Farmeconomia. Health economics and therapeutic pathways 2017; 18(1): 61-71
https://doi.org/10.7175/fe.v18i1.1330
Original research
Evaluation of the cost saving potential of introducing Benepali® and Flixabi® on the European and Italian markets
Cristina Negrini 1, Emi Psachoulia 2
1 Biogen Italia S.r.l., Milan, Italy
2 Biogen International GmbH, Zug, Switzerland
Abstract
INTRODUCTION: Biosimilar products play an important role in improving the access to biological medicines for an increased number of patients and enhancing the financial sustainability of the health systems.
AIM: To assess the cost saving potential associated with the introduction of two biosimilars (Benepali® and Flixabi®) vs. their respective reference biological products on the European and Italian markets.
METHODS: A budget impact model was developed to estimate the cost saving of the hypothetical introduction of Benepali® and Flixabi® vs. Enbrel® and Remicade®, respectively, in three European countries. The analysis was conducted from the payer perspective, over a 3-year period. In addition, the same model was used to assess the impact of Benepali® vs. Enbrel® in three Italian regions over a 2-year period. The model compares the costs associated with the current treatment patterns, used to manage patients with all the conditions which Benepali® and Flixabi® are authorized for, with that of a hypothetical treatment pattern in which biosimilar products have been introduced. Only direct costs associated with the drug acquisition were considered. The model was constructed using published country- or region-specific data, where available. Annual drug acquisition costs were calculated using the dosing information from SPCs and country-/region-specific price lists.
RESULTS: The introduction of Benepali® and Flixabi® in the biologic therapeutic setting of three European countries resulted in substantial cost savings across the entire scenario, with different penetration over a 3-year period. Similarly, over a 2-year horizon, the introduction of Benepali® in the biologic therapeutic setting of three Italian regions resulted in significant cost savings. In all cases, the greater savings were observed in the scenario where the biosimilars’ penetration was higher.
CONCLUSIONS: The introduction of Benepali® and Flixabi® has a substantial cost saving potential for the Italian and European health systems, and the budget impact is sensitive to the uptake rates of the biosimilars market.
Keywords
Biosimilars; Etanercept; Infliximab; Cost saving
Disclosure
This study and the article were funded by Biogen. CN and EP are employees of and hold stock/stock options in Biogen.
Introduction
The European Medicines Agency (EMA) defines a biosimilar as «a biological medicine that is similar to another biological medicine that has already been authorized for use» [1]. Followed by recent expiry of a number of patents of biologic drugs, the presence of biosimilars in the European market has considerably grown, increasing the therapeutic alternatives for many severe diseases [2]. Indeed, since the authorization of the first biosimilar drug (somatropin) in April 2006, EMA authorized 29 biosimilar products of 11 different molecules (adalimumab, enoxaparin, epoetin-alfa, etanercept, filgrastim, follitropin-alfa, infliximab, insulin glargine, rituximab, somatropin, and teriparatide) with indications ranging from supportive therapies to treatment of chronic diseases [1].
By 2020, biological drugs will account for about 28% of the entire pharmaceutical market and biosimilar drugs have the potential to represent an important part of this global market. It is indeed estimated that, by 2020 the patent expirations of biological/biotechnological drugs will give biosimilars the chance to enter the markets for key biologics, currently accounting for over € 40 bln in sales [3].
Biological/biotechnological drugs have advantages over chemically processed medicines including highly specific and complex functions and fewer off-target effects thus they offer new treatment options for treatment and prevention of some serious illness [4]. However, they are associated with high research and development costs, which respectively leads to their high market value. As a result, use of these drugs leads to increased treatment costs and a growing burden on health care systems. In this scenario, biosimilar products could play an important role, not only by improving the access to biological medicines for an increased number of patients, but also enhancing the financial sustainability of the health care systems. The entry of biosimilars into the market could improve the access to biological drugs in two ways: first, biosimilars generate competition with the originators, with a consequent reduction in the prices; second, the savings associated with the use of biosimilars can be reallocated to improve the access to other drugs [5]. It is estimated that the daily treatment cost of the originators, which are going to lose their patents between 2016 and 2020, will decrease by about 30% due to the competition with the new biosimilars. This reduction could lead to a cumulative saving of about € 15 bln for the European health systems over the next five years [3], as also shown in a study that was presented at the ISPOR Annual International Meeting in May 2017 [6]. The latter has shown that the introduction of biosimilars of the three anti-TNFs (infliximab, etanercept, and adalimumab) in Europe resulted in a total saving of $ 11.44 bln between 2015 and 2020.
