
115,7 |
|
|
Fluorouracile Teva |
- |
- |
0,00 |
17,1 |
36,7 |
|
|
FOLFOX |
Oxaliplatino Teva |
- |
- |
2,47 |
377,9 |
809,8 |
|
Acido folinico Teva |
- |
- |
0,10 |
36 |
77,1 |
|
|
Fluorouracile Teva |
- |
- |
0,00 |
17,1 |
36,7 |
Tabella XXXIII. Sconti applicati alle terapie nel CRC e costi medi unitari
Valutazione economica dell’impiego di cetuximab nel trattamento di prima linea del CRC in Italia
Sommario
In questo Paragrafo s’intende sintetizzare i principali contenuti dell’analisi economica, allo scopo di semplificarne concetti metodologici e risultati. Il lettore potrà approfondire la lettura dell’analisi economica nei paragrafi successivi.
Descrizione del modello
Al fine di valutare il profilo farmacoeconomico di cetuximab utilizzato in prima linea nei pazienti con tumore del colon-retto metastatico o non operabile, KRAS wild-type in Italia, è stato utilizzato un modello sviluppato da Merck Serono, già impiegato per analoga stima al contesto inglese e tedesco [168]. L’obiettivo del modello farmacoeconomico di seguito descritto è l’ottenimento della stima dei costi e degli outcome dei trattamenti maggiormente utilizzati in terapia di prima linea, nei pazienti con CRC metastatico. Il modello impiegato è di tipo markoviano. Per ogni regime di prima linea adottato è possibile seguire nel tempo una coorte di pazienti attraverso tre successive linee di trattamento unitamente alla resezione curativa di metastasi epatiche. Il modello simula progressione e sopravvivenza della malattia di una corte di pazienti con espressione del recettore per il fattore di crescita epidermico (EGFR) e gene KRAS non mutato (wild-type). Il modello è basato su cicli della durata di un mese e permette di stimare costi e benefici su un orizzonte temporale (variabile) di 20 anni. La struttura del modello consiste di 5 stati principali, riassunti in Figura 31: libero da progressione (PF) in prima linea, con malattia in progressione (PD) in seconda e terza linea, resezione curativa (in PF o PD) e morte.

Figura 31. Stati di transizione contemplati nel modello farmacoeconomico (Markov)
PD = con malattia in progressione; PF = libero da progressione
Nel modello si assume che la resezione di metastasi epatiche possa essere effettuata soltanto in pazienti liberi da progressione. L’impatto della progressione del tumore dopo resezione curativa è simulato stimando la proporzione di pazienti con progressione della malattia nel periodo successivo alla resezione. Le probabilità di transizione nei diversi stati sono influenzate dal tempo intercorso dall’inizio della terapia di prima linea o dal tempo passato in un determinato stato (dal momento in cui avviene la transizione). L’analisi è basata principalmente su due strategie di trattamento: cetuximab + FOLFIRI vs FOLFIRI e cetuximab + FOLFOX vs FOLFOX. Queste due strategie sono poi confrontate con la chemioterapia non associata, e con le combinazioni bevacizumab + FOLFOX e panitumumab + FOLFOX.
Tra le varie strategie non sono state prese in considerazione:
La valutazione economica si concentra su una ben definita popolazione con le seguenti caratteristiche:
Il modello può ricreare differenti scenari in base a specifici valori modificabili per parametri che possono avere impatto differente sugli outcome e i costi come la durata della terapia, l’area di massa corporea (BSA) e il tasso di resezione (quest’ultimo particolarmente importante in quanto negli studi registrativi il numero dei pazienti sottoposti a resezione epatica era relativamente basso). In questo modo più regimi chemioterapici di prima linea possono essere confrontati simultaneamente tra loro. Il modello permette anche di testare le implicazioni del costo delle varie ipotesi al variare della durata del trattamento dei regimi di prima linea. L’analisi dunque valuta l’impatto di cetuximab impiegato in combinazione con FOLFIRI o FOLFOX sui tassi di resezione curativa nei pazienti il cui tumore è diventato resecabile durante il trattamento di prima linea confrontandoli con le altre terapie attualmente autorizzate nel carcinoma colon-retto. I regimi di trattamento di prima linea e i relativi dettagli derivano dai protocolli degli studi di riferimento: CRYSTAL, OPUS, NO16966 e PRIME (vedi Capitolo “Valutazione dell’efficacia e sicurezza della tecnologia”). I dati relativi il trattamento chemioterapico con solo FOLFOX o FOLFIRI derivano dai rispettivi studi su cetuximab. Nel modello si suppone che la terapia di prima linea sia continuata fino a progressione della malattia (che rappresenta invece l’inizio della terapia di seconda linea dopo un ritardo diagnostico di 15 giorni). Per i pazienti che diventano resecabili sono stati considerati in media 4 mesi di trattamento di prima linea, seguita da resezione. I regimi chemioterapici utilizzati come seconda linea (FOLFOX e FOLFIRI), derivano dalle evidenze pubblicate nello studio GERCOR. La scelta di un regime piuttosto che di un altro dipende dal trattamento di prima linea. Se in prima linea è stato somministrato FOLFOX, FOLFIRI deve essere somministrato come seconda linea e viceversa (indipendentemente dalla somministrazione di una terapia a base di anticorpi monoclonali come terapia di prima linea). La struttura del modello prevede che i pazienti in terza linea ricevano la terapia di supporto (BSC – Best Supportive Care). Tale stima è applicata a tutti i pazienti che effettuano una terza linea di trattamento, indipendentemente dalla somministrazione di una terapia a base di anticorpi monoclonali come prima o seconda linea.
Dati clinici inseriti nel modello
La Tabella XXXIV illustra sinteticamente le principali fonti impiegate per l’introduzione dei dati del modello, coincidenti, nella maggior parte deli casi, con gli studi registrativi delle singole terapie.
|
Linea terapeutica |
Studi di riferimento * |
|
Prima linea – PFS: risorse utilizzate e costi, intervento di resezione di metastasi epatiche |
|
|
Seconda linea – progressione: stima delle risorse utilizzate |
Studio GERCOR [39] |
|
Terza linea – morte: stima delle risorse utilizzate |
Trial clinico NCIC CO.17 per la terapia di 3a linea Best Supportive Care [156] |
|
Tasso di resezione |
Trial registrativo, studio CELIM [77] e studio GERCOR [39] |
|
Periodo successivo l’intervento potenzialmente curativo: sopravvivenza e risorse utilizzate |
Adam et al, 2004 [104] |
Tabella XXXIV. Fonti di dati utilizzate nel modello, per linea terapeutica o stadio della patologia
* Per approfondimenti, vedi Capitolo “Valutazione dell’efficacia e sicurezza della tecnologia”
Anche i dati di efficacia di OS (Overall Survival), PFS (Progression Free Survival) e ORR (Overall Response Rate), relativi alle terapie di prima, seconda e terza linea, fanno riferimento ai dati pubblicati negli studi elencati nella Tabella XXXIV. La Tabella XXXV illustra gli outcome clinici che sono stati utilizzati per la parametrizzazione dell’analisi.
|
Outcome clinici |
Regimi di trattamento |
Cetuximab* |
Bevacizumab |
Panitumumab* |
|
PFS (mesi) |
Mabs + FOLFOX vs FOLFOX |
OPUS [142] 8,3 vs 7,2; HR = 0,567 (p = 0,0064) |
NO16966 (FX) [161] 9,4 vs 8,0; HR = 0,83 (p = 0,0023) |
PRIME [162] 9,6 vs 8,0; HR = 0,80 (p = 0,02) |
|
Mabs + FOLFIRI vs FOLFIRI |
CRYSTAL [140,141] 9,9 vs 8,4; HR = 0,696 (p = 0,0012) |
- |
- |
|
|
Mabs + IFL vs IFL |
- |
Hurwitz, 2004 [158] 10,6 vs 6,2; HR = 0,54 (p < 0,001) |
- |
|
|
OS (mesi) |
Mabs + FOLFOX vs FOLFOX |
OPUS [142] 22,8 vs 18,5; HR = 0,855 (NS) |
NO16966 (FX) [161] 21,3 vs 19,9; HR = 0,89 (NS) |
PRIME [162] 23,9 vs 19,7; HR = 0,83 (NS) |
|
Mabs + FOLFIRI vs FOLFIRI |
CRYSTAL [140,141] 23,5 vs 20,0; HR = 0,796 (p = 0,0094) |
- |
- |
|
|
Mabs + IFL vs IFL |
- |
Hurwitz, 2004 [158] 20,3 vs 13,6; HR = 0,66 (p < 0,001) |
- |
|
|
Tasso di risposta (%) |
Mabs + FOLFOX vs FOLFOX |
OPUS [142] 57,3 vs 34,0 (p = 0,0027) |
NO16966 (FX) [161] 38,0 vs 38,0 (NS) |
PRIME [162] 55,0 vs 48,0 (NS) |
|
Mabs + FOLFIRI vs FOLFIRI |
CRYSTAL [140,141] 57,3 vs 39,7 (p < 0,0001) |
- |
- |
|
|
Mabs + IFL vs IFL |
- |
Hurwitz, 2004 [158] 44,8 vs 34,8 (p = 0,004) |
- |
Tabella XXXV. Dati clinici utilizzati per la parametrizzazione del modello
* Dati riferiti al sottogruppo di pazienti KRAS wild-type
L’OS e la PFS sono state calcolate utilizzando i modelli di regressione di Weibull e il Solver Tool. L’analisi è stata poi ottimizzata con il metodo parametrico di Kaplan Meier. Per quanto riguarda il tasso di resezione chirurgica delle metastasi nei pazienti inizialmente non operabili, l’approccio è stato quello d’impiegare le stesse assunzioni utilizzate da NICE per la valutazione economica su cetuximab illustrata nel Single Technology Appraisal del 2009. Nell’assessment, gli autori, opportunamente supportati da un panel di esperti clinici, sostengono che il tasso di resezione chirurgica R0 del 43%, riportato nel trial di fase II CELIM, costituisce un’assunzione realistica per l’analisi economica. Nell’assessment, si stima che il tasso R0 in soggetti trattati con solo FOLFOX e FOLFIRI, è pari, rispettivamente, al 22% e al 9% dei soggetti non operabili all’inizio della terapia (desumibile dallo studio GERCOR). Sfortunatamente l’analisi condotta dal NICE non ha incluso bevacizumab e panitumumab nell’analisi. L’assunzione di base della presente analisi consiste nell’ipotizzare un tasso di resezione R0 del 22% con entrambe le terapie, in associazione con FOLFOX. In altre parole si assume che il tasso R0 in pazienti trattati con FOLFOX sia simile a quello in pazienti trattati con le combinazioni panitumumab + FOLFOX e bevacizumab + FOLFOX. Questa assunzione è giustificata dal fatto che nessuno studio condotto su panitumumab o bevacizumab ha dimostrato un aumento del tasso R0 rispetto al gruppo di controllo (solo chemioterapia). I tassi R0 impiegati nel modello sono illustrati nella Tabella XXXVI.
|
Trattamento |
Tasso di resezione R0 (%) |
|
Panitumumab + FOLFOX vs FOLFOX |
22 |
|
Bevacizumab + FOLFOX vs FOLFOX |
22 |
|
Cetuximab + FOLFIRI vs FOLFIRI |
43 |
|
Cetuximab+ FOLFOX vs FOLFOX |
43 |
|
FOLFOX |
22 |
|
FOLFIRI |
9% |
Tabella XXXVI. Tassi di resezione chirurgica delle metastasi popolazione KRAS wild-type, usati come input nel modello
Per quanto riguarda l’incidenza di eventi avversi, sono stati presi in considerazione soltanto gli episodi di grado 3 o 4 che si sono verificati in almeno il 5% dei casi, in almeno uno dei trial che sono valutati in quest’analisi. Di questi eventi avversi è stato calcolato l’aumento assoluto del rischio (ΔRR, espresso in %), rispetto al gruppo di controllo, ossia la chemioterapia (non in associazione).
Gli eventi di grado 3 e 4 più comuni sono stati:
Le utilità correlate allo stato di salute sono state considerate nelle diverse fasi di progressione della malattia secondo un modello Markoviano. L’utilità nel periodo successivo alla resezione curativa sono state prese in considerazione per i pazienti liberi della malattia e per quelli con malattia ricorrente [104]. È stato ipotizzato che i pazienti con malattia stabile abbiano utilità uguali a quelle della popolazione generale. Nei pazienti con malattia progressiva, l’utilità è stata stimata come la media ponderata delle utilità nella seconda e terza linea di trattamento.
Dati di costo inseriti nel modello
L’analisi è stata condotta utilizzando la prospettiva del SSN italiano e valorizzando esclusivamente i costi sanitari diretti. I costi inclusi nel modello sono:
Terapie farmacologiche
Per tutte le terapie considerate nell’analisi è stato riportato il costo ex-factory, in altre parole il prezzo massimo di cessione al SSN. Per quelle terapie per cui è disponibile una formulazione generica è stato utilizzato il prezzo al mg più basso tra quelli disponibili in commercio. Al fine di effettuare una quantificazione realistica dei costi che tenesse conto del reale impatto della terapia sul budget del SSN, sono stati applicati gli sconti obbligatori attualmente pubblicati in Gazzetta Ufficiale, oltre a quelli non pubblicati. È stato quantificato attraverso una serie di calcoli, ed espresso in termini percentuali, l’impatto degli schemi di risk sharing e payment by results sulla riduzione del prezzo ex-factory. Pertanto i costi unitari introdotti nel modello costituiscono una stima dei costi netti affrontati dal SSN. La Tabella XXXVII illustra i costi per mg delle singole terapie, al netto di sconti e altre condizioni negoziali.
|
Terapia |
Costo (€/mg) |
|
Cetuximab |
1,17 |
|
Bevacizumab |
2,03 |
|
Panitumumab |
3,42 |
|
Oxaliplatino |
2,47 |
|
5-Fluorouracile (5-FU) |
0,00 |
|
Leucovorina |
0,10 |
|
Irinotecan |
0,93 |
|
Clorfenamina, endovena |
0,09 |
|
Desametasone, orale |
0,13 |
Tabella XXXVII. Costi per la terapia farmacologica
I calcoli dei costi per la terapia farmacologica sono stati impostati assumendo un peso medio del paziente pari a 70 kg e una superficie corporea pari a 1,8 m2. Per quanto riguarda il trattamento di seconda linea, lo schema di trattamento è stato ricavato dal trial GERCOR, che presuppone che i pazienti possano ricevere FOLFOX o FOLFIRI in seconda linea a seconda dello schema chemioterapico che hanno precedentemente ricevuto. Poiché non è possibile determinare a priori quale trattamento tra FOLFOX e FOLFIRI sarà impiegato in seconda linea, ai fini della quantificazione economica è stato adottato un costo medio dei degli schemi terapeutici FOLFIRI (acido folinico 200 mg/m2, irinotecan 180 mg/m2, 5-FU 2.400-3.000 mg/m2) e FOLFOX (acido folinico 200 mg/m2, 5-FU 2.400-3.000 mg/m2, oxaliplatino 100 mg/m2).
Pre-medicazione
Solo per cetuximab, prima della prima infusione, i pazienti devono ricevere una pre-medicazione con un antistaminico e un corticosteroide. Questa pre-medicazione è raccomandata prima di tutte le infusioni successive.
Cetuximab è somministrato una volta alla settimana in tutte le indicazioni. La dose iniziale è di 400 mg di cetuximab per m2 di superficie corporea. Tutte le successive dosi settimanali sono ciascuna di 250 mg di cetuximab per m2, come riportato nel Riassunto delle Caratteristiche di Prodotto. Sempre in un’ottica di costo per il SSN, anche per la terapia di premedicazione è stato considerato il prezzo ex-factory al mg è stato calcolato come 50% del prezzo al pubblico senza IVA, trattandosi di farmaci di fascia C.
Somministrazione della chemioterapia
I costi sono stati quantificati utilizzando le tariffe dei Diagnosis Related Groups (DRG), pubblicate nel Testo Unico della Compensazione Interregionale della Mobilità Sanitaria 2010 (TUC 2010) [170]. L‘erogazione della terapia chemioterapica può essere quantificata con il DRG 410j (specifico per la Regione Lombardia) o con il DRG 410. In ipotesi di somministrazione quantificata con il DRG 410 al costo di € 436,18 [170] non è necessario aggiungere il costo relativo alla terapia farmacologica. Al contrario, al DRG 410j quantificato a un costo di € 44,0 (valore riconosciuto dalla regione Lombardia) corrisponde solo il costo della somministrazione, a cui quindi, va aggiunto il costo del farmaco, normalmente erogato in regime di file F, al costo massimo di cessione al SSN (ex-factory). Nel modello si considera il valore del DRG 410 per i pazienti trattati in regime di inpatient e 410j per quelli in outpatient.
Resezione di metastasi epatiche
La resezione di metastasi epatiche è un’opzione di trattamento valida soltanto per pazienti liberi da progressione. La tariffa impiegata per la valorizzazione di questo intervento è quella relativa al Ricovero Ordinario del DRG 191 – Interventi su pancreas, fegato e di shunt con cc.
Esami di monitoraggio
Nella monetizzazione delle analisi diagnostiche e strumentali normalmente effettuate in questi soggetti per il monitoraggio della patologia e delle terapie, è stato utilizzato il tariffario delle prestazioni di assistenza specialistica e ambulatoriale erogabili dal Servizio Sanitario Nazionale (2009).
Test diagnostico per l’identificazione delle mutazioni del gene KRAS
La ricerca dello stato mutazionale del gene KRAS deve precedere la prima infusione di cetuximab e panitumumab. Non essendo, quindi un valore predittivo per l’inizio della terapia con bevacizumab, il costo a esso relativo viene considerato nel modello solo per cetuximab e panitumumab.
Eventi avversi (grado 3-4)
Il costo degli eventi avversi è stato quantificato ipotizzando che ogni evento potesse essere gestito in ospedale in forma di ricovero ordinario o di Day-Hospital.
Best Supportive Care (BSC)
Per la quantificazione della BSC si è stimato un costo giornaliero pari a € 35,5, corrispondente a € 1.065 mensili [171]. Questo dato comprende:
La Tabella XXXVIII riporta nel dettaglio le altre voci di costo (o tariffe) unitarie impiegate nel modello e le relative fonti.
Voce di costo | Tariffa (€) | Fonte |
Interventi su pancreas, fegato e di shunt con cc | RO: 15.532,72; DH: 2.505,03 | DRG 191, TUC 2010 [170] |
Test diagnostico per l'identificazione delle mutazioni del gene KRAS | 160,00 | Horizon Scanning report N.4 AGENAS [172] |
Antigene carcino embrionario CEA | 12,68 | AGENAS – Tariffario delle Prestazioni Specialistiche Ambulatoriali 2009 [173] |
Antigene carboidratico 19.9 CA | 17,39 | |
Test funzionalità epatica | ||
Fosfatasi alcalina | 2,00 | |
Bilirubina | 1,78 | |
ALT | 1,92 | |
AST | 1,92 | |
γ-GT | 1,83 | |
Proteine | 1,52 | |
Albuminemia | 2,68 | |
Totale | 13,65 | |
RM addome superiore con e senza mezzo di contrasto | 264,44 | |
Iniezione o infusione di sostanze chemioterapiche per tumore | 30,52 | |
TC dell'addome superiore | 94,53 | |
TC del torace | 94,74 | |
Colonscopia | 72,64 | |
Eventi avversi | ||
Neutropenia | RO: 1.803,51; DH: 235,39 | DRG 399, TUC 2010 [170] |
Leucopenia | RO: 1.803,51; DH: 235,39 | DRG 399, TUC 2010 [170] |
Diarrea | RO: 2.265,08; DH: 200,10 | DRG 297, TUC 2010 [170] |
Nausea | RO: 2.076,75; DH: 197,08 | DRG 182, TUC 2010 [170] |
Fatica | RO: 3.374,74; DH: 215,16 | DRG 82, TUC 2010 [170] |
Tossicità della pelle | RO: 1.671,81; DH: 182,03 | DRG 278, TUC 2010 [170] |
Mucosite | RO: 1.170,28; DH: 190,20 | DRG 183, TUC 2010 [170] |
Tossicità neurologica | RO: 1.314,10; DH: 199,24 | DRG 19, TUC 2010 [170] |
Ipomagnesia | RO: 2.265,08; DH: 200,10 | DRG 297, TUC 2010 [170] |
Ipocalcemia | RO: 2.265,08; DH: 200,10 | DRG 297, TUC 2010 [170] |
Tromboembolismo Venoso (VTE) | RO: 2.936,97; DH: 207,84 | DRG 130, TUC 2010 [170] |
Tabella XXXVIII. Voci di costo/tariffa impiegati nel modello economico
RO = Ricovero ordinario; DH = Day-hospital
Risultati dell’analisi – caso base
In base alle assunzioni precedentemente riportate è stata condotta l’analisi economica, impostando i seguenti parametri:
La Tabella XXXIX illustra i dati di sopravvivenza complessiva, sopravvivenza libera da malattia, sopravvivenza aggiustata per la qualità di vita, e i costi delle sei alternative incluse nell’analisi. Questi dati sono stati utilizzati per calcolare i rapporti incrementali costo-efficacia (ICER) di cetuximab, in combinazione con FOLFOX o FOLFIRI. La Tabella XL riporta i risultati finali dell’analisi.