Biosimilars are authorized by EMA through centralized procedure, therefore the authorization is effective in every European Member State. However, there are significant differences among EU countries in terms of market penetration and pricing and reimbursement policies, as showed by a recent survey conducted in 32 countries (the 28 EU Member States plus Norway, Serbia, Switzerland and Turkey) [7]. According to the answers received the survey shows that a large majority of the countries have specific policies in place for the entry of biologicals and biosimilars in the market, but there is heterogeneity in design and implementation between the different countries [7].
Biosimilar interchangeability is another aspect that is not uniform across Europe. While the US Food and Drugs Administration (FDA) defines the interchangeable status of a biosimilar at the time of its authorization, EMA leaves the decision to the local authorities, specifying that the choice to prescribe the biosimilar instead of the originator should be taken by qualified healthcare professionals [1].
Due to this heterogeneity also biosimilar uptake is very different across Europe and an economic model for biosimilars doesn’t exist [8]. Two reports performed by Bocquet et al. [9,10] analyzed the markets of granulocyte-colony stimulating factor (G-CSF) and erythropoietin (EPO) in 5 European countries (France, Germany, Italy, Spain and UK) in order to identify factors that affecting biosimilars uptake. The analysis on G-CSF [9] shows that the market of biosimilar filgrastim was globally low in the first 5 years. The key drivers for biosimilar penetration seem to be market structure and type of distribution channel, indeed Germany and France, which have the largest markets with a predominant retail distribution, have the lower uptake, while Spain and UK, which have the smaller markets with a predominant hospital distribution, have the highest uptake. The price difference between biosimilar and originator has a marginal role. In the study on biosimilar EPO [10] didn’t find a link between biosimilar uptake, market size, distribution channel, and price discount.
In Italy, the Italian Medicines Agency (AIFA) states that even if biosimilars are therapeutic options with the same risk-benefit ratio as the originators, biologics and biosimilars can’t be considered generic drugs and the decision to switch from one biological medicine to another must be left to the judgment of the treating physician [5]. Given the absence of national guidelines, some Italian regions issued directives and decrees aiming to encourage the use of biosimilars but giving different recommendation for their use. This situation lead to a heterogeneous scenario in terms of utilization and penetration of biosimilar drugs.
The aim of this economic analysis is to assess the potential savings associated with the introduction of two biosimilars (Benepali® and Flixabi®), vs. their respective reference biological products in the European market(s) and in particular in a number of Italian markets, taking into consideration different penetration and pricing scenarios.
Benepali®
Benepali® (SB4) is the first biosimilar to reference etanercept, a protein produced by recombinant DNA technology and designed to block the activity of the tumor necrosis factor (TNF). Following a comprehensive and stepwise assessment of the totality of evidence required by the EMA for biosimilar development and approval, SB4 was approved by the European Commission (January 14th 2016) for the treatment of rheumatoid arthritis, psoriatic arthritis, axial spondyloarthritis (ankylosing spondylitis and non-radiographic spondyloarthritis), and plaque psoriasis. SB4 is the first biosimilar to etanercept available in Europe as well as the first subcutaneous anti-tumor necrosis factor biosimilar [11].
Flixabi®
Flixabi® (SB2) is a biosimilar to reference infliximab, a monoclonal antibody produced by recombinant DNA technology that binds to soluble and transmembrane forms of TNF-alpha and inhibits its functional activity. Following a comprehensive and stepwise assessment of the totality of evidence required by the EMA for biosimilar development and approval, SB2 was approved by the European Commission (May 05th 2016) for the treatment of rheumatoid arthritis, Crohn’s disease, ulcerative colitis, ankylosing spondylitis, psoriatic arthritis, and psoriasis [12]. Flixabi® is the second biosimilar to infliximab receiving marketing authorization in Europe after CT-P13 (marketed as Remsima® by Celltrion Healthcare Hungary Kft and as Inflectra® by Hospira UK Limited) which was approved in 2013 for the full range of indications of the originator product [13,14].
Methods
A budget impact model was developed to estimate the cost saving of the hypothetical introduction of Benepali® and Flixabi® vs. their respective reference biological products (Enbrel® and Remicade®, respectively) in three European countries (Benepali® in France, Italy, and Sweden; Flixabi® in France, Italy, and UK). A separate analysis estimated also the budget impact of Benepali in UK and the results are shown later in the article, while the impact of Flixabi® was not evaluated in Sweden because it is not yet available there. We chose these countries because at the time of the launch of Flixabi® and Benepali® they didn’t have a mechanism in place to support biosimilar adoption, so we aimed to present the potential saving deriving from the introduction and the penetration of biosimilar in these markets. The analysis was conducted from the payer perspective, over a 3-year period. In addition, the impact of Benepali® vs. Enbrel was assessed in three Italian regions (Campania, Sicily and Tuscany) with different penetration of the biosimilar product over a 2-year period. We choose Campania, Sicily, and Tuscany because we wanted to evaluate the budget impact in regions that have similar populations but uptake of previous biosimilars was different [15], i.e. one with high (Tuscany), one with medium (Campania) and one with low uptake (Sicily).