In base ai risultati dell’analisi del caso base, cetuximab in combinazione sia con FOLFIRI, sia con FOLFOX, risulta essere costo-efficace rispetto a bevacizumab e alle chemioterapie non associate (FOLFOX-4 e FOLFIRI), e dominante (meno costoso e più efficace) rispetto a panitumumab. Nella situazione più sfavorevole (confronto cetuximab + FOLFOX vs FOLFOX), l’ICER è pari a € 10.120, valore che può considerarsi accettabile per una terapia oncologica.
|
Trattamento |
Sopravvivenza (mesi) |
Sopravvivenza libera da malattia (anni) |
QALY |
Costo (€) |
|
Cetuximab + FOLFOX-4 |
46,63 |
0,67 |
2,92 |
29.557 |
|
Bevacizumab + FOLFOX-4 |
34,09 |
0,74 |
2,12 |
25.128 |
|
Panitumumab + FOLFOX-4 |
34,81 |
0,82 |
2,17 |
32.119 |
|
FOLFOX-4 |
32,51 |
0,56 |
2,01 |
17.643 |
|
Cetuximab + FOLFIRI |
46,96 |
0,70 |
2,94 |
29.154 |
|
FOLFIRI |
25,95 |
0,74 |
1,60 |
15.983 |
Tabella XXXIX. Caso base: sommario dei risultati clinici e dei dati di costo
|
Alternative |
ICER – costo per anno di vita (€) |
Esito dell’analisi |
ICER – costo per QALY (€) |
Esito dell’analisi |
|
Cetuximab + FOLFOX-4 vs bevacizumab + FOLFOX-4 |
4.237 |
Cetuximab costo-efficace |
5.507 |
Cetuximab costo-efficace |
|
Cetuximab + FOLFOX-4 vs panitumumab + FOLFOX-4 |
-2.601 |
Cetuximab dominante |
-3.388 |
Cetuximab dominante |
|
Cetuximab + FOLFOX-4 vs FOLFOX-4 |
10,120 |
Cetuximab costo-efficace |
13.107 |
Cetuximab costo-efficace |
|
Cetuximab + FOLFIRI vs FOLFIRI |
7.521 |
Cetuximab costo-efficace |
9.769 |
Cetuximab costo-efficace |
|
Cetuximab + FOLFIRI vs bevacizumab + FOLFOX-4 |
3.753 |
Cetuximab costo-efficace |
4.876 |
Cetuximab costo-efficace |
|
Cetuximab + FOLFIRI vs panitumumab + FOLFOX-4 |
-2.928 |
Cetuximab dominante |
-3.811 |
Cetuximab dominante |
Tabella XL. Caso base: analisi del rapporto incrementale costo-efficacia (ICER)
Analisi di sensibilità
Sono state condotte diverse analisi di sensibilità a una via allo scopo di testare la robustezza della valutazione economica. Di seguito l’elenco dei parametri variati, il tipo e l’entità della variazione:
La Tabella XLI riporta i risultati delle analisi di sensibilità.
L’analisi di sensibilità evidenzia una buona robustezza dell’analisi. Anche una significativa riduzione del tasso di resezione chirurgica (riduzione assolta del rischio: -10%) non modifica di fatto il trend trovato nell’analisi del caso base. Ovviamente tale solidità dipende dall’assunzione iniziale fatta nel caso base, per cui è stato ipotizzato un tasso R0 per cetuximab simile a quello trovato nello studio CELIM.
|
ICER |
Cetuximab + FOLFOX-4 vs Bevacizumab + FOLFOX-4 |
Cetuximab + FOLFOX-4 vs Panitumumab + FOLFOX-4 |
Cetuximab + FOLFOX-4 vs FOLFOX-4 |
Cetuximab + FOLFIRI vs FOLFIRI |
Cetuximab + FOLFIRI Bevacizumab + FOLFOX-4 |
Cetuximab + FOLFIRI Panitumumab + FOLFOX-4 |
|
Assenza di sconto per risk sharing |
6.837 |
2.183 |
15.568 |
11.590 |
6.949 |
2.429 |
|
Costo del test KRAS a carico dell’azienda farmaceutica |
3.981 |
-2.601 |
9.893 |
7.369 |
3.505 |
-2.929 |
|
R0 |
||||||
|
38% |
5.372 |
-3.520 |
12.565 |
8.671 |
4.785 |
-3.817 |
|
33% |
7.437 |
-5.278 |
16.639 |
10.238 |
6.610 |
-5.466 |
|
Peso corporeo pz |
||||||
|
77 kg |
3.535 |
-4.017 |
10.120 |
7.521 |
3.069 |
-4.305 |
|
63 kg |
4.938 |
-1.186 |
10.120 |
7.521 |
4.437 |
-1.551 |
|
Superficie corporea pz |
||||||
|
1,90 m2 |
4.777 |
-2.008 |
10.620 |
7.863 |
4.248 |
-2.385 |
|
1,70 m2 |
3.696 |
-3.195 |
9.619 |
7.180 |
3.258 |
-3.471 |
|
Orizzonte temporale |
||||||
|
15 anni |
3.802 |
-2.248 |
9.134 |
6.735 |
3.367 |
-2.562 |
|
20 anni |
3.624 |
-2.106 |
8.723 |
6.410 |
3.207 |
-2.414 |
|
Tasso di sconto = 15% |
4.568 |
-2.720 |
10.768 |
8.043 |
4.035 |
-3.075 |
Tabella XLI. Risultati dell’analisi di sensibilità
Considerazioni conclusive
L’analisi economica su cetuximab nel trattamento del carcinoma metastatico del colon-retto evidenzia che questa terapia, in associazione con FOLFOX e FOLFIRI, rappresenta un’alternativa quantomeno costo-efficace rispetto alle alternative attualmente disponibili (bevacizumab + FOLFOX, FOLFOX, FOLFIRI) e, con un buon margine di confidenza, dominante rispetto a panitumumab (ipotizzando però per questo farmaco un livello di prezzo simile a quello attualmente rimborsato dal SSN nel trattamento di seconda linea del carcinoma metastatico del colon-retto KRAS wild-type). Il più elevato costo d’acquisizione (costo mensile, al netto degli sconti) di cetuximab rispetto a bevacizumab e alle chemioterapie è giustificato da un vantaggio in termine di sopravvivenza complessiva e QALY (Quality Adjusted Life Years). Il vantaggio stimato dal modello di Markov è attribuibile al guadagno di sopravvivenza nei pazienti, inizialmente non operabili, a seguito della terapia con cetuximab hanno la possibilità di essere sottoposti alla resezione chirurgica delle metastasi. La prognosi dei pazienti sottoposti a questo intervento, il cui tasso di successo (cfr appraisal NICE [163]) è molto elevato (si stima un tasso di fallimento dell’ordine del 5%), è nettamente favorevole rispetto a quella dei soggetti non operabili. Lo studio di Adam et al. [104] ha infatti dimostrato, su una casistica numerosa di pazienti non operabili e LLD, di assicurare una sopravvivenza a 5 anni del 33%, dato clinicamente rilevante considerata la prognosi estremamente negativa di questi pazienti.
Da questo punto di vista, cetuximab può essere considerato il farmaco con il miglior livello di evidenza sulla resezione delle metastasi, in particolare nel setting di pazienti con metastasi confinate a livello epatico (LLD). Rispetto alle altre terapie (bevacizumab, panitumumab), che non hanno dimostrato un aumento del tasso di resezione R0 rispetto al braccio di controllo, cetuximab ha dimostrato un vantaggio statisticamente significativo nelle analisi derivate dallo studio CRYSTAL. L’evidenza sulla combinazione cetuximab + FOLFOX, sebbene manchi di significatività statistica, ha un dato di superiorità numerica pari a 4 volte rispetto alla sola chemioterapia come dimostrato nello studio randomizzato OPUS. In termini assoluti, poi, lo studio CELIM ha dimostrato che nel setting di pazienti LLD la probabilità di resezione con ciascuna delle combinazioni di cetuximab (con FOLFOX e FOLFIRI) è superiore al 40%.
Per queste ragioni, cetuximab può considerarsi un’alternativa sostenibile per il SSN.
Conclusioni e raccomandazioni
Cetuximab, in combinazione con FOLFIRI o FOLFOX, ha un profilo rischio-costo-beneficio favorevole rispetto a tutte le alternative terapeutiche standard disponibili, nel trattamento di prima linea di pazienti affetti da carcinoma metastatico del colon-retto con gene KRAS non mutato (wild-type), per i seguenti motivi:
Bibliografia
1. European Medicine Agency. Erbitux® (cetuximab) – Riassunto delle Caratteristiche di Prodotto. Disponibile su http://www.ema.europa.eu/docs/it_IT/document_library/EPAR_-_Product_Information/human/000558/WC500029119.pdf
2. International Statistical Classification of Diseases and Related Health Problems 10th Revision (ICD-10). Versione 2010. Disponibile su http://apps.who.int/classifications/icd10/browse/2010/en#/C15-C26
3. Classificazione Internazionale Statistica delle Malattie ICD9CM – Versione Italiana del 1997
4. European Medicine Agency. Avastin® (bevacizumab) – Riassunto delle Caratteristiche di Prodotto. Disponibile sul sito: http://www.ema.europa.eu/docs/it_IT/document_library/EPAR_-_Product_Information/human/000582/WC500029271.pdf
5. European Medicine Agency. Vectibix® (panitumumab) – Riassunto delle Caratteristiche di Prodotto. Disponibile sul sito: http://www.ema.europa.eu/docs/it_IT/document_library/EPAR_-_Product_Information/human/000741/WC500047710.pdf
6. European Medicine Agency. Xeloda® (capecitabina) – Riassunto delle Caratteristiche di Prodotto. Disponibile sul sito: http://www.ema.europa.eu/docs/it_IT/document_library/EPAR_-_Product_Information/human/000316/WC500058151.pdf
7. Fluorouracile – Riassunto delle Caratteristiche di Prodotto
8. Oxaliplatino – Riassunto delle Caratteristiche di Prodotto
9. Irinotecan – Riassunto delle Caratteristiche di Prodotto
10. Stewart BW, Kleihus P, Editors. World Cancer Report. Lyon: IARC Press, 2003
11. WCRF’amp; AICR. Food, Nutrition, Physical Activity, and the Prevention of Cancer: a Global Perspective. Washington DC: AICR, 2007
12. Giovannucci E. An updated review of the epidemiological evidence that cigarette smoking increases risk of colorectal cancer. Cancer Epidemiol Biomarkers Prev 2001; 10: 725-31
13. von Roon AC, Reese G, Teare J, et al. The risk of cancer in patients with Crohn’s disease. Dis Colon Rectum 2007; 50: 839-55; doi: 10.1007/s10350-006-0848-z
14. Eaden JA, Abrams KR, Mayberry JF. The risk of colorectal cancer in ulcerative colitis: a meta-analysis. Gut 2001; 48: 526-35; doi: 10.1136/gut.48.4.526
15. Cali RL, Pitsch RM, Thorson AG, et al. Cumulative incidence of metachronous colorectal cancer. Dis Colon Rectum 1993; 36: 388-93; doi: 10.1007/BF02053945
16. Winawer S, Fletcher R, Rex D, et al.; Gastrointestinal Consortium Panel. Colorectal cancer screening and surveillance: clinical guidelines and rationale-Update based on new evidence. Gastroenterology 2003; 124: 544-60; doi: 10.1053/gast.2003.50044
17. Simon JB. Occult blood screening for colorectal carcinoma: a critical review. Gastroenterology 1985; 88: 820-37
18. Mandel JS, Bond JH, Church TR, et al. Reducing mortality from colorectal cancer by screening for fecal occult blood. Minnesota Colon Cancer Control Study. N Engl J Med 1993; 328: 1365-71; doi: 10.1056/NEJM199305133281901
19. Hewitson P, Glasziou P, Irwig L, et al. Screening for colorectal cancer using the faecal occult blood test, Hemoccult. Cochrane Database Syst Rev 2007; 1: CD001216
20. [No authors listed]. Recommendations on cancer screening in the European union. Advisory Committee on Cancer Prevention. Eur J Cancer 2000; 36: 1473-8; doi: 10.1016/S0959-8049(00)00122-2
21. Winawer S, Fletcher R, Rex D, et al. Colorectal cancer screening and surveillance: clinical guidelines and rationale – Update based on new evidence. Gastroenterology 2003; 124: 544-60; doi: 10.1053/gast.2003.50044
22. Hardcastel JD, Chamberlein JO, Robinson MH, et al. Randomised controlled trial of faecal-occult-blood screening for colorectal cancer. Lancet 1996; 348: 1472-7; doi: 10.1016/S0140-6736(96)03386-7
23. Kronborg O, Fenger C, Olsen J, et al. Randomised study of screening for colorectal cancer with faecal-occult-blood test. Lancet 1996; 348: 1467-71; doi: 10.1016/S0140-6736(96)03430-7
24. Mandel JS, Church TR, Ederer F, et al. Colorectal cancer mortality: effectiveness of biennal screening for fecal occult blood. J Natl Cancer Inst 1999; 91: 434-7; doi: 10.1093/jnci/91.5.434
25. Thiis-Evensen E, Hoff GS, Sauar J, et al. Population-based surveillance by colonoscopy: effect on the incidence of colorectal cancer. Telemark Polyp Study I. Scand J Gastroenterol 1999; 34: 414-20; doi: 10.1080/003655299750026443
26. Atkin WS, Cook CF, Cuzick J, et al. UK Flexible Sigmoidoscopy Screening trial Investigators. Single flexible sigmoidoscopy screening to prevent colorectal cancer: baseline findings of a UK multicentre randomized trial. Lancet 2002; 359: 1291-300; doi: 10.1016/S0140-6736(02)08268-5
27. Citarda F, Tomaselli G, Capocaccia R, et al. Efficacy in standard clinical practice of colonscopic polypectomy in reducing colorectal cancer incidence. Gut 2001; 48: 812-5; doi: 10.1136/gut.48.6.812
28. Lieberman DA, Weiss DG, Bond JH, et al. Use of colonscopy to screen asymptomatic adults for colorectal cancer. Veterans Affairs Cooperative Study Group 380. N Engl J Med 2000; 343: 162-8; doi: 10.1056/NEJM200007203430301
29. Imperiale TF, Wagner DR, Lin CY, et al. Risk of advanced proximal neoplasm in asymptomatic adults according to the distal colorectal findings. N Engl J Med 2000; 343: 169-74; doi: 10.1056/NEJM200007203430302
30. Cohen AM, Minsky BD, Schilsky RL. Colon Cancer. In: De Vita VT, Hellman S, Rosenberg SA, editors. Cancer: principles and practice of oncology. 4th ed. Philadelphia: JB Lippincott Company, 1993. pp. 929-77
31. Sobin LH, Gospodarowicz M, Wittekind Ch, editors. UICC (International Union Against Cancer). TNM classification of malignant tumours. 7th ed. New York, Chichester, Weinheim, Brisbane, Singapore, Toronto: Wiley-Blackwell, 2009
32. Eisenberg B, DeCosse JJ, Harford F, et al. Carcinoma of the colon and rectum: the natural history reviewed in 1704 patients. Cancer 1982; 49: 1131-4; doi: 10.1002/1097-0142(19820315)49:6<1131::AID-CNCR2820490611>3.0.CO;2-T
33. Olson RM, Perencevich NP, Malcolm AW, et al. Patterns of recurrence following curative resection of adenocarcinoma of the colon and rectum. Cancer 1980; 45: 2969-74; doi: 10.1002/1097-0142(19800615)45:12<2969::AID-CNCR2820451214>3.0.CO;2-7
34. Steinberg SM, Barkin JS, Kaplan RS, et al. Prognostic indicators of colon tumors. The Gastrointestinal Tumor Study Group experience. Cancer 1986; 57: 1866-70; doi: 10.1002/1097-0142(19860501)57:9<1866::AID-CNCR2820570928>3.0.CO;2-T
35. Sternberg A, Sibirsky O, Cohen D, et al. Validation of a new classification system for curatively resected colorectal adenocarcinoma. Cancer 1999; 86: 782-92; doi: 10.1002/(SICI)1097-0142(19990901)86:5<782::AID-CNCR13>3.0.CO;2-R
36. Filella X, Molina R, Grau JJ, et al. Prognostic value of CA 19.9 levels in colorectal cancer. Ann Surg 1992; 216: 55-9; doi: 10.1097/00000658-199207000-00008
37. Köhne CH, Cunningham D, Di Costanzo F, et al. Clinical determinants of survival in patients with 5-fluorouracil-based treatment for metastatic colorectal cancer: results of a multivariate analysis of 3825 patients. Ann Oncol 2002; 13: 308-17 ; doi: 10.1093/annonc/mdf034
38. Associazione Italiana Oncologia Medica (AIOM). Linee guida AIOM – Tumori del colon-retto (aggiornamento Dicembre 2010)
39. André T, Quinaux E, Louvet C, et al. Phase III study comparing a semimonthly with a monthly regimen of fluorouracil and leucovorin as adjuvant treatment for stage II and III colon cancer patients: final results of GERCOR C96.1. J Clin Oncol 2007; 25: 3732-8; doi: 10.1200/JCO.2007.12.2234
40. [No authors listed] Efficacy of adjuvant fluorouracil and folinic acid in colon cancer. International Multicentre Pooled Analysis of Colon Cancer Trials (IMPACT) investigators. Lancet 1995; 345: 939-44; doi: 10.1016/S0140-6736(95)90696-7
41. [No authors listed]. NIH consensus conference. Adjuvant therapy for patients with colon and rectal cancer. JAMA 1990; 264: 1444-50; doi: 10.1001/jama.1990.03450110090034
42. Benson AB 3rd, Schrag D, Somerfield MR, et al. American Society of Clinical Oncology recommendations on adjuvant chemotherapy for stage II colon cancer. J Clin Oncol 2004; 22: 3408-19; doi: 10.1200/JCO.2004.05.063
43. Saltz LB, Niedzwiecki D, Hollis D, et al. Irinotecan fluorouracil plus leucovorin is not superior to fluorouracil plus leucovorin alone as adjuvant treatment for stage III colon cancer: results of CALGB 89803. J Clin Oncol 2007; 25: 3456-61; doi: 10.1200/JCO.2007.11.2144
44. Kuebler JP, Wieand HS, O’Connell MJ, et al. Oxaliplatin combined with weekly bolus fluorouracil and leucovorin as surgical adjuvant chemotherapy for stage II and III colon cancer: results from NSABP C-07. J Clin Oncol 2007; 25: 2198-204; doi: 10.1200/JCO.2006.08.2974
45. André T, Boni C, Mounedji-Boudiaf L, et al.; Multicenter International Study of Oxaliplatin/5-Fluorouracil/Leucovorin in the Adjuvant Treatment of Colon Cancer (MOSAIC) Investigators. Oxaliplatin, fluorouracil, and leucovorin as adjuvant treatment for colon cancer. N Engl J Med 2004; 350: 2343-51
46. Twelves C, Wong A, Nowacki MP, et al. Capecitabine as adjuvant treatment for stage III colon cancer. N Engl J Med 2005; 352: 2696-704; doi: 10.1056/NEJMoa043116