Model structure and input
The model compares the costs associated with the current treatment pattern used to manage patients with all conditions which Benepali® and Flixabi® are authorized for, with the costs associated with a hypothetical scenario in which biosimilar products have been introduced. Based on this comparison, the model provides estimates of the budget impact of an increased use of Benepali® and Flixabi® in the eligible patient population and the hypothetical additional number of patients who could be managed using the revised treatment pattern within the same budgetary restrictions.
Current etanercept-treated population size has been derived from the country-/region-specific sales data; use over time horizon was predicted by estimating the percentage increase in the size of anti-TNF-treated population over a two-year period and by applying such figure to the following years. Patients who enter the model remain on anti-TNF treatment throughout the model time horizon, thus, according to the model assumptions, the patient population does not decrease in size due to patients exiting the model by discontinuing the anti-TNF treatment or by ceasing to exist.
The model considers only the drug acquisition costs. Clinical outcomes are assumed to be identical in all patients, regardless of the anti-TNF treatment received. As such, the costs associated with the management of the latter are not included in the model. Finally, in line with third-party payers’ perspective, indirect costs are not considered in the analysis.
The model was constructed using published country- or region-specific data, where available. Annual drug acquisition costs were calculated using dosing information from the SPCs and country-/region-specific price lists.
Table I shows the pricing and reimbursement policies for biologicals adopted in the four countries considered.
|
Availability of biologicals |
Are biosimilars undergoing HTA? |
Pharmacy substitution |
Tenders |
Are biological medicines included in the quotas? |
Are biological medicines parts of IRP mechanism? |
|
|
France |
Reimbursement + tenders |
Yes |
No |
Biologicals are part of multiple-win tenders organized at hospital level. Tender cover only ATC5 level and affect both naïve and in-treatment patients. Tender may lead to changes of treatment for already treated patients for other than clinical reasons and physician can opt out for individual patients. |
No |
No |
|
Italy |
Tenders |
Yes |
No |
Biologicals are part of single-win tenders organized at regional level. Tender cover only ATC5 level and affect only naïve patients. Physician can opt out for individual patients. |
Biologicals are part of just indicative quotas. |
No |
|
Sweden |
Reimbursement + tenders |
Yes |
No |
Biologicals are part of single-win tenders organized at regional level. Tender cover only ATC5 level and affect both naïve and in-treatment patients. Tender may lead to changes of treatment for already treated patients for other than clinical reasons and physician can opt out for individual patients. |
No |
No |
|
UK |
Reimbursement + tenders |
No |
No |
Biologicals are part of multiple-win tenders organized at multiple levels. Tender cover both a whole therapeutic area and only ATC5 level and affect both naïve and in-treatment patients. Tender may lead to changes of treatment for already treated patients for other than clinical reasons and physician can opt out for individual patients. |
No |
No |
Table I. Pricing and reimbursement policies for biologicals in the four countries considered. Modified from [7]
ATC = Anatomical Therapeutic Chemical; IRP = Internal Reference Pricing
Benepali®
The eligible population included incident and prevalent patients aged 18 years and older with all conditions for which Benepali® has the European authorization in adults, with no distinction between naïve and switching patients.
Assumptions for the budget impact analysis of 3 European countries
|
Benepali® market share (%) |
|||
|
Year 1 |
Year 2 |
Year 3 |
|
|
Scenario 1 – slow uptake |
10 |
20 |
30 |
|
Scenario 2 – moderate uptake |
15 |
30 |
45 |
|
Scenario 3 – rapid uptake |
20 |
40 |
60 |
Table II. Different scenarios of Benepali® market share
The model assessed the budget impact of the introduction of Benepali® in France, Italy, and Sweden over a three year-period. The current etanercept-treated population size has been estimated using data from Groupement pour l’èlaboration et la realization de statistiques for France [16], IMS Health for Italy [15], and Reveal for Sweden [17]. Population size was assumed to increase annually by 1.8% in France [16], 1% in Italy [15], and 5.8% in Sweden [17]. Use of etanercept over the next three years was predicted by estimating the annual historical volume change over the past 2 years for each country [15-17] and applying that to the following 3 years. Table II shows three different hypothetical scenarios of Benepali® penetration in the markets of the three countries These percentages were assumed in order to simulate a slow, moderate, and rapid uptake.
Unitary drug costs were obtained from country specific price lists [18-20] and did not include possible undisclosed or commercial discounts (which are not disclosed in France and Italy) with the exception of the Swedish Benepali net price, which was obtained from the three party discount agreement (from 1 April 2016 to 30 September 2016) [Data on file]. Prices for France and Italy were in Euros; prices for Sweden were converted from Swedish Krona (SEK) to Euros using the exchange rate on 2 June 2016 (€ 1 = 9.29 SEK) [21].
The following assumptions were applied to the model scenarios:
Assumptions for the budget impact analysis of 3 Italian regions
The model assessed the budget impact of the introduction of Benepali® in three Italian regions (Campania, Sicily and Tuscany), with different scenario in terms of utilization and penetration of biosimilar drugs due to different mechanisms to support the biosimilar adoption, over a 2-year period. The current etanercept-treated population size was estimated through IMS Health data [15]. Population size was assumed to increase annually by 1% in all three regions.
|
Benepali® market share (%) |
||
|
Year 1 |
Year 2 |
|
|
Campania |
7 |
18 |
|
Sicily |
14 |
27 |
|
Tuscany |
52 |
74 |
Table III. Regional scenario of Benepali® market share
The model scenarios with the adoption rates of Benepali® vs. Enbrel® in each region were developed assuming that the Benepali® market share at year 1 was the same as that achieved by the previous biosimilars already in the market from 2015 (Inflectra®/Remsima®) (7% in Campania, 14% in Sicily, and 52% in Tuscany [22]). A logarithmic function was then used to model the uptake in the entire year 2, based on the available 3-month sales data of year 3 of infliximab biosimilars in each region [22]. Table III shows the scenarios of Benepali® penetration in the three Italian regions.
Unitary drugs costs were obtained from Codifa and did not include possible undisclosed or commercial discounts [18]; Benepali® discounts were assumed to be the same across regions and equal to 31.7% vs. Enbrel (actual differences between the visible prices) [18]. Both etanercept drugs were subject to a price erosion of 10% per year in all three regions.
For the estimation of the additional patient-years of etanercept treatment, the annual treatment cost of Benepali was used. This estimation was based on etanercept moving annual total sales data, assuming that each individual consumed one defined daily dose (7 mg) per day. It was assumed that all patients were fully persistent and compliant.
Flixabi®
The eligible population included incident and prevalent patients aged 18 years and older with all conditions for which Flixabi® has the European authorization in adults, with no distinction between naïve and switching patients.
The model assessed the budget impact of the introduction of Flixabi® in France, Italy, and United Kingdom (UK) vs. the infliximab reference product (Remicade®) over a 3 year-period. The current Remicade®-treated population size was estimated using data from Groupement pour l’èlaboration et la realization de statistiques for France [16], IMS Health for Italy and UK [15,22]. Based on what it was observed in the market [15,16,22], population size was assumed to remain constant during the 3 years, and patients already on the first two approved biosimilars (Remsima® and Inflectra®) were assumed to remain on these biosimilars.
Two model scenarios with different Flixabi® penetration (percentages were assumed in order to simulate a slow, moderate, and rapid uptake) in the three countries were developed (Table IV). Unitary drug costs were obtained from country-specific price lists [18,23,24] and did not include possible undisclosed or commercial discounts (which are not disclosed). Prices for France and Italy were in Euros; prices for UK were converted from British Pound (GBP) to Euros using the exchange rate on 2 June 2016 (€ 1 = 1.29 GBP) [21]. Two price scenario with two discount prices for Flixabi® vs. the Remicade® price (minimum and maximum discount given by the other two infliximab biosimilars in each country) were developed (Table IV). Since prices already decreased due to the first biosimilars entry, we assumed a smaller discount due to the Flixabi® entry, therefore in this analysis both originator and biosimilar were subject to a price erosion of 5% per year in all three countries.