47. Chen ET, Mohiuddin M, Brodovsky H, et al. Downstaging of advanced rectal cancer following combined preoperative chemotherapy and high dose radiation. Int J Radiat Oncol Biol Phys 1994; 30: 169-75; doi: 10.1016/0360-3016(94)90532-0
48. Colorectal Cancer Collaborative Group. Adjuvant radiotherapy for rectal cancer: a systematic overview of 8,507 patients from 22 randomised trials. Lancet 2001; 358: 1291-304; doi: 10.1016/S0140-6736(01)06409-1
49. Kapiteijn E, Marijnen CA, Nagtegaal ID, et al.; Dutch Colorectal Cancer Group. Preoperative radiotherapy combined with total mesorectal excision for resectable rectal cancer. N Engl J Med 2001; 345: 638-46; doi: 10.1056/NEJMoa010580
50. Krook JE, Moertel CG, Gunderson LL, et al. Effective surgical adjuvant therapy for high-risk rectal carcinoma. N Engl J Med 1991; 324: 709-15; doi: 10.1056/NEJM199103143241101
51. Sauer R, Becker H, Hohenberger W, et al.; German Rectal Cancer Study Group. Preoperative versus postoperative chemoradiotherapy for rectal cancer. N Engl J Med 2004; 351: 1731-40; doi: 10.1056/NEJMoa040694
52. Gérard JP, Conroy T, Bonnetain F,et al. Preoperative radiotherapy with or without concurrent fluorouracil and leucovorin in T3-4 rectal cancers: results of FFCD 9203. J Clin Oncol 2006; 24: 4620-5; doi: 10.1200/JCO.2006.06.7629
53. [No authors listed]. Modulation of fluorouracil by leucovorin in patients with advanced colorectal cancer: evidence in terms of response rate. Advanced Colorectal Cancer Meta-Analysis Project. J Clin Oncol 1992; 10: 896-903
54. Cunningham D, Pyrhönen S, James RD, et al. Randomised trial of irinotecan plus supportive care versus supportive care alone after fluorouracil failure for patients with metastatic colorectal cancer. Lancet 1998; 352: 1413-8; doi: 10.1016/S0140-6736(98)02309-5
55. de Gramont A, Vignoud J, Tournigand C, et al. Oxaliplatin with high-dose leucovorin and 5-fluorouracil 48-hour continuous infusion in pretreated metastatic colorectal cancer. Eur J Cancer 1997; 33: 214-9; doi: 10.1016/S0959-8049(96)00370-X
56. Douillard JY, Cunningham D, Roth AD, et al. Irinotecan combined with fluorouracil compared with fluorouracil alone as first-line treatment for metastatic colorectal cancer: a multicentre randomised trial. Lancet 2000; 355: 1041-7; doi: 10.1016/S0140-6736(00)02034-1
57. Giacchetti S, Perpoint B, Zidani R, et al. Phase III multicenter randomized trial of oxaliplatin added to chronomodulated fluorouracil-leucovorin as first-line treatment of metastatic colorectal cancer. J Clin Oncol 2000; 18: 136-47
58. [No authors listed]. An international, multidisciplinary approach to the management of advanced colorectal cancer. The International Working Group in Colorectal Cancer. Eur J Surg Oncol 1997; 23 Suppl A: 1-66
59. Falcone A, Ricci S, Brunetti I, et al.; Gruppo Oncologico Nord Ovest. Phase III trial of infusional fluorouracil, leucovorin, oxaliplatin, and irinotecan (FOLFOXIRI) compared with infusional fluorouracil, leucovorin, and irinotecan (FOLFIRI) as first-line treatment for metastatic colorectal cancer: the Gruppo Oncologico Nord Ovest. J Clin Oncol 2007; 25: 1670-6; doi: 10.1200/JCO.2006.09.0928
60. Seymour MT, Maughan TS, Ledermann JA, et al.; FOCUS Trial Investigators; National Cancer Research Institute Colorectal Clinical Studies Group. Different strategies of sequential and combination chemotherapy for patients with poor prognosis advanced colorectal cancer (MRC FOCUS): a randomised controlled trial. Lancet 2007; 370: 143-52; doi: 10.1016/S0140-6736(07)61087-3
61. Fuchs CS, Marshall J, Mitchell E, et al. Randomized, controlled trial of irinotecan plus infusional, bolus, or oral fluoropyrimidines in first-line treatment of metastatic colorectal cancer: results from the BICC-C Study. J Clin Oncol 2007; 25: 4779-86; doi: 10.1200/JCO.2007.11.3357
62. Van Cutsem E, Nordlinger B, Cervantes A; ESMO Guidelines Working Group. Advanced colorectal cancer: ESMO Clinical Practice Guidelines for treatment. Ann Oncol 2010; 21 Suppl 5: v93-7; doi: 10.1093/annonc/mdq222
63. Grothey A, Sargent DJ. FOLFOX for stage II colon cancer? A commentary on the recent FDA approval of oxaliplatin for adjuvant therapy of stage III colon cancer. J Clin Oncol 2005; 23: 3311-3; doi: 10.1200/JCO.2005.11.691
64. Adenis A, Aranda Aguilar E, Robin YM, et al. Expression of the epidermal growth factor receptor (EGFR or HER1) and human epidermal growth factor receptor 2 (HER2) in a large scale metastatic colorectal cancer (mCRC) trial. J Clin Oncol 23(16S): Abstract 3630. Updated information presented at meeting, 2005
65. Messa C, Russo F, Caruso MG, et al. EGF, TGF-alpha, and EGF-R in human colorectal adenocarcinoma. Acta Oncol 1998; 37: 285-9; doi: 10.1080/028418698429595
66. Radinsky R, Risin S, Fan D, et al. Level and function of epidermal growth factor receptor predict the metastatic potential of human colon carcinoma cells. Clin Cancer Res 1995; 1: 19-31
67. Spano JP, Lagorce C, Atlan D, et al. Impact of EGFR expression on colorectal cancer patient prognosis and survival. Ann Oncol 2005; 16: 102-8; doi: 10.1093/annonc/mdi006
68. Karapetis CS, Khambata-Ford S, Jonker DJ, et al. K-ras mutations and benefit from cetuximab in advanced colorectal cancer. N Engl J Med 2008; 359: 1757-65; doi: 10.1056/NEJMoa0804385
69. McNeil C. K-ras mutations are changing practice in advanced colorectal cancer. J Natl Cancer Inst 2008; 100: 1667-9; doi: 10.1093/jnci/djn429
70. Van Cutsem E, Nordlinger B, Cervantes A; ESMO Guidelines Working Group. Advanced colorectal cancer: ESMO Clinical Practice Guidelines for treatment. Ann Oncol 2010; 21 Suppl 5: v93-7; doi: 10.1093/annonc/mdq222
71. Van Cutsem E, Peeters M, Siena S, et al. Open-label phase III trial of panitumumab plus best supportive care compared with best supportive care alone in patients with chemotherapy-refractory metastatic colorectal cancer. J Clin Oncol 2007; 25: 1658-64; doi: 10.1200/JCO.2006.08.1620
72. Amado RG, Wolf M, Peeters M, et al. Wild-type KRAS is required for panitumumab efficacy in patients with metastatic colorectal cancer. J Clin Oncol 2008; 26: 1626-34; doi: 10.1200/JCO.2007.14.7116
73. Jonker DJ, O’Callaghan CJ, Karapetis CS, et al. Cetuximab for the treatment of colorectal cancer. N Engl J Med 2007; 357: 2040-8; doi: 10.1056/NEJMoa071834
74. Tol J, Koopman M, Cats A, et al. Chemotherapy, bevacizumab, and cetuximab in metastatic colorectal cancer. N Engl J Med 2009; 360: 563-72; doi: 10.1056/NEJMoa0808268
75. Hecht JR, Mitchell E, Chidiac T, et al. A randomized phase IIIB trial of chemotherapy, bevacizumab, and panitumumab compared with chemotherapy and bevacizumab alone for metastatic colorectal cancer. J Clin Oncol 2009; 27: 672-80; doi: 10.1200/JCO.2008.19.8135
76. Masi G, Fornaro L, Caparello C, et al. Liver metastases from colorectal cancer: how to best complement medical treatment with surgical approaches. Future Oncol 2011; 7: 1299-323; doi: 10.2217/fon.11.108
77. Folprecht G, Gruenberger T, Bechstein WO, et al. Tumour response and secondary resectability of colorectal liver metastases following neoadjuvant chemotherapy with cetuximab: the CELIM randomised phase 2 trial. Lancet Oncol 2010; 11: 38-47; doi: 10.1016/S1470-2045(09)70330-4
78. Garufi C, Torsello A, Tumolo S, et al. Cetuximab plus chronomodulated irinotecan, 5-fluorouracil, leucovorin and oxaliplatin as neoadjuvant chemotherapy in colorectal liver metastases: POCHER trial. Br J Cancer 2010; 103: 1542-7; doi: 10.1038/sj.bjc.6605940
79. Desch CE, Benson AB 3rd, Somerfield MR, et al.; American Society of Clinical Oncology. Colorectal cancer surveillance: 2005 update of an American Society of Clinical Oncology practice guideline. J Clin Oncol 2005; 23: 8512-9; doi: 10.1200/JCO.2005.04.0063
80. Allegra CJ, Jessup JM, Somerfield MR, et al. American Society of Clinical Oncology provisional clinical opinion: testing for KRAS gene mutations in patients with metastatic colorectal carcinoma to predict response to anti-epidermal growth factor receptor monoclonal antibody therapy. J Clin Oncol 2009; 27: 2091-6; doi: 10.1200/JCO.2009.21.9170
81. Agenzia Italiana del Farmaco. Registro farmaci oncologici sottoposti a monitoraggio. Disponibile su http://antineoplastici.agenziafarmaco.it/
82. Verbale della Commissione Terapeutica Regionale del Veneto – Cetuximab nel carcinoma del colon-retto. Disponibile su http://www.uvef.it/extfiles/10429/attachment/FILE1315223424980-149.pdf
83. Raccomandazioni della Regione Emilia Romagna sull’impiego di cetuximab nel carcinoma del colon-retto. Disponibile su http://www.saluter.it/documentazione/ptr/elaborati/101-raccomandazioni-cetuximab/view
84. Verbale della Commissione Terapeutica Regionale del Veneto – Bevacizumab nel carcinoma del colon-retto. Disponibile su http://www.uvef.it/extfiles/10429/attachment/FILE1315225311083-153.pdf
85. Raccomandazioni della Regione Emilia Romagna sull’impiego di cetuximab nel carcinoma del colon-retto. Disponibile su http://www.saluter.it/documentazione/ptr/elaborati/100-raccomandazioni-bevacizumab/view
86. Raccomandazioni della Regione Emilia Romagna sull’impiego di panitumumab nel carcinoma del colon-retto. Disponibile su http://www.saluter.it/documentazione/ptr/elaborati/78-panitumumab/view
87. Verbale della Commissione Terapeutica Regionale del Veneto – Impiego di capecitabina. Disponibile su http://www.uvef.it/extfiles/10429/attachment/FILE1315397055710-5.pdf
88. Ferlay J, Shin HR, Bray F, et al. Estimates of worldwide burden of cancer in 2008: GLOBOCAN 2008. Int J Cancer 2010; 127: 2893-917; doi: 10.1002/ijc.25516.