|
Uptake |
Discount |
Flixabi® market share (%) |
Flixabi® discount (%) |
|||||
|
Year 1 |
Year 2 |
Year 3 |
Year 1 |
Year 2 |
Year 3 |
|||
|
Scenario 1 |
Slow |
Minimum |
10 |
20 |
30 |
40 |
28 |
30 |
|
Scenario 2 |
Slow |
Maximum |
10 |
20 |
30 |
50 |
45 |
50 |
|
Scenario 3 |
Rapid |
Minimum |
20 |
40 |
60 |
40 |
28 |
30 |
|
Scenario 4 |
Rapid |
Maximum |
20 |
40 |
60 |
50 |
45 |
50 |
Table IV. Different scenarios of Flixabi® market share and discount
Results
|
Etanercept-treated population – year 1 (n.) |
|
|
European comparison |
|
|
France |
29,371 |
|
Italy |
15,659 |
|
Sweden |
5,919 |
|
Italian comparison |
|
|
Campania |
1,501 |
|
Sicily |
1,180 |
|
Tuscany |
1,293 |
Table V. Estimated numbers of patients treated with etanercept (both originator and biosimilar) in the first year
Benepali®
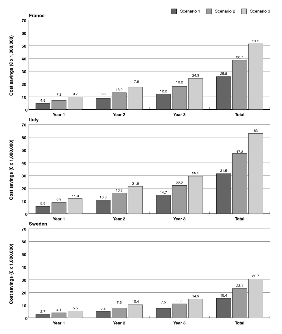
The estimated numbers of patients who would receive the etanercept treatment (both originator and biosimilar) in the first year in France, Italy and Sweden; and in the three Italian regions are presented in Table V. The introduction of Benepali® in the biologic treatment setting of three European countries resulted in substantial cost savings across the entire scenario, with different biosimilar penetration over 3 years (Figure 1). The greater savings were observed in scenario 3, where Benepali® penetration was higher (France = € 51.5 mln; Italy = € 63.0 mln; Sweden = € 30.7 mln).
Similarly, over the 2-year time horizon, the introduction of Benepali® in the biologic treatment setting of three Italian regions resulted in a substantial cost saving (Figure 2). Similarly to the above scenario in the three European countries, the greater savings were in the region with the higher penetration of Benepali® (Tuscany = € 5.9 mln vs. Campania = € 1.3 mln, and Sicily = € 1.7 mln).
Expressing these cost savings in terms of additional patients who could receive treatment with Benepali® under the same budgetary restrictions, the European economic analysis estimated that, over the next 3 years, the additional patients who could be treated with Benepali® were 3,850-7,676 in France, 4,420-8,840 in Italy, and 2,050-4,080 in Sweden. In the analysis of the Italian regions, the potential capacity to treat additional patients under the revised treatment pattern over the next 2 years was 175 in Campania, 227 in Sicily, and 761 in Tuscany.

Figure 1. Cost savings following the introduction of Benepali® in France, Italy and Sweden in years 1, 2 and 3 and cumulative

Figure 2. Cost savings following the introduction of Benepali® in the three Italian regions
Flixabi®
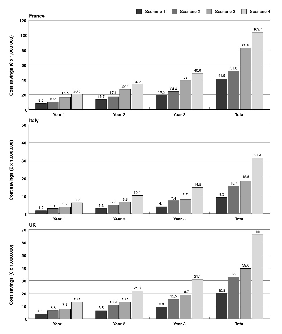
The estimated number of patients who would receive the infliximab treatment (both originator and biosimilar) in the first year was 32,101 in France, 9,290 in Italy, and 18,617 in the UK.
The introduction of Flixabi® in the biologic treatment setting of three European countries resulted in substantial cost savings across the entire scenario, with different biosimilar penetration and different pricing discount, as reported in Figure 3.
Expressing these cost savings in terms of additional patients who could receive treatment with Flixabi® under the same budgetary restrictions over the next 3 years, the introduction of the biosimilar was predicted to allow for savings equivalent to the following additional patient-years of infliximab treatment: 12,841-38,521 in France, 2,013-9,121 in Italy, and 4,788-22,341 in the UK.

Figure 3. Cost savings following the introduction of Flixabi® in France, Italy and UK
Discussion and conclusions
The recent several patent expirations of biological drugs led to the development of biosimilar products. Those biosimilar products represent an important segment of the global pharmaceutical market. Competing with their originators in a wide range of therapeutic areas, biosimilars provide to stakeholders – payers, physicians and patients – a greater therapeutic choice. The entry of biosimilars into the market has led to reduction of prices of the biological originator products, as shown by a study in which the introduction of three biosimilars, i.e. human growth hormone, erythropoietin, and granulocyte colony-stimulating factor, in the Italian market resulted in a price reduction of the originators equal to 9, 12, and 25%, respectively, between 2006 and 2013 [25].
The savings associated with the use of biosimilars are also influenced by their availability after the patent expiry of the reference biological drug. One study, published in the Generic and Biosimilar Initiative Journal, developed a model which simulated different scenarios of the replacement of an originator with its biosimilar in order to evaluate the associated potential savings. The analysis was based on the sales data of three biological classes between 2007 and 2010 in eight European countries: France, Germany, Italy, Spain, UK, Sweden, Poland and Romania [26]. The model assumed the development of market shares, the average reimbursement prices and the time until the entry into the market of the biosimilar. The results highlighted that the potential savings associated with the introduction of biosimilars would be between € 11.8 bln and € 33.4 bln, equal to 5.2-14.6% of the total pharmaceutical expenditure, and that an immediate availability is associated with greater savings [26].
These results are consistent with our findings which showed that the introduction of Benepali® and Flixabi® have a substantial cost-saving potential for European health care systems. In both cases the budget impact was sensitive to biosimilar market uptake rate and the greater savings were observed where the penetration was higher. Similarly, in our Italian analysis, in Tuscany – where a mechanism to support the biosimilar adoption is in place – the saving potential was greater than in the other two regions, where the uptake was slower, confirming that a faster availability maximizes the potential savings. Indeed, it was estimated that if the adoption of Benepali® in Campania and Sicily were more rapid and the product reached the market share modeled for Tuscany, the total savings would be equal to € 6.8 mln in Campania and € 5.3 mln in Sicily, which are respectively, € 5.5 mln and € 3.6 mln greater than savings in the current analysis.
A further confirmation comes from the results of our budget impact model applied in an Italian rheumatologic center, in order to assess the economic impact of the introduction of Benepali® [27]. The analysis, presented to the ISPOR European Congress 2016, showed a greater saving when 66.1% of the patients treated with etanercept receive Benepali® at year 3 (€ 1.9 mln) vs. the slow uptake scenario where 52.2% of former etanercept patients receive Benepali® at year 3 (€ 1.6 mln). Finally, even when applied to the Spanish setting (assuming a 10% discount of Benepali® vs. Enbrel), this budget impact model showed that a more rapid uptake of Benepali® (market share = 20%, 40%, and 60% at year 1, 2, and 3, respectively) resulted in a greater saving (€ 24.5 mln over 3 years) vs. a slower adoption rate (market share = 10%, 20%, and 30% at year 1, 2, and 3, respectively, saving over 3 years: € 12.3 mln) [28].
Similar results were achieved by CT-P13 (the first biosimilar to infliximab) in two economic models built by Jha et al. [29] and Brodszky et al. [30]. The budget impact performed by Jha et al. [29], which considered both switch and naïve patients, showed that, during the first year after launch in Germany, UK, Italy, the Netherlands, and Belgium, CT-P13 was associated with a potential savings equal to € 25.789, € 51.578, and € 77.367 in the three discount scenarios considered (10, 20 and 30%, respectively) and for all the indications approved. Furthermore, 1,960, 4,410, 7,561 additional patients could be treated with CT-P13 across the five countries. Brodszky et al. [30] assessed the estimated budget impact of the introduction of CT-P13 in the treatment of rheumatoid arthritis over a 3-year period in six Eastern European countries and assuming a 25% discount over the originator price. The results showed estimated saving equal to € 15.3 mln when only naïve patients were considered, while including also patients that switch from reference drug estimated saving reached € 20.8 mln. These savings could allow to treat 1,205 and 1,790 additional patients with rheumatoid arthritis, respectively.
In conclusion, the introduction of Benepali® and Flixabi® has a substantial cost saving potential for the Italian and European health systems, and the budget impact is sensitive to the uptake rates of the biosimilars market and the discounts compared to the originators. These savings could be used to treat additional patients within the same therapeutic area, to fund the research on novel therapies for other disease areas, and/or potentially to finance other hospital or medical department needs, as highlighted by the results of our budget impact of Benepali® applied to the UK scenario [31]. In this case, Benepali® discounts vs. Enbrel were 8.3% and the moderate (market share = 15%, 30%, and 45% at year 1, 2, and 3, respectively) and rapid uptake of Benepali® (market share = 20%, 40%, and 60% at year 1, 2, and 3, respectively) over 3 years resulted in a saving of £ 14.2 mln and £ 18.9 mln, respectively. These could in turn generate further savings, equivalent to 1,781 to 2,374 more patient-years and are equivalent to the salaries of 468-623 more nurses for NHS England as reported by the Royal College of Nursing (NHS pay scales 2016-17). In the light of this evidence, and from a resource-saving perspective, a collaborative agreement between payers and prescribers for a more flexible approach to the replacement of reference biological products with biosimilars can support a more rapid adoption of biosimilars generating savings while achieving better outcomes for patients. Few analyses have suggested some policies and approaches to establish and maintain a sustainable biosimilar market [32]. Mestre-Ferrandiz et al. have highlighted that, even if it is difficult to generalize across countries in Europe, there are five key elements to take into account to achieve sustainability and savings from the use of biosimilars:1) substitutability rules which allow the substitution at pharmacy level, 2) direct price intervention to push down originator prices, 3) tendering procedures to facilitate competition and price reduction, 4) incentives for stake holders to use lower-cost products, and 5) market support through investment and collection of real-world evidence that help to increase willingness on clinicians. In particular, the authors recommend point 4) and 5) to achieve long-term savings from biosimilars competition [32]. A report undertaken by GfK Market Access on behalf of the European Biosimilars Group (EBG) [33] provided a policy framework of four key elements that are required to achieve a sustainable biosimilar market which deliver benefits to physician, payers, patients, and industry. In particular, the Author suggest to 1) improve education and communication of all stakeholders about scientific concept of biosimilars, 2) accelerate experience and uptake of biosimilars by encouraging and incentivizing appropriate early use and involving physicians in both procurement and utilization decisions; 3) implement policies that maintain and encourage competition; and 4) encourage a rational decision making in which pricing, procurement, positioning and utilization decision-making processes are transparent and not delay time to pricing, reimbursement or market access of biosimilars.