89. Ferlay J, Parkin DM, Steliarova-Foucher E. Estimates of cancer incidence and mortality in Europe in 2008. Eur J Cancer 2010; 46: 765-81; doi: 10.1016/j.ejca.2009.12.014
90. Epidemiologia dei tumori. Centro Nazionale di Epidemiologia, Sorveglianza e Promozione della Salute - Istituto Superiore di Sanità (ISS). I tumori in Italia. Disponibile su http://www.tumori.net/it/banca_dati/query.php
91. Rapporto AIRTUM 2011. La sopravvivenza dei pazienti oncologici in Italia. Disponibile su http://www.registri-tumori.it/cms/Rapp2011
92. Downward J. Targeting RAS signalling pathways in cancer therapy. Nat Rev Cancer 2003; 3: 11-22; doi: 10.1038/nrc969
93. Schubbert S, Shannon K, Bollag G. Hyperactive Ras in developmental disorders and cancer. Nat Rev Cancer 2007; 7: 295-308; doi: 10.1038/nrc2109
94. Bos JL. Ras oncogenes in human cancer: A review. Cancer Res 1989; 49: 4682-9
95. Malumbres M, Barbacid M. RAS oncogenes: The first 30 years. Nat Rev Cancer 2003; 3: 459-65; doi: 10.1038/nrc1097
96. Andreyev HJ, Norman AR, Cunningham D, et al. Kirsten ras mutations in patients with colorectal cancer: The ‘RASCAL II’ study. Br J Cancer 2001; 85: 692-6; doi: 10.1054/bjoc.2001.1964
97. Benvenuti S, Sartore-Bianchi A, Di Nicolantonio F, et al. Oncogenic activation of the RAS/RAF signaling pathway impairs the response of metastatic colorectal cancers to anti-epidermal growth factor receptor antibody therapies. Cancer Res 2007; 67: 2643-8; doi: 10.1158/0008-5472.CAN-06-4158
98. Di Fiore F, Blanchard F, Charbonnier F, et al. Clinical relevance of KRAS mutation detection in metastatic colorectal cancer treated by cetuximab plus chemotherapy. Br J Cancer 2007; 96: 1166-9; doi: 10.1038/sj.bjc.6603685
99. World Health Organization. World health report 2003 statistical annex. Disponibile su http://www.who.int/whr/2003/annex/en/index.html
100. Fauci AS, Braunwald E, Kasper DL, et al. Harrison. Principi di Medicina Interna (16ª edizione). New York – Milano: McGraw-Hill, 2006
101. Sabiston DC (editor). Trattato di chirurgia. Le basi biologiche della moderna pratica chirurgica. (Edizione italiana sulla XVI americana). Roma: Angelo Delfino Editore, 2003
102. Abeloff MD, Armitage JO, Niederhuber JE, et al. Clinical Oncology 3th edition. Philadelphia: Churchill Livingstone, 2004
103. Therasse P, Arbuck SG, Eisenhauer EA, et al. New guidelines to evaluate the response to treatment in solid tumors. European Organization for Research and Treatment of Cancer, National Cancer Institute of the United States, National Cancer Institute of Canada. J Natl Cancer Inst 2000; 92: 205-16; doi: 10.1093/jnci/92.3.205
104. Adam R, Delvart V, Pascal G, et al. Rescue surgery for unresectable colorectal liver metastases downstaged by chemotherapy: a model to predict long-term survival. Ann Surg 2004; 240: 644-57
105. Akin S, Can G, Aydiner A, et al. Quality of life, symptom experience and distress of lung cancer patients undergoing chemotherapy. Eur J Oncol Nurs 2010; 14: 400-9; doi: 10.1016/j.ejon.2010.01.003
106. Rogers SN. Quality of life perspectives in patients with oral cancer. Oral Oncol 2010; 46: 445-7; doi: 10.1016/j.oraloncology.2010.02.021
107. Bulpitt CJ. Quality of life as an outcome measure. Postgrad Med J 1997; 73: 613-6; doi: 10.1136/pgmj.73.864.613
108. Walker SR, Rosser RM. Quality of life: assessment and application. Lancaster: MTP Press, 1988
109. Dolan P. Valuing Health-Related Quality of Life, Issues and Controversies. Pharmacoeconomics 1998; 15: 119-27; doi: 10.2165/00019053-199915020-00001
110. Anderson RT, Aaronson NK, Bullinger M, et al. A Review of the Progress Towards Developing Health-Related Quality-of-Life Instruments for International Clinical Studies and Outcome Research. Pharmacoeconomics 1996; 10: 336-55; doi: 10.2165/00019053-199610040-00004
111. Sanson-Fisher R, Bailey LJ, Aranda S, et al. Quality of life research: is there a difference in output between the major cancer types? Eur J Cancer Care (Engl) 2010; 19: 714-20; doi: 10.1111/j.1365-2354.2009.01158.x
112. Gall CA, Weller D, Esterman A, et al. Patient satisfaction and health-related quality of life after treatment for colon cancer. Dis Colon Rectum 2007; 50: 801-9; doi: 10.1007/s10350-006-0815-8
113. Kopp I, Bauhofer A, Koller M. Understanding quality of life in patients with colorectal cancer: comparison of data from a randomised controlled trial, a population based cohort study and the norm reference population. Inflamm Res 2004; 53 Suppl 2: S130-5; doi: 10.1007/s00011-004-0361-6
114. Arndt V, Merx H, Stegmaier C, et al. Restrictions in quality of life in colorectal cancer patients over three years after diagnosis: a population based study. Eur J Cancer 2006; 42: 1848-57; doi: 10.1016/j.ejca.2006.01.059
115. Ramsey SD, Andersen MR, Etzioni R, et al. Quality of life in survivors of colorectal carcinoma. Cancer 2000; 88: 1294-303; doi: 10.1002/(SICI)1097-0142(20000315)88:6<1294::AID-CNCR4>3.0.CO;2-M
116. Jansen L, Koch L, Brenner H, et al. Quality of life among long-term (≥5 years) colorectal cancer survivors--systematic review. Eur J Cancer 2010; 46: 2879-88; doi: 10.1016/j.ejca.2010.06.010
117. Bennett L, Zhao Z, Barber B, et al. Health-related quality of life in patients with metastatic colorectal cancer treated with panitumumab in first- or second-line treatment. Br J Cancer 2011; 105: 1495-502. doi: 10.1038/bjc.2011.409
118. Odom D, Barber B, Bennett L, et al. Health-related quality of life and colorectal cancer-specific symptoms in patients with chemotherapy-refractory metastatic disease treated with panitumumab. Int J Colorectal Dis 2011; 26: 173-81; doi: 10.1007/s00384-010-1112-5
119. Kabbinavar FF, Wallace JF, Holmgren E, et al. Health-related quality of life impact of bevacizumab when combined with irinotecan, 5-fluorouracil, and leucovorin or 5-fluorouracil and leucovorin for metastatic colorectal cancer. Oncologist 2008; 13: 1021-9; doi: 10.1634/theoncologist.2008-0003
120. Conroy T, Hebbar M, Bennouna J, et al. Quality-of-life findings from a randomised phase-III study of XELOX vs FOLFOX-6 in metastatic colorectal cancer. Br J Cancer 2010; 102: 59-67; doi: 10.1038/sj.bjc.6605442
121. Andreis F, Rizzi A, Mosconi P, et al. Quality of life in colon cancer patients with skin side effects: preliminary results from a monocentric cross sectional study. Health Qual Life Outcomes 2010; 8: 40; doi: 10.1186/1477-7525-8-40
122. Gray NM, Hall SJ, Browne S, et al. Modifiable and fixed factors predicting quality of life in people with colorectal cancer. Br J Cancer 2011; 104: 1697-703; doi: 10.1038/bjc.2011.155
123. Braun DP, Gupta D, Grutsch JF, et al. Can changes in health related quality of life scores predict survival in stages III and IV colorectal cancer? Health Qual Life Outcomes 2011; 9: 62; doi: 10.1186/1477-7525-9-62
124. Montazeri A. Quality of life data as prognostic indicators of survival in cancer patients: an overview of the literature from 1982 to 2008. Health Qual Life Outcomes 2009; 7: 102; doi: 10.1186/1477-7525-7-102
125. Earlam S, Glover C, Fordy C, et al. Relation between tumor size, quality of life, and survival in patientswith colorectal liver metastases. J Clin Oncol 1996; 14: 171-5
126. Maisey NR, Norman A, Watson M, et al. Baseline quality of life predicts survival in patients with advanced colorectal cancer. Eur J Cancer 2002, 38: 1351-7; doi: 10.1016/S0959-8049(02)00098-9
127. Efficace F, Innominato PF, Bjarnason G, et al.; Chronotherapy Group of the European Organisation for Research and Treatment of Cancer. Validation of patient’s selfreported social functioning as an independent prognostic factor for survival in metastatic colorectal cancer patients: results of an international study by the Chronotherapy Group of the European Organization for Research and Treatment of Cancer. J Clin Oncol 2008, 26: 2020-6; doi: 10.1200/JCO.2007.12.3117
128. Jansman FG, Postma MJ, Brouwers JR. Cost considerations in the treatment of colorectal cancer. Pharmacoeconomics 2007; 25: 537-62; doi: 10.2165/00019053-200725070-00002
129. Breakaway: The global burden of cancer – challenges and opportunities. A report from the Economist Intelligence Unit. 2009. Disponibile su http://www.livestrong.org/pdfs/GlobalEconomicImpact
130. Mariotto AB, Yabroff KR, Shao Y, et al. Projections of the cost of cancer care in the United States: 2010-2020. J Natl Cancer Inst 2011; 103: 117-28; doi:
131. 495
132. Bradley CJ, Yabroff KR, Dahman B, et al. Productivity costs of cancer mortality in the United States: 2000-2020. J Natl Cancer Inst 2008; 100: 1763-70; doi: 10.1093/jnci/djn384
133. Song X, Zhao Z, Barber B, et al. Cost of illness in patients with metastatic colorectal cancer. J Med Econ 2011; 14: 1-9; doi: 10.3111/13696998.2010.536870
134. Yabroff KR, Kim Y. Time costs associated with informal caregiving for cancer survivors. Cancer 2009; 115(18 Suppl): 4362-73; doi: 10.1002/cncr.24588
135. Van Houtven CH, Ramsey SD, Hornbrook MC, et al. Economic burden for informal caregivers of lung and colorectal cancer patients. Oncologist 2010; 15: 883-93; doi: 10.1634/theoncologist.2010-0005
136. Clerc L, Jooste V, Lejeune C, et al. Cost of care of colorectal cancers according to health care patterns and stage at diagnosis in France. Eur J Health Econ 2008; 9: 361-7; doi: 10.1007/s10198-007-0083-0
137. Tilson L, Sharp L, Usher C, et al. Cost of care for colorectal cancer in Ireland: a health care payer perspective. Eur J Health Econ 2011; 13: 511-24
138. Overbeek JA, Zhao Z, van Herk-Sukel MP, et al. Costs of hospital events in patients with metastatic colorectal cancer. J Med Econ 2011; 14: 656-61; doi: 10.3111/13696998.2011.610394
139. De Portu S, Mantovani LG, Ravaioli A, et al. Cost analysis of capecitabine vs 5-fluorouracil-based treatment for metastatic colorectal cancer patients. J Chemother 2010; 22: 125-8
140. Lopatriello S, Amoroso D, Donati S,.The CAP-CR study: direct medical costs in Italian metastatic colorectal cancer patients on first-line infusional 5-fluorouracil or oral capecitabine. Eur J Cancer 2008; 44: 2615-22; doi: 10.1016/j.ejca.2008.08.010
141. Van Cutsem E, Köhne CH, Hitre E, et al. Cetuximab and chemotherapy as initial treatment for metastatic colorectal cancer. N Engl J Med 2009; 360: 1408-17; doi: 10.1056/NEJMoa0805019
142. Van Cutsem E, Köhne CH, Láng I, et al. Cetuximab plus irinotecan, fluorouracil, and leucovorin as first-line treatment for metastatic colorectal cancer: updated analysis of overall survival according to tumor KRAS and BRAF mutation status. J Clin Oncol 2011; 29: 2011-9; doi: 10.1200/JCO.2010.33.5091
143. Bokemeyer C, Bondarenko I, Makhson A, et al. Fluorouracil, leucovorin, and oxaliplatin with and without cetuximab in the first-line treatment of metastatic colorectal cancer. J Clin Oncol 2009; 27: 663-71; doi: 10.1200/JCO.2008.20.8397
144. Bokemeyer C, Köhne C, Rougier P, et al. Cetuximab with chemotherapy as first-line treatment for metastatic colorectal cancer (mCRC): Analysis of the CRYSTAL and OPUS studies according to KRAS and BRAF status. J Clin Oncol 2010; 28(7S): Abstract 3506
145. Maughan TS, Adams RA, Smith CG, et al.; MRC COIN Trial Investigators. Addition of cetuximab to oxaliplatin-based first-line combination chemotherapy for treatment of advanced colorectal cancer: results of the randomised phase 3 MRC COIN trial. Lancet 2011; 377: 2103-14; doi: 10.1016/S0140-6736(11)60613-2
146. Raoul JL, Van Laethem JL, Peeters M, et al. Cetuximab in combination with irinotecan/5-fluorouracil/folinic acid (FOLFIRI) in the initial treatment of metastatic colorectal cancer: a multicentre two-part phase I/II study. BMC Cancer 2009; 9: 112; doi: 10.1186/1471-2407-9-112
147. Ocvirk J, Brodowicz T, Wrba F, et al. Cetuximab plus FOLFOX-6 or FOLFIRI in metastatic colorectal cancer: CECOG trial. World J Gastroenterol 2010; 16: 3133-43; doi: 10.3748/wjg.v16.i25.3133
148. Tabernero J, Van Cutsem E, Díaz-Rubio E, et al. Phase II trial of cetuximab in combination with fluorouracil, leucovorin, and oxaliplatin in the first-line treatment of metastatic colorectal cancer. J Clin Oncol 2007; 25: 5225-32; doi: 10.1200/JCO.2007.13.2183
149. Colucci G, Giuliani F, Garufi C, et al. Cetuximab plus FOLFOX-4 in untreated patients with advanced colorectal cancer: a Gruppo Oncologico dell’Italia Meridionale Multicenter phase II study. Oncology 2010; 79: 415-22; doi: 10.1159/000323279
150. Moosmann N, von Weikersthal LF, Vehling-Kaiser U, et al. Cetuximab plus capecitabine and irinotecan compared with cetuximab plus capecitabine and oxaliplatin as first-line treatment for patients with metastatic colorectal cancer: AIO KRK-0104 – a randomized trial of the German AIO CRC study group. J Clin Oncol 2011; 29: 1050-8; doi: 10.1200/JCO.2010.31.1936
151. Borner M, Koeberle D, Von Moos R, et al.; Swiss Group for Clinical Cancer Research (SAKK), Bern, Switzerland. Adding cetuximab to capecitabine plus oxaliplatin (XELOX) in first-line treatment of metastatic colorectal cancer: a randomized phase II trial of the Swiss Group for Clinical Cancer Research SAKK. Ann Oncol 2008; 19: 1288-92; doi: 10.1093/annonc/mdn058
152. Boccia RV, Cosgriff TM, Headley DL, et al. A phase II trial of FOLFOX-6 and cetuximab in the first-line treatment of patients with metastatic colorectal cancer. Clin Colorectal Cancer 2010; 9: 102-7; doi: 10.3816/CCC.2010.n.014
153. Köhne CH, Bokemeyer C, Heeger S, et al. Efficacy of chemotherapy + cetuximab according to metastatic site in KRAS wild-type metastatic colorectal cancer: Analysis of CRYSTAL and OPUS studies. WCGIC, 2011. Abstract No. O-0002
154. Folprecht G, Gruenberger T, Bechstein W, et al. Survival with cetuximab/FOLFOX or cetuximab/FOLFIRI of patients with nonresectable colorectal liver metastases in the CELIM study. J Clin Oncol 2012; 30(suppl 4); abstr 540
155. Lang I, Köhne CH, Folprecht G, et al. Impact on quality of life of cetuximab plus FOLFIRI in the 1st-line treatment of patients with metastatic colorectal cancer (mCRC): Results from the CRYSTAL trial. Eur J Cancer Supplements 2009; 7: Abstract P-6078
156. Griebsch I, Lang I, Sartorius U, et al. The effect of tumor response on quality of life in patients with KRAS wild-type, metastatic colorectal cancer: Analysis from the CRYSTAL study. ASCO Gastrointestinal Cancers Symposium, 2011. Abstract 476
157. Au HJ, Karapetis CS, O’Callaghan CJ, et al. Health-related quality of life in patients with advanced colorectal cancer treated with cetuximab: overall and KRAS-specific results of the NCIC CTG and AGITG CO.17 Trial. J Clin Oncol 2009; 27: 1822-8; doi: 10.1200/JCO.2008.19.6048
158. Sobrero AF, Maurel J, Fehrenbacher L, et al. EPIC: phase III trial of cetuximab plus irinotecan after fluoropyrimidine and oxaliplatin failure in patients with metastatic colorectal cancer. J Clin Oncol 2008; 26: 2311-9; doi: 10.1200/JCO.2007.13.1193
159. Hurwitz H, Fehrenbacher L, Novotny W, et al. Bevacizumab plus irinotecan, fluorouracil, and leucovorin for metastatic colorectal cancer. N Engl J Med 2004; 350: 2335-42; doi: 10.1056/NEJMoa032691
160. Kabbinavar F, Hurwitz HI, Fehrenbacher L, et al. Phase II, randomized trial comparing bevacizumab plus fluorouracil (FU)/leucovorin (LV) with FU/LV alone in patients with metastatic colorectal cancer. J Clin Oncol 2003; 21: 60-5; doi: 10.1200/JCO.2003.10.066
161. Kabbinavar FF, Schulz J, McCleod M, et al. Addition of bevacizumab to bolus fluorouracil and leucovorin in first-line metastatic colorectal cancer: results of a randomized phase II trial. J Clin Oncol 2005; 23: 3697-705; doi: 10.1200/JCO.2005.05.112
162. Saltz LB, Clarke S, Díaz-Rubio E, et al. Bevacizumab in combination with oxaliplatin-based chemotherapy as first-line therapy in metastatic colorectal cancer: a randomized phase III study. J Clin Oncol 2008; 26: 2013-9; doi: 10.1200/JCO.2007.14.9930
163. Douillard JY, Siena S, Cassidy J, et al. Randomized, phase III trial of panitumumab with infusional fluorouracil, leucovorin, and oxaliplatin (FOLFOX4) versus FOLFOX4 alone as first-line treatment in patients with previously untreated metastatic colorectal cancer: the PRIME study. J Clin Oncol 2010; 28: 4697-705; doi: 10.1200/JCO.2009.27.4860
164. National Institute for Health and Clinical Excellence. Cetuximab for the first-line treatment of metastatic colorectal cancer. NICE technology appraisal guidance 176, 2009. Disponibile su: http://www.nice.org.uk/nicemedia/pdf/TA176Guidance.pdf
165. National Institute for Health and Clinical Excellence. Bevacizumab in combination with oxaliplatin and either fluorouracil plus folinic acid or capecitabine for the treatment of metastatic colorectal cancer. NICE technology appraisal guidance 212. Disponibile su http://www.nice.org.uk/nicemedia/live/13291/52091/52091.pdf
166. Scottish Medicine Consortium. Advice: cetuximab (Erbitux®), 2010. Disponibile su: http://www.scottishmedicines.org.uk/SMC_Advice/Advice/543_09_cetuximab__Erbitux_/cetuximab__Erbitux_1