Acknowledgements
This analysis was funded by Biogen. All named authors meet the International Committee of Medical Journal Editors (ICMJE) criteria for authorship for this manuscript, take responsibility for the integrity of the work as a whole, and have given final approval to the version to be published. Medical writing support and journal styling services were provided by SEEd Medical Publishers and funded by Biogen Inc. The authors had full editorial control of the paper, and provided their final approval of all content.
References
1. European Medicine Agency (EMA). Biosimilar medicines. Available at: http://www.ema.europa.eu/ema/index.jsp?curl=pages/medicines/general/general_content_001832.jsp (last accessed July 2017)
2. Cantelli Forti G, Rossi F. Revisione della posizione sui farmaci biosimilari da parte della Società Italiana di Farmacologia: working paper 2016. SIFO, 2016. Available at: http://www.sifweb.org/docs/sif_position_paper_working_paper_biosimilari_set16.pdf (last accessed March 2017)
3. Aitken M. Delivering on the potential of biosimilar medicines. The role of functioning competitive markets. IMS. IMS Institute for Healthcare Informatics, 2016. Available at: http://www.imshealth.com/files/web/IMSH%20Institute/Healthcare%20Briefs/Documents/IMS_Institute_Biosimilar_Brief_March_2016.pdf (last accessed March 2017)
4. Acha V, Mestre-Ferrandiz J. Translating European regulatory approval into healthcare uptake for biosimilars: the second translational gap. Technology Analysis & Strategic Management 2017; 29: 263-75; https://doi.org/10.1080/09537325.2017.1285396
5. Agenzia Italiana del Farmaco (AIFA). Secondo Concept Paper Aifa Sui Farmaci Biosimilari. AIFA, 2016. Available at: http://www.aifa.gov.it/sites/default/files/Secondo_Concept_Paper_AIFA_BIOSIMILARI.pdf (last accessed March 2017)
6. Psachoulia E, Martin-Rinconada C, Levysohn A. Potential impact of the biosimilars introduction of 3 anti-TNFs in the European market. ISPOR 22nd Annual International Meeting. Boston, May 20-24, 2017
7. Reiland JB, Freischem B; Roediger A. What pricing and reimbursement policies to use for off-patent biologicals in Europe? – results from the second EBE biological medicines policy survey. GaBI Journal 2017; 6: 61-78; https://doi.org/10.5639/gabij.2017.0602.014
8. Bocquet F, Loubière A, Fusier I, et al. Competition Between Biosimilars and Patented Biologics: Learning from European and Japanese Experience. Pharmacoeconomics 2016; 34: 1173-86
9. Bocquet F, Paubel P, Fusier I, et al. Biosimilar granulocyte colony-stimulating factor uptakes in the EU-5 markets: a descriptive analysis. Appl Health Econ Health Policy 2014; 12: 315-26; https://doi.org/10.1007/s40258-014-0087-8
10. Bocquet F, Paubel P, Fusier I, et al. Biosimilar versus patented erythropoietins: learning from 5 years of European and Japanese experience. Appl Health Econ Health Policy 2015; 13: 47-59; https://doi.org/10.1007/s40258-014-0125-6
11. European Medicines Agency (EMA). Benepali – European Public Assessment Report (EPAR). Available at: http://www.ema.europa.eu/ema/index.jsp?curl=pages/medicines/human/medicines/004007/human_med_001944.jsp&mid=WC0b01ac058001d124 (last accessed March 2017)
12. European Medicines Agency (EMA). Flixabi – European Public Assessment Report (EPAR). Available at: http://www.ema.europa.eu/ema/index.jsp?curl=pages/medicines/human/medicines/004020/human_med_001980.jsp&mid=WC0b01ac058001d124 (last accessed March 2017)
13. Committee for Medicinal Products for Human Use (CHMP). Summary of opinion – Remsima. EMA/CHMP/363689/2013. Available at: http://www.ema.europa.eu/docs/en_GB/document_library/Summary_of_opinion_-_Initial_authorisation/human/002576/WC500144832.pdf (last accessed March 2017)
14. Committee for Medicinal Products for Human Use (CHMP). Summary of opinion – Inflectra. EMA/CHMP/364710/2013. Available at: http://www.ema.europa.eu/docs/en_GB/document_library/Summary_of_opinion_-_Initial_authorisation/human/002778/WC500144831.pdf (last accessed March 2017)
15. IMS Health. Available at: www.imshealth.com (last accessed September 2016)
16. Groupement pour l’Elaboration et la Réalisation de Statistiques. Available at: www.gie-gers.fr/ (last accessed September 2016)
17. Reveal. Pharmaceutical Statistics. Available at: http://www.reveal.se/en/pharmaceutical-statistics/ (last accessed September 2016)
18. Codifa. L’informatore farmaceutico. Available at: www.codifa.it (last accessed September 2016)
19. Arrêté du 10 mai 2016 modifiant la liste des spécialités pharmaceutiques remboursables aux assurés sociaux. Journal Officiel de la République Française n°0120 du 25 Mai 2016 texte n° 18
20. The Dental and Pharmaceutical Benefits Agency – TLV. Available at: http://www.tlv.se/ (last accessed June 2016)
21. XE – Live exchange rates. Available at: www.xe.com (last accessed June 2016)
22. Biogen elaborations based on IMS HEALTH Data AIB SPLIT for the Immunology Market MAT 3-2016
23. L’Assurance Maladie en ligne. Tarif Responsabilité infliximab. Available at: http://www.codage.ext.cnamts.fr/codif/bdm_it/index.php?p_site=AMELI (last accessed June 2016)
24. MIMS – Database of prescription and generic drugs, clinical guidelines. Available at: http://www.mims.co.uk/drugs/musculoskeletal-disorders/rheumatoid-arthritis-other-autoimmune-disorders (last accessed June 2016)
25. IMS Institute for Healthcare Informatics. Assessing biosimilar uptake and competition in European Market, 2014. Available at: https://www.imshealth.com/files/web/IMSH%20Institute/Healthcare%20Briefs/Assessing_biosimilar_uptake_and_competition_in_European_markets.pdf (last accessed March 2017)
26. Haustein R, de Millas C, Höer A, et al. Saving money in the European healthcare systems with biosimilars. Generics and Biosimilars Initiative Journal (GaBI Journal). 2012; 1: 120-6; https://doi.org/10.5639/gabij.2012.0103-4.036
27. Becciolini A, Psachoulia E, Biggioggero M, et al. The introduction of etanercept biosimilar in the practice of a tertiary rheumatologic Centre in Italy: a budget impact model. ISPOR 19th Annual European Congress. Vienna, 29 October-2 November 2016
28. Psachoulia E, Casahorrán V. Estimation of The Budget Saving Potential Due To The Introduction of Benepali®, An Etanercept Biosimilar, For The Treatment of All Licensed Adult Etanercept Indications In Spain. Value Health 2016; 19: A533-4; https://doi.org/10.1016/j.jval.2016.09.1088
29. Jha A, Upton A, Dunlop WC, et al. The Budget Impact of Biosimilar Infliximab (Remsima®) for the Treatment of Autoimmune Diseases in Five European Countries. Adv Ther 2015; 32: 742-56; https://doi.org/10.1007/s12325-015-0233-1
30. Brodszky V, Baji P, Balogh O, et al. Budget impact analysis of biosimilar infliximab (CT-P13) for the treatment of rheumatoid arthritis in six Central and Eastern European countries. Eur J Health Econ 2014; 15 Suppl 1: S65-71; https://doi.org/10.1007/s10198-014-0595-3
31. Psachoulia E, Keady S. Evaluation of The Cost Saving Potential of Introducing An Etanercept Biosimilar (Benepali®) For The Treatment of All Licensed Adult Etanercept Indications In The UK. . Value Health 2016; 19: A533
32. Mestre-Ferrandiz J, Towse A, Berdud M. Biosimilars: How Can Payers Get Long-Term Savings? Pharmacoeconomics 2016; 34: 609-16; https://doi.org/10.1007/s40273-015-0380-x
33. GfK Market Access on behalf of the European Biosimilars Group (EBG). Factors Supporting a Sustainable European Biosimilar Medicines Market. 2014. Available at: http://www.medicinesforeurope.com/wp-content/uploads/2016/03/GfK_Final_Report-_Factors_Supporting_a_Sustainable_European_Biosimilar_Medicines_Market.pdf (last accessed July 2017)