167. Scottish Medicine Consortium. Advice: bevacizumab (Avastin®), 2008. Disponibile su: http://www.scottishmedicines.org.uk/SMC_Advice/Advice/469_08_bevacizumab__Avastin_/bevacizumab__Avastin_
168. Mittmann N, Au HJ, Tu D, et al.; Working Group on Economic Analysis of National Cancer Institute of Canada Clinical Trials Group; Australasian Gastrointestinal Interest Group. Prospective cost-effectiveness analysis of cetuximab in metastatic colorectal cancer: evaluation of National Cancer Institute of Canada Clinical Trials Group CO.17 trial. J Natl Cancer Inst 2009; 101: 1182-92; doi: 10.1093/jnci/djp232
169. Asseburg C, Frank M, Köhne CH, et al. Cost-effectiveness of targeted therapy with cetuximab in patients with K-ras wild-type colorectal cancer presenting with initially unresectable metastases limited to the liver in a German setting. Clin Ther 2011; 33: 482-97; doi: 10.1016/j.clinthera.2011.04.010
170. Agenzia Italiana del Farmaco: Elenco Farmaci Autorizzati
171. Conferenza delle Regioni e delle Province Autonome 11/57/CR08/C7. Compensazione interregionale della mobilità sanitaria. Testo unico. Maggio 2011
172. Di Cosimo S, Pistillucci G, Ferretti G, et al. Palliative home care and cost savings: encouraging results from Italy. N Z Med J 2003; 116: U370
173. Agenzia Nazionale per i Servizi Sanitari Regionali. Horizon Scanning N.4. Test diagnostico per l’identificazione delle mutazioni del gene EGFR nei pazienti affetti da carcinoma polmonare NSCLC da trattare con inibitori della tirosin-chinasi. Aprile 2010
174. Agenzia Nazionale per i Servizi Sanitari Regionali. Tariffario delle Prestazioni Specialistiche Ambulatoriali, 2009. Disponibile su http://www.agenas.it/monitoraggio_costi_tariffe/2009_SistemiTariffariRicoveri.pdf
Appendice A: Glossario dei termini farmacoeconomici
Alternativa dominante
In un’analisi farmacoeconomica che confronta due o più alternative terapeutiche, è il trattamento che genera i costi minori offrendo, al tempo stesso, il maggior vantaggio in termini di efficacia e sicurezza.
Analisi costo-beneficio (CBA)
Valutazione che confronta i costi e gli esiti clinici di almeno due alternative (di cui una può essere anche il non trattamento); in questo tipo di analisi gli esiti (benefici) che derivano dalle alternative considerate sono espressi in unità monetarie.
Analisi costo-efficacia (CEA)
Valutazione che confronta i costi e gli esiti clinici di almeno due alternative terapeutiche (di cui una può essere anche il non trattamento): in questo tipo di analisi gli esiti (benefici) che derivano dalle alternative considerate sono espressi in unità cliniche (es. anni di vita guadagnati, numero di vite salvate, riduzione dell’incidenza di una malattia); è il metodo più utilizzato per stabilire la sostenibilità economica di un intervento in sanità.
Analisi costo-utilità (CUA)
Valutazione che confronta i costi e le conseguenze di almeno due alternative (di cui una può essere anche il non trattamento) in termini di qualità della vita. L’indicatore utilizzato nella CUA è il QALY. Gli effetti di un trattamento sanitario sono espressi in anni di vita guadagnati aggiustati per la qualità (QALY).
Analisi decisionale
Valutazione che permette di identificare la migliore strategia terapeutica in condizioni d’incertezza. Tale applicazione comporta cinque operazioni principali:
Analisi di minimizzazione dei costi
Valutazione che analizza e confronta i costi di almeno due alternative terapeutiche (di cui una può essere anche il non trattamento) dei quali è stata accertata o ipotizzata l’equivalenza terapeutica. Confronta farmaci con la stessa efficacia clinica, con reazioni avverse simili, per situazioni cliniche comparabili.
Analisi di sensibilità
Procedura che permette di verificare la stabilità (robustezza) dei risultati della valutazione economica. I parametri d’incertezza (costi ed esiti) sono fatti variare nell’ambito di una gamma di valori plausibili; permette di introdurre una valutazione dell’incertezza del rapporto costo/efficacia. Può essere deterministica, se la percentuale di variazione è fissa, o probabilistica, se la percentuale di variazione assume un valore casuale (non prefissato) all’interno di un intervallo di variabilità.
Analisi farmacoeconomica
Disciplina che valuta un trattamento farmaco-terapeutico attraverso l’efficacia clinica, la tollerabilità, la qualità di vita raggiungibile, i costi d’impiego e le ripercussioni sulla spesa sanitaria.
Clinical trial
Sperimentazione su soggetti umani per verificare l’efficacia clinica, la sicurezza e gli effetti farmacodinamici e farmacocinetici di un farmaco.
Costi diretti
Costi necessari per la gestione malattia. I costi diretti più comuni sono i costi per i farmaci, per le visite specialistiche, per i ricoveri ospedalieri, per le indagini diagnostiche, per l’assistenza domiciliare, etc.
Costi indiretti
Costi causati dalla perdita di produttività di un paziente o di un caregiver. L’esempio più classico è il mancato o ridotto guadagno del paziente o del caregiver che si assenta dal lavoro (e nei casi più gravi, lo abbandona) a causa dell’aggravarsi delle condizioni di salute.
Costo di malattia (Cost Of Illness – COI)
Analisi dei costi complessivi (diretti e indiretti) di una particolare patologia in una determinata popolazione.
Disponibilità a pagare
Quantum che un individuo è disposto a pagare per garantirsi un valido trattamento nel caso di comparsa di una specifica malattia.
Effectiveness
Efficacia di un medicamento nella reale pratica clinica, ossia in condizioni che possono significativamente differire dal setting di una sperimentazione clinica.
Modello economico
Strumento d’analisi economica impiegato per stimare l’impatto, in termini clinici ed economici, dell’impiego di una o più terapie. Un modello calcola i risultati utilizzando dei dati di input, derivanti dalla letteratura o da opinioni di esperti. I modelli più impiegati nell’analisi economica sono gli alberi decisionali e gli schemi di Markov.
Orizzonte temporale
Arco di tempo preso in considerazione in un’analisi economica.
Outcome (esiti)
Risultati o effetti clinici di una terapia; esempi di outcome sono: anni di vita guadagnati, riduzione di ricadute, giorni liberi da attacchi, diminuzione di complicanze, vite salvate.
Prospettiva
In un’analisi economica, rappresenta il punto di vista di chi paga le spese sanitarie. In Italia la prospettiva più comunemente impiegata è quella del Servizio Sanitario Nazionale (SSN), che in genere sostiene le spese sanitarie.
Qualità di vita
Stato di benessere di un paziente. La sua misura è multi-dimensionale ed è composta di diversi fattori: fisici, psicologici, funzionali e sociali.
Quality Adjusted Life Years (QALY)
Anno di vita guadagnato moltiplicato per un coefficiente compreso tra 1 e 0 (1=piena salute, 0=morte), che sintetizza lo stato di salute di un soggetto. I QALY sono utilizzati nell’analisi costo-utilità.
Rapporto incrementale costo-efficacia (ICER)
Rapporto tra la differenza dei costi e la differenza degli esiti clinici generati da due alternative (di cui una può essere anche il non trattamento). Si misura in termini di investimento economico necessario per ottenere un’unità incrementale di beneficio clinico. Ad esempio, un’alternativa A, con un ICER di € 10.000 per anno di vita salvato rispetto a B, permette di far guadagnare un anno di vita a un paziente, a fronte di un investimento aggiuntivo di € 10.000.
Riduzione del rischio relativo (RRR)
Misura che indica di quanto, percentualmente, un trattamento A riduce la frequenza o il tasso di un evento rispetto a B. Se ad esempio nel gruppo di trattamento B si verificano 10 eventi su 100 pz, il trattamento A riduce del 50% il rischio rispetto a B se si verificano solo 5 eventi su 100 pz, ossia la metà.
Rischio relativo (RR)
Sinonimo di tasso d’incidenza. Rappresenta il numero di eventi occorsi su 100 pazienti in un dato arco temporale.
Tasso annualizzato
Frequenza di accadimento di un evento, espressa in termini di numero di eventi per 100 pazienti, e standardizzata a un anno. Se ad esempio il tasso di un determinato evento è pari al 10% in sei mesi, allora il tasso annualizzato sarà pari al 20%.
Utilità
In un’analisi CUA, è un numero compreso tra 1 e 0, che esprime sinteticamente lo stato di salute di un soggetto (1=piena salute, 0=morte), e che serve per calcolare i QALY.